Skip to main navigation Skip to main content
  • E-Submission

JKSPE : Journal of the Korean Society for Precision Engineering

OPEN ACCESS
ABOUT
BROWSE ARTICLES
EDITORIAL POLICIES
FOR CONTRIBUTORS
REGULAR

Flexible OLEDs용 Bending 수명 측정기 개발

Development of Bending Lifetime Tester for Flexible OLEDs

Journal of the Korean Society for Precision Engineering 2018;35(4):451-456.
Published online: April 1, 2018

1 한밭대학교 창의융합학과

1 Department of Creative Convergence, Hanbat National University

#E-mail: jhyunlee@hanbat.ac.kr, TEL: +82-42-821-1970
• Received: February 24, 2017   • Revised: July 19, 2017   • Accepted: October 17, 2017

Copyright © The Korean Society for Precision Engineering

This is an Open-Access article distributed under the terms of the Creative Commons Attribution Non-Commercial License (http://creativecommons.org/licenses/by-nc/3.0) which permits unrestricted non-commercial use, distribution, and reproduction in any medium, provided the original work is properly cited.

  • 70 Views
  • 0 Download
prev next
  • The applicability of flexible OLED devices has been expanding to rollable or foldable displays and lighting. At this time, a system to measure the durability of flexible OLEDs needs to be developed to successfully launch flexible OLEDs in future electronic devices. In this paper, we develop a bending lifetime tester to measure the performance of flexible OLEDs by measuring the luminance of the device in real-time during the bending test. A fixed distance between the bent OLEDs and detector during the bending test improves the accuracy of the measured brightness in real time. This bending tester can measure the lifetime of flexible OLEDs with a mean deviation of less than 0.23% over a temperature range of -30 to 80oC. This performance is sufficient to measure the accelerated lifetime test of flexible OLEDs for reliability engineering.
Organic Light Emitting Diodes (OLEDs)는 형광성 유기물 반도체를 사용하여 제작한 다이오드로 전류를 인가하면 발광층에서 전자와 정공이 재결합하여 빛을 내는 자체 발광 소자이다.1 OLEDs 디스플레이는 기존의 LCD 디스플레이에 비하여 높은 명암비와 빠른 응답속도로 스마트폰 및 태블릿과 같은 소형 디스플레이와 대면적의 TV 디스플레이 등의 시장에서 점차 시장 점유율을 확장하고 있다. OLEDs를 활용한 조명소자의 경우는 대면적의 면광원을 균일하게 제작할 수 있어 기존의 조명소자나 점광원 형태인 LED와 비교했을 때 보다 높은 휘도로 인한 눈의 피로도를 줄일 수 있고 자연에 가까운 색재현성을 확보할 수 있는 장점들을 가지고 있다.2,3 또한 OLEDs 재료의 구조적, 물성적 특성상 Flexible한 특성을 가지는 소자를 구현할 수 있어 경량화와 대형화가 필수적인 차세대 전자소자로 점차 발전이 가능하다.
최근 차세대 조명과 디스플레이 개발을 위해 Flexible OLEDs에 관한 연구가 활발히 진행되고 있다.4 유리기판 대신 플라스틱 기판을 사용하여 만드는 Flexible OLEDs는 가벼우며 쉽게 깨지지 않기 때문에 이를 통하여 접거나 입을 수 있는 차세대 디스플레이가 구축된다면 전자피부, 전자종이, 전자 의료기기 등의 생활편의성 디스플레이가 증가할 것으로 기대된다.6 마찬가지로 구부러지는 다양한 형태의 조명 또한 소비자들의 이목을 끌 것으로 기대되어 고급 조명 시장에서 시장 확대가 기대된다.
이러한 장점을 가진 Flexible OLEDs가 아직 상용화되지 못한 이유는 플라스틱 기판에서 제작하기 위한 저온공정의 도입, 기판 대형화에 따른 제작과정의 고비용화 문제, 플라스틱 기판의 수분과 산소 침투에 따른 OLEDs소자의 짧은 수명 등이 있다. 따라서 Flexible OLEDs의 상용화를 위해서는 다양한 외부 환경에서 소자의 안정적인 구동을 확인해야만 하고 이를 위한 소자의 신뢰성 평가는 필수적이다.7-9
OLEDs의 수명 특성 분석은 일반적으로 정전류를 소자에 인가하면서 발생하는 휘도의 변화를 실시간으로 측정하며 분석한다. 초기 휘도의 값이 밝을수록 즉 구동되는 정전류 값이 클수록 소자 내부에서 일어나는 수명 저하 현상이 가속화 되므로 일반적인 수명 분석은 고온, 고습의 조건에서 높은 구동 전류로 소자를 구동하여 짧은 시간 내에 소자의 수명을 측정하고 이를 일상 조건으로 환산하여 소자의 수명을 분석하는 방식들을 사용하고 있다. 이러한 소자의 가속 수명측정을 위해서는 항온항습이 유지되는 챔버 내부에서 소자에 정전류를 인가하며 전압을 측정할 수 있는 멀티미터와 소자로부터 발광하는 휘도를 측정할 수 있는 포토다이오드가 필요하고 외부 환경으로부터 독립적으로 측정하기 위하여 외부 빛이 차단된 측정 지그 내부에 소자를 고정하고 휘도를 측정하는 것이 일반적이다.10
Fig. 1

Typical design of bending tester

KSPE_2018_v35n4_451_f001.jpg
Flexible OLED 소자의 안정성을 평가하는 방법은 Bending Tester를 사용하는 것이다. 일반적인 Bending Tester는 Flexible 기판 위에 제작된 소자를 반복적으로 구부려 소자의 특성이 변화하는 시간 혹은 Bending 횟수를 측정하는 장비이다. 국내에 제작되어 사용되고 있는 Bending Tester들은 일반적으로 한 축은 고정되어 있고 다른 한 축이 수평 운동을 하며 소자를 Bending시키는 구조를 가지고 있다.5 Bending 시에 소자를 고정하고 있는 축부분에서의 과도한 구부러짐이나 소자의 파손을 방지하기 위하여 소자를 고정하고 있는 양 축이 구동과 동시에 회전하며 소자를 돌려주어 축 부분에서의 구부러짐 없이 소자의 중심 부분만을 Bending 시키며 작동하는 기술들도 사용되고 있다.
이러한 기존의 Bending Tester는 Bending되는 소자의 중심 부분이 위아래로 움직이고 있어서 Flexible OLEDs의 발광부가 물리적으로 고정되지 못한다. 따라서 Flexible OLEDs의 신뢰성을 측정하기 위해서는 Bending Tester에서 반복적인 구부림을 진행하고 별도의 수명측정기에서 Bending Test 이전과 같은 정전류 조건에서 휘도를 측정하여 이전과의 휘도 변화로 소자의 수명을 분석하였다. 이러한 분석 방식은 Bending Test 중간에 수명 분석이 어렵기 때문에 실시간으로 수명의 변화가 어떻게 일어나는지 분석하기 어렵다는 문제점을 가지고 있다.11 이러한 문제를 해결하기 위해 Lian Duan 등의 저자는 가로, 세로 50 mm인 OLED 소자의 양 옆을 고정시킨 후, 소자의 중심 부분에 10 mm 직경의 기둥을 움직이게 하여 기둥에 밀착되는 소자가 같은 곡률 반경으로 휘게 하는 Bending Test 시스템을 고안하여 Bending Test와 휘도 측정을 동시에 진행하였다.12 Arizona State University의 Cynthia Bell 등도 소자의 중심 부분을 움직이게 하며 고정된 곡률반경으로 소자가 Bending 되었을 때 일정한 거리를 가지고 고정되어 있는 휘도계에서 소자의 휘도를 실시간으로 측정하는 Bending Tester를 고안하였다.13 하지만 이러한 Bending Tester들은 소자의 Bending 되는 부분과 휘도 측정부와의 간격이 일정하지 않아 측정되는 휘도의 정확성이 떨어질 수 있고 소자가 Stretching Stress를 받게 되어 Bending Stress 만에 의한 소자의 수명 저하 특성을 정확하게 분석하기에는 적합하지 않은 구조들을 가지고 있었다.14
본 논문에서는 Flexible OLEDs를 Bending과 동시에 수명 측정이 가능하게 하는 측정 장비를 개발하고 이를 사용하여 OLEDs 소자의 수명을 측정하였다. 개발된 장비는 -30oC부터 80oC의 온도범위 내에서 측정 평균 오차범위 ± 0.23% 이내의 정확도를 가지며 다양한 크기의 소자를 분석할 수 있는 장점들을 가지고 있어 실시간으로 일어나는 Flexible OLED의 내구성 평가 및 수명 특성 분석에 성공적으로 사용되었다.
2.1 Bending Tester 개요
본 연구에 사용된 측정 단계별 과정도를 Fig. 2에 나타내었다. 전체적인 측정 방법은 다음과 같다.
Fig. 2

Schematic design of bending lifetime tester system

KSPE_2018_v35n4_451_f002.jpg
(1) 항온항습기 내부에 Bending Tester를 배치한 후 Flexible OLEDs를 장착한다.
(2) 전원공급장치(Tektronix, Keithley 2400)로 Flexible OLEDs에 정전류를 인가한다.
(3) 소자가 발광하는 빛을 광섬유(Thorlabs, M29L01)를 사용하여 항온항습기 외부로 유도한다.
(4) 광섬유의 빛은 외부의 포토다이오드(Thorlabs, FDG03)로 전달되어 광전류를 실시 간으로 발생시킨다.
(5) 광전류는 OLEDs Lifetime Tester (McScience, M6000 PMX 4ch)와 연결되어 컴퓨터에 기록 되고 실시간으로 변화하는 광전류(휘도)의 차이를 출력하여 Flexible OLEDs 소자의 수명 특성을 분석한다.
2.2 Bending Tester 구성
본 장비의 구성은 크게 구동부(Driving Unit), 곡률조절부(Curvature Control Unit), 측정부(Measurement Unit), 제어부(Control Unit)의 4가지로 나눌 수 있다. Fig. 3은 Bending Tester의 전체적인 도면 및 구동부와 곡률조절부의 디자인을 나타낸다.
Fig. 3

(a) Design of bending lifetime tester, (b) front view of driving unit and curvature control unit

KSPE_2018_v35n4_451_f003.jpg
먼저 구동부는 장비 하단의 리니어 모터(Liner Moter)와 곡률조절부에 동력을 전달하는 샤프트(Shaft)로 구성되어 있다. 리니어 모터는 제어부로부터 동력을 공급받아 곡률조절부의 백플레이트(Back Plate)가 반복적으로 상하 왕복 운동을 할 수 있도록 한다. 리니어 모터의 행정 길이는 구동부를 통하여 설정할 수 있고 이를 통하여 Flexible OLEDs 소자와 곡률조절부가 접촉하는 면적 및 Bending 되는 소자의 접힘 각도를 조절할 수 있다.
두 번째로 곡률조절부는 백플레이트 및 롤러 고정수단(Fixing Roller), 곡률조절바(Curvature Control Rod)로 구성되어 있다. 곡률조절바는 3 mm부터 50 mm까지의 다양한 곡률반경으로 가공되어 있고 측정하고자 하는 곡률반경을 선택하여 곡률조절부에 고정한다. 곡률조절바는 길이 15 cm의 원기둥으로 원기둥의 반경이 곡률반경을 결정하며 Bending되는 소자의 중심부를 고정할 수 있는 결합부를 포함하고 있다. 반지름 50 mm 이상의 곡률조절바는 백플레이트와 롤러 위치로 인하여 탈부착에 어려움이 있어 원의 중심을 기준으로 가로축에 할선을 그어 절단하고 중심점으로부터 좌우 20 mm의 폭을 갖는 형태로 제작되었다.
롤러 고정수단은 백플레이트에 고정하여 소자의 양 끝단을 상하로 움직여 주는데 소자를 고정하여 잡고 있지 않고 두 롤러 사이에 소자를 위치시켜 소자의 상하 운동 시키면서 장력을 부여하지 않도록 제작되었다. 다양한 곡률조절바의 직경 및 소자의 크기에 대응할 수 있도록 소자고정부 롤러는 백플레이트의 다양한 위치에 고정될 수 있게 제작되었다.
세 번째로 측정부는 광섬유(Optical Fiber)와 포토다이오드로 구성된다. 곡률조절바 상단에 위치한 소자에 전원을 공급하고, 발광된 빛을 소자 위에 배치된 광섬유를 통해 항온항습기 챔버 외부로 전달한다. 광섬유는 항온항습기 외부에서 포토다이오드와 연결되었고 이를 통하여 항온항습기 내부의 다양한 구동 온도에서도 오차 없이 광량을 측정할 수 있게 하였다.
마지막 제어부는 구동부의 동력을 공급하고 장비의 동작을 제어한다. 장비 우측 상단에 위치한 두 개의 위치 센서(Position Sensor)는 상하왕복 운동의 원점기준 및 반복적으로 움직임의 Bending 수를 측정하는데 사용되었다. 측정된 Bending 횟수는 제어부 상단에 표시되어 사용자가 원하는 횟수를 입력하여 측정 횟수를 지정할 수 있다.
20 mm의 곡률반경을 가지는 곡률조절바를 부착하여 실제로 Bending Test 하는 모습이 Fig. 4(a)에 나타나있다. Fig. 4(b)는 항온항습기 내부에 위치하여 구동되고 있는 Bending Tester 시스템의 전체적인 모습을 나타낸다.
Fig. 4

(a) Picture of bending lifetime tester, (b) total system of bending lifetime test

KSPE_2018_v35n4_451_f004.jpg
3.1 온도 구간 별 특성분석
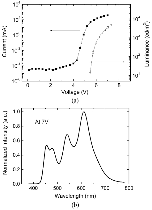
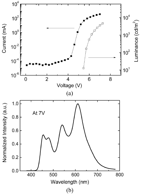
Fig. 5(a)는 Bending Test에 사용된 Flexible OLEDs 소자의 전류-전압-휘도 특성을 나타내고 있다. 전압-전류 및 휘도는 Keithley 2400 Multimeter와 Photo Research 사의 PR-650 Spectrophotometer로 각각 측정되었다. OLED 소자의 Turn-On 전압은 5.5 V로 측정되었고 휘도 1000 cd/m2일 때의 전류와 전압은 1.2 mA, 5.8 V, 휘도 5000 cd/m2에서는 5.7 mA, 7 V로 각각 측정되었다. 소자 내부의 보조전극 등의 패턴으로 인하여 정확한 발광면적을 정의할 수 없어 전류밀도나 발광효율 등은 계산하지 않았다. Fig. 5(b)는 해당 소자의 발광 스펙트럼으로 5000 cd/m2의 구동 조건에서 OLEDs 소자는 455 nm, 540 nm, 610 nm에서 피크를 가지는 백색 OLEDs의 전형적인 스펙트럼을 보였다. OLEDs 소자는 반복적인 전류-전압-휘도 스캔에도 동일한 측정값을 보이는 안정적인 특성을 보여 개발된 Bending Tester의 재현성 및 안정성 평가에 사용되었다.
Fig. 5

(a) I-V-L characteristic of OLEDs, (b) Emission EL spectrum at 7V

KSPE_2018_v35n4_451_f005.jpg
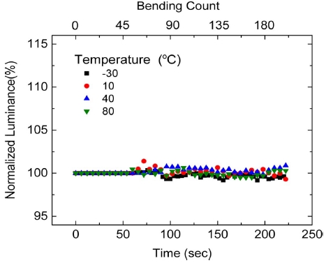
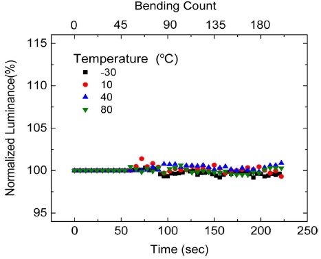
OLEDs 소자의 신뢰성 평가(KS C 0220, KS C 0221, IEC 60068-2-1, IEC 600682-2)는 고온시험, 저온시험, 고온동작시험, 저온동작시험 등이 있다. 고온 및 저온 실험의 경우 설정된 가혹 조건의 온도에서 일정시간을 보관한 이후 상온의 표준상태로 다시 조절하여 소자의 안정적인 구동여부를 확인하는 방법이다. 고온 혹은 저온 동작시험의 경우는 소자를 구동하며 설정된 가혹 조건의 온도로 높이거나 낮추어 일정시간을 구동하며 정상작동 여부를 판단한다. -20 ± 3oC와 60 ± 3oC의 온도영역에서 진행되는 저온 및 고온동작시험 및 -30 ± 3oC와 80 ± 3oC의 온도영역에서 진행되는 고온 및 저온시험에서 Flexible OLEDs 소자를 시험하기 위해서는 사용되는 Bending Lifetime Tester 또한 같은 온도영역에서 정상적인 작동이 가능해야 한다. Fig. 6은 –30oC부터 80oC까지의 온도구간에서 개발된 Bending Lifetime Tester를 사용하여 측정한 Flexible OLEDs의 시험 결과를 나타내고 있다. OLEDs 소자의 Bending Test를 위하여 소자는 분당 54회의 속도로 270초 동안 70 mm의 곡률반경으로 Bending 되었다. 이 실험결과를 통하여 개발된 Bending Lifetime Tester는 넓은 온도구간에서 소자의 신뢰성 평가에 사용 가능함을 확인할 수 있었다. 각각의 온도 구간에서의 측정된 휘도의 평균편차 값은 0.20-0.26% 사이로 계산되어 소자의 온도 별 발광 안정성 또한 확인하였다.
Fig. 6

Bending lifetime test at various working temperature

KSPE_2018_v35n4_451_f006.jpg
3.2 Flexible OLED 수명측정 및 특성분석
Fig. 7은 25oC의 항온 조건 속에서 분당 54회의 속도로 7시간 동안 50 mm의 곡률반경에서 Bending 수명 측정한 결과이다. 휘도의 변화를 명확히 파악하기 위해 처음 측정된 광량을 기준으로 100%의 Luminance로 보정하였을 때 측정 시간 동안 Luminance의 최대값은 100.9%, 최소값은 99.7%로 일관된 측정값을 보여주었다. 50 mm의 곡률반경에서는 7시간 동안 소자의 파손이나 휘도 저하없이 매우 안정한 발광특성을 보였다.
Fig. 7

Results of bending test in 1100 cd/m2, 2100 cd/m2 and 3200 cd/m2

KSPE_2018_v35n4_451_f007.jpg
Fig. 8는 Bending Test 중에 충격에 의해 깨지거나 Dark Spot이 형성된 소자의 사진을 나타낸다. 실험에서 사용된 Flexible OLEDs 소자는 박막의 유리기판 위에 제작된 소자로 소자의 허용 곡률반경이 플라스틱 기판에 비하여 컸다.15 진행된 Bending Lifetime Test에서는 수명 측정 중 일부 소자들이 Fig. 8(a)의 사진과 같이 파손이 일어났다.
Fig. 8

(a) Crack generation on substrate, (b) Dark spot during bending lifetime test

KSPE_2018_v35n4_451_f008.jpg
일반적으로 고온에서 OLEDs 소자의 수명저하는 유기물 반도체의 유리전이변화, 전극 및 전하 주입층 분자의 확산에 따른 계면 붕괴 등의 메커니즘에 의하여 발생한다.16 분석에서 사용된 OLEDs 소자의 경우 외부에서 주어진 열적, 물리적인 충격이나 갑작스런 고휘도 가동 등의 전기적인 가혹 조건에서 Dark Spot이 발생하는 것으로 확인되었다.
이러한 현상은 고온의 구동조건에서 OLEDs 제작에 사용되는 유기물 반도체가 국부적으로 열적인 손상을 일으키거나 기판 상에 존재하는 불순물 등에 의한 전류 쏠림 현상 때문에 발생한 것으로 판단된다. 이러한 변화가 나타나면 실시간으로 측정되는 휘도의 감소를 통하여 확인할 수 있다.
본 연구에서 개발된 장비는 Bending Test 중에 실시간으로 OLEDs의 수명 분석이 가능하다는 장점을 가지고 있다. 미래의 OLEDs 디스플레이는 초박막 기판 위에 제작되어 Skin Display나 Wearable Display 등의 형태로 개발될 것이 예상되며 Bending Test 이외에도 Stretching Test, Twist Test, Folding Test, 수중실험 등의 더욱 혹독한 조건에서의 실시간 수명 분석이 필요하다. 이러한 차세대 OLEDs 소자의 수명분석 연구를 위해서는 개발된 Bending Lifetime Tester에 다양한 기능들을 추가한 장비들의 개발이 더 진행되어야 할 것으로 기대된다.
현재까지 상용화 된 제품들은 Bending Test와 수명 분석을 분리하여 따로 측정했기 때문에 Flexible OLEDs 수명 측정에 있어서 효율적이지 못하였다. 본 연구에서는 Bending Test와 수명측정을 동시에 할 수 있는 Bending Lifetime Test System의 개발을 통하여 Flexible OLEDs 소자의 신뢰성 시험을 수행하였다. 개발된 장비는 소자의 가속 수명 측정을 위한 다양한 온도구간에서도 정확하게 소자의 휘도를 실시간으로 측정할 수 있었다. 본 연구의 결과는 향후 Flexible OLEDs 소자의 내구성 평가 및 소자 수명분석 연구에 널리 사용될 것으로 기대된다.
  • 1.
    Tang, C. W. and VanSlyke, S. A., “Organic Electroluminescent Diodes,” Applied Physics Letters, Vol. 51, No. 12, pp. 913-915, 1987.
    10.1063/1.98799
  • 2.
    Sasabe, H. and Kido, J., “Development of High Performance Oleds for General Lighting,” Journal of Materials Chemistry C, Vol. 1, No. 9, pp. 1699-1707, 2013.
    10.1039/c2tc00584k
  • 3.
    So, F., Kido, J., and Burrows, P., “Organic Light-Emitting Devices for Solid-State Lighting,” MRS Bulletin, Vol. 33, No. 7, pp. 663-669, 2008.
    10.1557/mrs2008.137
  • 4.
    Han, T.-H., Lee, Y., Choi, M.-R., Woo, S.-H., Bae, S.-H., et al., “Extremely Efficient Flexible Organic Light-Emitting Diodes with Modified Graphene Anode,” Nature Photonics, Vol. 6, No. 2, p. 105, 2012.
    10.1038/nphoton.2011.318
  • 5.
    Han, Y. C., Kim, E., Kim, W., Im, H.-G., Bae, B.-S., et al., “A Flexible Moisture Barrier Comprised of a SiO2-Embedded Organic–Inorganic Hybrid Nanocomposite and Al2O3 for Thin-Film Encapsulation of OLEDs,” Organic Electronics, Vol. 14, No. 6, pp. 1435-1440, 2013.
    10.1016/j.orgel.2013.03.008
  • 6.
    Yokota, T., Zalar, P., Kaltenbrunner, M., Jinno, H., Matsuhisa, N., et al., “Ultraflexible Organic Photonic Skin,” Science Advances, Vol. 2, No. 4, Paper No. e1501856, 2016.
    10.1126/sciadv.1501856
  • 7.
    Chung, S., Lee, J.-H., Jeong, J., Kim, J.-J., and Hong, Y., “Substrate Thermal Conductivity Effect on Heat Dissipation and Lifetime Improvement of Organic Light-Emitting Diodes,” Applied Physics Letters, Vol. 94, No. 25, Paper No. 253302, 2009.
    10.1063/1.3154557
  • 8.
    Popovic, Z. D. and Aziz, H., “Reliability and Degradation of Small Molecule-Based Organic Light-Emitting Devices (OLEDs),” IEEE Journal of Selected Topics in Quantum Electronics, Vol. 8, No. 2, pp. 362-371, 2002.
    10.1109/2944.999191
  • 9.
    Park, J.-S., Chae, H., Chung, H. K., and Lee, S. I., “Thin Film Encapsulation for Flexible Am-OLED: A Review,” Semiconductor Science and Technology, Vol. 26, No. 3, Paper No. 034001, 2011.
    10.1088/0268-1242/26/3/034001
  • 10.
    Ishii, M. and Taga, Y., “Influence of Temperature and Drive Current on Degradation Mechanisms in Organic Light-Emitting Diodes,” Applied Physics Letters, Vol. 80, No. 18, pp. 3430-3432, 2002.
    10.1063/1.1476704
  • 11.
    Kim, W., Kwon, S., Han, Y. C., Kim, E., Choi, K. C., et al., “Reliable Actual Fabric Based Organic Light Emitting Diodes: Toward a Wearable Display,” Advanced Electronic Materials, Vol. 2, No. 11, Paper No. 1600220, 2016.
    10.1002/aelm.201600220
  • 12.
    Duan, L., Liu, S., Zhang, D., Qiao, J., Dong, G., et al., “Improved Flexibility of Flexible Organic Light-Emitting Devices by Using a Metal/Organic Multilayer Cathode,” Journal of Physics D: Applied Physics, Vol. 42, No. 7, Paper No. 075103, 2009.
    10.1088/0022-3727/42/7/075103
  • 13.
    Bell, C., Alford, T. L., Rednour, R. S., and Richards, M., “Display Bender and Method of Testing Flexible Display,” US Patent, 8943898 B2, 2015.
  • 14.
    Chiang, C.-J., Winscom, C., and Monkman, A., “Electroluminescence Characterization of Foled Devices under Two Type of External Stresses Caused by Bending,” Organic Electronics, Vol. 11, No. 11, pp. 1870-1875, 2010.
    10.1016/j.orgel.2010.08.021
  • 15.
    Weber, A., Deutschbein, S., Plichta, A., and Habeck, A., “6.3: Thin Glass Polymer Systems as Flexible Substrates for Displays,” Proc. of Symposium Digest of Technical Papers, pp. 53-55, 2002.
    10.1889/1.1830853
  • 16.
    Kawaharada, M., Ooishi, M., Saito, T., and Hasegawa, E., “Nuclei of Dark Spots in Organic EL Devices: Detection by DFM and Observation of the Microstructure by TEM,” Synthetic Metals, Vol. 91, Nos. 1-3, pp. 113-116, 1997.
    10.1016/S0379-6779(97)03989-1

Download Citation

Download a citation file in RIS format that can be imported by all major citation management software, including EndNote, ProCite, RefWorks, and Reference Manager.

Format:

Include:

Development of Bending Lifetime Tester for Flexible OLEDs
J. Korean Soc. Precis. Eng.. 2018;35(4):451-456.   Published online April 1, 2018
Download Citation

Download a citation file in RIS format that can be imported by all major citation management software, including EndNote, ProCite, RefWorks, and Reference Manager.

Format:
Include:
Development of Bending Lifetime Tester for Flexible OLEDs
J. Korean Soc. Precis. Eng.. 2018;35(4):451-456.   Published online April 1, 2018
Close

Figure

  • 0
  • 1
  • 2
  • 3
  • 4
  • 5
  • 6
  • 7
Development of Bending Lifetime Tester for Flexible OLEDs
Image Image Image Image Image Image Image Image
Fig. 1 Typical design of bending tester
Fig. 2 Schematic design of bending lifetime tester system
Fig. 3 (a) Design of bending lifetime tester, (b) front view of driving unit and curvature control unit
Fig. 4 (a) Picture of bending lifetime tester, (b) total system of bending lifetime test
Fig. 5 (a) I-V-L characteristic of OLEDs, (b) Emission EL spectrum at 7V
Fig. 6 Bending lifetime test at various working temperature
Fig. 7 Results of bending test in 1100 cd/m2, 2100 cd/m2 and 3200 cd/m2
Fig. 8 (a) Crack generation on substrate, (b) Dark spot during bending lifetime test
Development of Bending Lifetime Tester for Flexible OLEDs