Skip to main navigation Skip to main content
  • E-Submission

JKSPE : Journal of the Korean Society for Precision Engineering

OPEN ACCESS
ABOUT
BROWSE ARTICLES
EDITORIAL POLICIES
FOR CONTRIBUTORS
REGULAR

오스테나이트계 스테인리스강(STS304L) 필릿 용접접합부의 모재 블록전단파단강도의 내력평가

Block Shear Strength Estimation of STS304L Stainless Steel Fillet-Welded Connection with Base Metal Fracture

Journal of the Korean Society for Precision Engineering 2018;35(6):615-621.
Published online: June 1, 2018

1 한밭대학교 일반대학원 건축공학과

2 한밭대학교 건축공학과

1 Department of Architectural Engineering, Graduate School, Hanbat National University

2 Department of Architectural Engineering, Hanbat National University

#E-mail: tskim@hanbat.ac.kr, TEL: +82-42-821-1121
• Received: July 28, 2017   • Revised: November 20, 2017   • Accepted: December 22, 2017

Copyright © The Korean Society for Precision Engineering

This is an Open-Access article distributed under the terms of the Creative Commons Attribution Non-Commercial License (http://creativecommons.org/licenses/by-nc/3.0) which permits unrestricted non-commercial use, distribution, and reproduction in any medium, provided the original work is properly cited.

  • 4 Views
  • 0 Download
  • 1 Scopus
prev next
  • Recently, the use of stainless steels have been increased steadily as a sustainable structural material in infrastructures and thanks to its superior corrosion resistance, fire resistance and ductility compared with those of carbon steels. In this paper, block shear fracture behaviors in base metal of fillet-welded connection fabricated with austenitic stainless steel (STS304L) were investigated through monotonic tensile test. Main variables are weld lengths in the longitudinal and the transverse directions of applied force. Gas tungsten arc welding (GTAW) which is also known as tungsten inert gas (TIG) welding was chosen to join two metals. As a result, test specimens failed by typical block shear fracture (the combination of tensile fracture and shear-out fracture) in base steel. With the increase of two weld lengths, the ultimate strengths of specimens tended to get higher. Block shear fracture strengths predicted by current design specifications and existing proposed equations for welded connections were compared with those of test results. It is found that the discrepancy of strength prediction resulted from the effect of stress triaxiality on welded connections and the difference of material properties with carbon steel. Therefore, modified block shear fracture equation was suggested in this paper.
Stainless steel has excellent characteristics such as corrosion resistance, ductility, high strength, temperature properties, life-cycle cost benefit and recyclability. However, commonly used austenitic stainless steel (STS3041 corresponds to ASTM 304L type2) exhibits intergranular corrosion in sensitized temperature range of 550oC to 800oC and is caused by the formation of chromium carbides at grain boundaries. Dissolved metals exhibit lower corrosion resistance than grain themselves because of chromium depleted line. Intergranular corrosion can be prevented using low carbon grade of stainless steel, STS304L (corresponds to ASTM 304L type,2 which contains lower carbon and higher nickel compared to STS304).
As a basic research for establishing the design manual of stainless steel members, monotonic tensile experiments for cold-formed austenitic stainless steel (STS304L)1 fillet-welded connection with the block shear fracture in base metal have been conducted. Recently, defect analysis and hardness test of cold metal transfer (CMT) welding coated steel have been conducted to provide the reliable data of welded connections between aluminum alloy(AL 6021) and galvannealed steel (SGARC340).3 Block shear is combination by failure surface that includes one or two longitudinal shear planes and one perpendicular tension plane. Block shear provision for carbon steel bolted connection in the 2010 AISC4 Specification and KBC 20165 for Structural Steel Buildings considers a combination of net-section tension plane fracture and yielding (or fracture) of the gross (or net) section shear plane(s), with the capacity being taken as the lesser of the following two Eqs. (1) and (2).
(1)
Put=0.6FyAgv+UbsFuAnt
(2)
Put=0.6FuAnv+UbsFuAnt
Topkaya6,7 proposed block shear failure equation of gusset plates with welded connections based on the experimental and numerical findings. In the development of this equation, triaxial stress is assumed that the gross section tension plane develops 25% higher stress in excess of Fu
(3)
Put=Fu3Agv+1.25FuAgt
Oosterhof and Driver8 suggested “unified equation” that provides more consistent block shear capacity predictions with net section tension plane than Eqs. (1) and (2).
(4)
Put=Fy+Fu23Agv+1.25FuAnt
However, most of previous studies and proposed equations stated above were focused on the block shear fracture of base metal in carbon welded connections. ASCE specification for the design of cold-formed stainless steel structural members9 provides the design fillet-weld strengths of tensile fracture and shear fracture according to loading directions against welding axis not including block shear strength of welded connections. Recently, experimental studies on the ultimate strength of austenitic stainless steel (STS304, corresponds to ASTM 304L type)2 welded connection with weld metal fracture for three types according to loading directions against welding axis. As a result, modified equations were proposed and their validation for estimating the ultimate strength of welded connection was verified.10
In this paper, experimental research has been carried out to investigate the ultimate behaviors of cold-formed austenitic stainless steel (STS304L) fillet-welded connections by TIG (tungsten inert gas) welding with block shear fracture in base metal.
2.1 Experimental Plan
A total of seven specimens for austenitic stainless steel 304L fillet-welded connections was planned as depicted in Fig. 1. Table 1 shows the list and geometric information of the specimens. Two 3.0mm thick plane plates and two 10.0 mm thick plane plates were joined with weld of nominal fillet size, 3.0 mm. Electrode for TIG welding of STS304L plates was chosen as Y308L (minimum specified strength of Fxx = 580) with diameter of 3.2mm specified in KS D 7026 (corresponds to ER308 in AWS A5.9). The upper weld is deformable test part and the lower weld means fixed rigid part. Specimens were clipped by upper and lower fixtures of 2000 kN UTM. Tensile force was applied to the specimen with a displacement control mode in order load-displacement (stroke) curves of the specimens.
Fig. 1

Specimen configuration (SALT30L30) [Unit:mm]

KSPE_2018_v35n6_615_f001.jpg
Table 1.

List and geometry of specimens

Table 1.
Specimen Weld length Total weld
length
lt = T + L
(mm)
Weld
length
ratio
L/T
Transverse
direction
(T) (mm)
Longitudinal
direction
(L) (mm)
SALT20L20 20 20 60 1.00
SALT20L30 30 80 1.50
SALT20L40 40 100 2.00
SALT30L30 30 30 90 1.00
SALT30L40 40 110 1.33
SALT40L30 40 30 100 0.75
SALT40L40 40 120 1.00
2.2 Material Properties of Base Metal
Tensile coupon test for STS304L (austenitic stainless steel, corresponds to ASTM 304L type) 3.0 mm thick plane plates was conducted to obtain material properties and six coupons with two kinds (for example, 304L3T-T means coupon extracted from transverse direction and 304L3T-L means coupon extracted from longitudinal direction) were cut according to the rolling direction. Material test results for base metal are included in Table 2. Stress-strain curves for each type were exhibited in Fig. 2. Since JIS G 432111 definition may be reasonable to provide a sound deflection control at the serviceability limit state and more conservative value in estimating the width to thickness ratio for plate local bucking strength, 0.1% offset method in this paper was adopted for deciding the yield stress of stainless steels with no clear yield plateau based on JIS G 4321.11 ASTM A240/A6662 and KS D 36981 requirements for minimum yield strength in STS304L are 170 MPa and 175MPa, respectively. Minimum tensile strength requirements in STS304L are 485 MPa and 480 MPa, respectively. Mean elastic modulus for 304L3T-L coupon is 179.59 GPa, yield strength is 289.42MPa and tensile strength 753.34MPa. Mechanical properties of test coupons satisfy the requirements of ASTM and KS.
Table 2

Coupon test results for STS304L base metal

Table 2
Coupon Plate thickness
te (mm)
Young’s modulus
E (GPa)
Yield stress
Fy (MPa)
Tensile strength
Fu (MPa)
Yield ratio
Fy/Fu YR(%)
Elongation
EL(%)
304L3T-T1 2.88 200.56 313.81 774.26 40.53 70.83
304L3T-T2 2.89 195.25 313.59 771.26 40.66 68.24
304L3T-T3 2.90 202.98 308.14 766.45 40.20 68.96
Average 2.89 199.60 311.85 770.66 40.46 69.34
COV* 0.003 0.016 0.008 0.004 0.005 0.016
304L3T-L1 2.92 176.23 289.27 754.11 38.36 63.08
304L3T-L2 2.92 174.72 293.15 754.07 38.88 62.93
304L3T-L3 2.92 187.82 285.86 751.84 38.02 62.31
Average 2.92 179.59 289.42 753.34 38.42 62.77
COV* 0.000 0.033 0.010 0.001 0.009 0.005

Note: *means the coefficient of variation, which represents the ratio of the standard deviation to the mean.

Fig. 2

Stress-strain curves for material (STS304L) for 3.0 mm thick plate

KSPE_2018_v35n6_615_f002.jpg
3.1 Experimental Results
Figs. 3 and 4 display load-displacement curves and block shear fracture shapes of specimens obtained from test results. All of the specimens were tested under tension and fracture mode was determined at ultimate state. Structural behaviors of all specimens were similar. During the early stage of loading, slip took place at the base metal. Since austenitic stainless steel has a low yield ratio (Fy/Fu) and relatively high elongation, after the occurrence of slip, the load-displacement response was followed by a long yield state until specimens reached the ultimate state. A single fracture or two symmetrical fractures were observed in weld connection away from the toe of the transverse weld connection at the corner of the weld connection. All of welded connections failed by block shear fracture (tensile fracture → shear yielding or shear fracture) as shown in Fig. 4.
Fig. 3

Comparison of load-displacement curves

KSPE_2018_v35n6_615_f003.jpg
Fig. 4

Fracture shape of specimens and sequence

KSPE_2018_v35n6_615_f004.jpg
3.2 Strength Comparison
Table 3 shows test ultimate strength (Pue), actual plate thickness (te), average weld size (Se) and fracture mode. Actual weld leg sizes (Se) were larger than nominal weld size (Sn = 3 mm) as can be seen in Table 3. Modified ultimate strength (Puem) was calculated based on modification factor (m = tn/te), which was obtained from compensation based on measured plate thickness (te) and nominal plate thickness (tn = 3.0mm) to compare with ultimate strengths for specimens with identical plate thickness according to weld lengths.
Table 3

Test results

Table 3
Specimen Actual plate
thickness
te(mm)
Average
weld size
Se(mm)
Ultimate
strength
Pue(kN)
Fracture
mode
(F.M)
SALT20L20T 2.94 5.24 165.19 Block
shear
fracture
SALT20L30T 2.93 5.08 195.18
SALT20L40T 2.96 4.81 219.13
SALT30L30T 2.95 5.09 222.15
SALT30L40T 2.98 4.64 238.22
SALT40L30T 2.94 4.98 250.64
SALT40L40T 2.95 4.99 266.64
Strength ratios (Puem/Puem_Lmin) to specimen with the shortest transverse weld length ranged from 1.00 to 1.32 and ultimate strength got higher with the increase of transverse weld length.
Table 4

Strength ratio according to welding length

Table 4
Specimen Test
ultimate
strength
Pue (kN)
Modification
factor
m = tn/te
Modified
ultimate
strength
Puem(kN)
Strength
ratio
Puem/Puem-Lmin
SALT20L20T 165.19 1.02 168.56 1.00
SALT20L30T 195.18 1.02 199.84 1.19
SALT20L40T 219.13 1.01 222.09 1.32
SALT30L30T 222.15 1.02 225.92 1.00
SALT30L40T 238.22 1.01 239.82 1.06
SALT40L30T 250.64 1.02 255.76 1.00
SALT40L40T 266.64 1.02 271.16 1.06
3.3 Development of Block Shear Strength
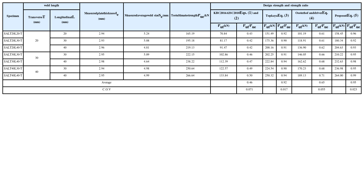
It is found that for fillet-welded connections with block shear fracture were underestimated by current design specifications with no consideration of triaxial stress effect and material property difference between stainless steel and carbon steel as shown in Table 5. As already discussed in the introduction, Topkaya6,7 considered the block shear fracture in fillet-welded connection with carbon steel. Compared with carbon steel, stainless steel is lower to the yield ratio. The yield ratio (yield-to-tensile strength ratio) is important factor for estimating deformation resistance and the lower yield ratio reflects the higher resistance to deformation. Therefore, modified strength equation of Eq. (5) with tensile stress factor and proposal equations. (Ut = 1.35) for gross tension fracture provided strengths closest to test results was recommended in this paper.
Table 5

Comparison of design strength and test result

Table 5
Specimen weld length Measured
plate
thickness
te (mm)
Measured
average
weld size
Se(mm)
Test
ultimate
strength
Pue(kN)
Design strength and strength ratio
Transverse
T (mm)
Longitudinal
L (mm)
KBC2016
AISC2010
Eqs. (1) and (2)
Topkaya
Eq. (3)
Oosterhof and
driver
Eq. (4)
Proposed
Eq. (5)
Put(kN) Put/Pue Put(kN) Put/Pue Put(kN) Put/Pue Put(kN) Put/Pue
SALT20L20-T 20 20 2.94 5.24 165.19 70.84 0.43 151.49 0.92 101.19 0.61 158.45 0.96
SALT20L30-T 30 2.93 5.08 195.18 81.17 0.42 175.36 0.90 118.91 0.61 180.34 0.92
SALT20L40-T 40 2.96 4.81 219.13 91.47 0.42 200.16 0.91 136.90 0.62 204.63 0.93
SALT30L30-T 30 30 2.95 5.09 222.15 102.86 0.46 202.25 0.91 146.05 0.66 210.22 0.95
SALT30L40-T 40 2.98 4.64 238.22 112.39 0.47 222.84 0.94 162.62 0.68 232.63 0.98
SALT40L30-T 40 30 2.94 4.98 250.64 122.57 0.49 224.54 0.90 170.23 0.68 236.98 0.95
SALT40L40-T 40 2.95 4.99 266.64 133.84 0.50 250.32 0.94 189.13 0.71 264.00 0.99
Average 0.46 0.92 0.65 0.95
C.O.V 0.071 0.017 0.055 0.023
(5)
Put=Fu3Agv+1.35FuAgt
3.4 Comparison of Test Results and Design Strengths
AISC2010 specification4 and KBC 20165 for hot-rolled carbon steel and existing literature provide the design equations6-8 (Eqs. (1)-(4)) to predict the ultimate strength of block shear in fillet-welded connections with base metal fracture. Table 5 displays test strengths (Pue) and design strengths (Put) predicted by AISC2010 specification4, existing design equations6-8 by other researchers and proposal equations. It can be seen that design strengths (Eqs. (1) and (2)) predicted by AISC2010 specification1 (Put) underestimated overly the ultimate strength (Pue) of test results (mean strength ratio, Put/Pue=0.46 with corresponding COV of 0.071). Topkaya’s equation6,7 (Eq. (3)) and prediction by Oosterhof and Driver’s equation8 (Eq. (4)) also was conservative by 8%, 35% (the mean strength ratios, Put/Pue are 0.92, 0.65 with corresponding COV of 0.017, 0.055, respectively). Proposed equation (Eq. (5)) provided more accurate block shear strength (mean strength ratio, Put/Pue is 0.95 with corresponding COV of 0.023) for base metal fracture in stainless steel welded connection. Comparison of test ultimate strengths against design strengths calculated according to the design equations are plotted in Fig. 5. Data points appearing below the diagonal line indicate that design equations overestimate the strength of welded connection, while data points above the line indicate that design predictions are underestimated (see Fig. 5).
Fig. 5

Comparison of test results and design strengths

KSPE_2018_v35n6_615_f005.jpg
Experimental study for investigating the block shear behaviors (fracture shape and ultimate strength) fillet-welded connections fabricated with cold-formed austenitic stainless steel (STS304L, corresponds to ASTM 304L type, which exhibits high intergranular corrosion thanks to the content of low carbon) by TIG welding was conducted. All of specimens failed by block shear fracture in base metal not weld mental. Main variables of the specimens were weld lengths (longitudinal weld length and transverse weld length) according to welding direction against applied force. Block shear strengths got higher with the increase of weld length.
Test block shear strengths were compared with those by AISC2010 specification and equations suggested by other researchers (Topkaya and Oosterhof & Driver) for carbon steel welded connections. The existing equations underestimated the block shear strength of STS304L welded connection by 8%-64%. Block shear fracture for welded connections with base metal fracture was affected by stress triaxiality unlike that of the bolted connections. Proposed strength equation (Eq. (5)) with equivalent tensile stress factor (Ut = 1.35) for gross tension fracture and shear stress factor (=13) for gross shear fracture provided the block shear strengths closest to those of test results. In the near future, more reasonable estimation of block shear strength of STS 304L stainless steel welded connections with base metal fracture are required to be made considering the stress triaxiality effect and shear factor for cold-formed stainless steel welded connection using parametric finite element analysis.
This paper was presented at ISGMA 2017
This research was supported by Basic Science Research Program through the National Research Foundation of Korea (NRF) funded by the Ministry of Education (KRF-2015R1D1A3A01016603).

Agv

Gross area subjected to shear

Agt

Gross area subjected to tension

Anv

Net area subjected to shear

Ant

Net area subjected to tension

E

Modulus of elasticity of steel

EL

Percentage of elongation

Fy

Yield stress of stainless steel

Fu

Tensile strength of stainless steel

L

Longitudinal weld length

Lt

Total weld length

m

Modification factor (m = tn/te)

Pue

Ultimate test strength

Put

Ultimate equation strength

Puem

Modified ultimate strength

Puem_Lmin

Minimum modified ultimate strength

Se

Actual weld leg size

T

Transverse weld length

te

Actual plate thickness

Ubs

Reduction coefficient; taken as 1.0 for uniform tensile stress and 0.5 for non-uniform tensile stress

YR

Yield ratio (YR = Fy/Fu)
  • 1.
    KS D 3698., “Cold Rolled Stainless Steel Plates, Sheets and Strip,” 2015.
  • 2.
    ASTM A666-15, “Standard Specification for Annealed or Cold-worked Austenitic Stainless Steel Sheet, Strip, Plate, and Flat Bar,” 2015.
  • 3.
    Song, H. S., Choi, B. S., Yun, J., and Park, S. T., "Characterization of Cold Metal Transfer Welding Coated Steel,” Journal of the Korean Society for Precision Engineering, Vol. 32, No. 10, pp. 891-896, 2015.
    10.7736/KSPE.2015.32.10.891
  • 4.
    American Institute of Steel Construction (AISC), “Manual of Steel Construction-Load and Resistance Factor Design,” 2010.
  • 5.
    Architectural Institute of Korea (AIK), “Korea Building Code (KBC2016),” 2016.
  • 6.
    Topkaya, C., “A Finite Element Parametric Study on Block Shear Failure of Steel Tension Members,” Journal of Constructional Steel Research, Vol. 60, No. 11, pp. 1615-1635, 2004.
    10.1016/j.jcsr.2004.03.006
  • 7.
    Topkaya, C., “Block Shear Failure of Gusset Plates with Welded Connections,” Engineering Structures, Vol. 29, No. 1, pp. 11-20, 2007.
    10.1016/j.engstruct.2006.04.003
  • 8.
    Steven A. O. and Robert G. D., “Effects of Connection Geometry on Block Shear Failure of Welded Lap Plate Connections,” Journal of Constructional Steel Research, Vol. 67, No. 3, pp. 525-532, 2011.
    10.1016/j.jcsr.2010.09.003
  • 9.
    American Society of Civil Engineers (ASCE), “Specification for the Design of Cold-Formed Stainless Steel Structural Members,” SEI/ASCE-8-02, 2002.
  • 10.
    Lee, H. C., Hwang, B. K., and Kim, T. S., “Ultimate Strength of Austenitic Stainless Steel Fillet-Welded Connections with Weld Metal Fracture,” Thin-Walled Structures Vol. 116, pp. 145-153, 2017.
    10.1016/j.tws.2017.03.008
  • 11.
    JIS G 4321, “Stainless Steel for Building Structure,” 2000.

Download Citation

Download a citation file in RIS format that can be imported by all major citation management software, including EndNote, ProCite, RefWorks, and Reference Manager.

Format:

Include:

Block Shear Strength Estimation of STS304L Stainless Steel Fillet-Welded Connection with Base Metal Fracture
J. Korean Soc. Precis. Eng.. 2018;35(6):615-621.   Published online June 1, 2018
Download Citation

Download a citation file in RIS format that can be imported by all major citation management software, including EndNote, ProCite, RefWorks, and Reference Manager.

Format:
Include:
Block Shear Strength Estimation of STS304L Stainless Steel Fillet-Welded Connection with Base Metal Fracture
J. Korean Soc. Precis. Eng.. 2018;35(6):615-621.   Published online June 1, 2018
Close

Figure

  • 0
  • 1
  • 2
  • 3
  • 4
Block Shear Strength Estimation of STS304L Stainless Steel Fillet-Welded Connection with Base Metal Fracture
Image Image Image Image Image
Fig. 1 Specimen configuration (SALT30L30) [Unit:mm]
Fig. 2 Stress-strain curves for material (STS304L) for 3.0 mm thick plate
Fig. 3 Comparison of load-displacement curves
Fig. 4 Fracture shape of specimens and sequence
Fig. 5 Comparison of test results and design strengths
Block Shear Strength Estimation of STS304L Stainless Steel Fillet-Welded Connection with Base Metal Fracture

List and geometry of specimens

Specimen Weld length Total weld
length
lt = T + L
(mm)
Weld
length
ratio
L/T
Transverse
direction
(T) (mm)
Longitudinal
direction
(L) (mm)
SALT20L20 20 20 60 1.00
SALT20L30 30 80 1.50
SALT20L40 40 100 2.00
SALT30L30 30 30 90 1.00
SALT30L40 40 110 1.33
SALT40L30 40 30 100 0.75
SALT40L40 40 120 1.00

Coupon test results for STS304L base metal

Coupon Plate thickness
te (mm)
Young’s modulus
E (GPa)
Yield stress
Fy (MPa)
Tensile strength
Fu (MPa)
Yield ratio
Fy/Fu YR(%)
Elongation
EL(%)
304L3T-T1 2.88 200.56 313.81 774.26 40.53 70.83
304L3T-T2 2.89 195.25 313.59 771.26 40.66 68.24
304L3T-T3 2.90 202.98 308.14 766.45 40.20 68.96
Average 2.89 199.60 311.85 770.66 40.46 69.34
COV* 0.003 0.016 0.008 0.004 0.005 0.016
304L3T-L1 2.92 176.23 289.27 754.11 38.36 63.08
304L3T-L2 2.92 174.72 293.15 754.07 38.88 62.93
304L3T-L3 2.92 187.82 285.86 751.84 38.02 62.31
Average 2.92 179.59 289.42 753.34 38.42 62.77
COV* 0.000 0.033 0.010 0.001 0.009 0.005

Note: *means the coefficient of variation, which represents the ratio of the standard deviation to the mean.

Test results

Specimen Actual plate
thickness
te(mm)
Average
weld size
Se(mm)
Ultimate
strength
Pue(kN)
Fracture
mode
(F.M)
SALT20L20T 2.94 5.24 165.19 Block
shear
fracture
SALT20L30T 2.93 5.08 195.18
SALT20L40T 2.96 4.81 219.13
SALT30L30T 2.95 5.09 222.15
SALT30L40T 2.98 4.64 238.22
SALT40L30T 2.94 4.98 250.64
SALT40L40T 2.95 4.99 266.64

Strength ratio according to welding length

Specimen Test
ultimate
strength
Pue (kN)
Modification
factor
m = tn/te
Modified
ultimate
strength
Puem(kN)
Strength
ratio
Puem/Puem-Lmin
SALT20L20T 165.19 1.02 168.56 1.00
SALT20L30T 195.18 1.02 199.84 1.19
SALT20L40T 219.13 1.01 222.09 1.32
SALT30L30T 222.15 1.02 225.92 1.00
SALT30L40T 238.22 1.01 239.82 1.06
SALT40L30T 250.64 1.02 255.76 1.00
SALT40L40T 266.64 1.02 271.16 1.06

Comparison of design strength and test result

Specimen weld length Measured
plate
thickness
te (mm)
Measured
average
weld size
Se(mm)
Test
ultimate
strength
Pue(kN)
Design strength and strength ratio
Transverse
T (mm)
Longitudinal
L (mm)
KBC2016
AISC2010
Eqs. (1) and (2)
Topkaya
Eq. (3)
Oosterhof and
driver
Eq. (4)
Proposed
Eq. (5)
Put(kN) Put/Pue Put(kN) Put/Pue Put(kN) Put/Pue Put(kN) Put/Pue
SALT20L20-T 20 20 2.94 5.24 165.19 70.84 0.43 151.49 0.92 101.19 0.61 158.45 0.96
SALT20L30-T 30 2.93 5.08 195.18 81.17 0.42 175.36 0.90 118.91 0.61 180.34 0.92
SALT20L40-T 40 2.96 4.81 219.13 91.47 0.42 200.16 0.91 136.90 0.62 204.63 0.93
SALT30L30-T 30 30 2.95 5.09 222.15 102.86 0.46 202.25 0.91 146.05 0.66 210.22 0.95
SALT30L40-T 40 2.98 4.64 238.22 112.39 0.47 222.84 0.94 162.62 0.68 232.63 0.98
SALT40L30-T 40 30 2.94 4.98 250.64 122.57 0.49 224.54 0.90 170.23 0.68 236.98 0.95
SALT40L40-T 40 2.95 4.99 266.64 133.84 0.50 250.32 0.94 189.13 0.71 264.00 0.99
Average 0.46 0.92 0.65 0.95
C.O.V 0.071 0.017 0.055 0.023
Table 1. List and geometry of specimens
Table 2 Coupon test results for STS304L base metal

Note: *means the coefficient of variation, which represents the ratio of the standard deviation to the mean.

Table 3 Test results
Table 4 Strength ratio according to welding length
Table 5 Comparison of design strength and test result