Skip to main navigation Skip to main content
  • E-Submission

JKSPE : Journal of the Korean Society for Precision Engineering

OPEN ACCESS
ABOUT
BROWSE ARTICLES
EDITORIAL POLICIES
FOR CONTRIBUTORS
REGULAR

극초음속 유도탄 열보호 설계를 위한 탄화성 페놀수지 복합재의 열분해 및 화학적 삭마 해석

Pyrolysis and Chemical Ablation Analysis of Hypersonic Missile for Thermal Protection Design Applying Charring Phenol Resin Composites

Journal of the Korean Society for Precision Engineering 2018;35(10):987-993.
Published online: October 1, 2018

1 LIG넥스원 유도무기연구소

1 PGM R&D Center, LIG Nex1 Co., Ltd. JFIFddDuckydqhttp://ns.adobe.com/xap/1.0/ Adobed     ! 1AQa"q 2#w8B36v7XRr$9bCt%u&Ws'(xy4T5fH  !1AQaq"2B Rbr#u67Ѳ3sTt5v8Sc$4ĂCÔ%UӅFV ?_Aנj- H>>,m*>fzp"TrKkr^r.|_&]|*vPuܶvoQ1mwVJUhu-I"=LniAƕ8"۲ k*ҿ[yu:.vUQ+)%F DHyVBk>Hy8jݹ q~9D4KRmzQ)^ʔ.J%k_tVi5NTjg!'ky|5asOȻ)R۸ߩFMԿ3L4j6dڜ#NIwUF]JqB/(FafJRzq3\G՛ ?~\ 6)6W4m[O^L0E&rRMض*C .]Unl-1 1r#Rj/&QɈ׉˩s6Rj=5Tg.y.·Pӡ:JJS:C8-2u]d&vUz;7p9 5VnL֢"y)">iי(IDDd| Yj0; LRfS:ktYK%*N2^m|&dğth":ey)uPQZW)gcC3Pv&MMWd&Ŵ۲mvTRoժM03*F3Yd6\8,\hݻ kߔi<k NTwSԪmljj[>->ptU%'LR>&EBH$MQAUx[$Z6vi&_a.KIQ{hyƒ j"JOC9eFҝfj;˚Ω<[3_m% lQ@4g=5$(J]Yc-OMq<Ǎ wSzڗ)k$7VIP붾ͯnV+卵*t]iЎD31~SA1éC2u)ʼnQn-Uoi3:grI8ؓWm*G zܕ)ZקJ}Y YlGeJ6cB2I NS3Q>k=KTBT]W6+SOXQgGR? telˊ%-Re\hѯ2TF"C/OJΩ6r[N.0{SpljjX1“jOsӥ;ҭhe}xu`Ք&.)yO̒ Fߑ.$Qw;9Iw2o+RVJMSOj[SoҌZ%;`d$blQ{Ro{Imڌ>3egf\O֝Uzx"䢸g+mv%Gʆ:|V[N'&ס-ޝ'kfE|K,G&˳98Juin/\\Qݿ̋v~Ǩ!rtWU d|E߫R4d}.qPw*Ӭv5YEcn~f5c%MTMkb-F>5JT,})QHg%{("ӔȸWMsYyWNRrkkJr0XドnͫT}r-jj,Ŕʍ\Q2Ri>v$5!]"JB2WɅ)]VԜUc8i|.jeRO6^V.¸ Q&#|ܶ-*uOG%JAtRZRr]FFG\۩w+?'zչSѧt jz>KW&ot{7P&2D;&\\>Q2JzܗAKSfeNn[jRrԕf6,q,F1tRfԗ>vֶևj-&R'Zi2=xv~Elbsvm8=ӛ"ū񕜈BȩlWau[]ٷBߨF~J!|Ipr3R̴#Yp)={7:G{+:\W}n|Q#%)7^-h"Ƒq:M*%J&$T軨I333׎g_- ucBwwjp[6i25$̏bU’ٱRv?G\~#Iͪb7<<}Ezt" q_Inw,7-d,G÷%T* Wg1"䥱kq/A.,_KhqŒxwvo u2ۥۧ.bQ}XκA$֣ +K״ZUNmڸII{.v{5z5ѮRme[moyƾd~cRݾK'j.\i&/S6f|b=5: p!6i_ 4j6=.si˧eƾtS^c.Y^RJVS-Vi3,esi08?H$GvZgg?gi䤟2adw릿:"۪lkSN>q-4kI܋ێe̊qۅgDoѨ9; #T.Q;7#~_Ufstb_'w~Xw1Xk,vcOt._}v}8"(4Z\ۘgk?J?bm_c!g{HZV]Fkk%~gEt)b秴vΰB|꽸}mp~E6ݹv;7P٤v+ri*3Ԣ|'O14_~7nP{7ZU\Vű[ +7󖱅o#:ǥŬ\|3r%TJX]V7ez¨Y]lc|O3V! R zbJ'PnGqVJ"19WVeOF埜EaEJωqCN5Z g-9[S<$sUK5b|7sn\7x qmv##FF\ w[=-43$^ooVSiXօv7iB۴yg>]Vf"r$J3""32!Zh[K%7GvNLs+4nB/B{vlsobJaҺJR:0g%&zR\ S3T[&ִor*ⷳc3ʊO[iozW٨%$gn:ܶWwFBԹjHP&z u&F2\f;ipW73 [; '_̽b;vib!oec dC-tS__$Xs]l9&z$2/N>%'[}b{h/{`{Ji׉׏ YJB/X%}.|+{(S:qz]4_Kѵo`^tY_4S#* ^zvݾMr+TrkQ g.8Ͽ^i>ӈǙvix>$o( ^qt*&t1oJVu-ql5U6jCЉmĻ*"?JT=K'O/|=Vo}l0b}}f?X[?/\JSBe,kP8ETJ==?.p5ފgbU9}ǶdNKk—_$8̸͓ۍ8Di\BԿ-1v{FF]|.^ۅ{vl12׏z7-R7wE?\nh\jN/Kձr_oBw"N QMBZqe-m:ӨSn6j4%!hQ;sv'm4kcM=!8\m[M4{SMliۇ%eֽR&N:{2A8)THLK3Zj[jPBx#BگMf:G1\`edcʮ?|w(-̮vXt,bW2;.ιNHRR#YwTM"<;mk\.foIDjmlJ;vxy7o7i\,KQŊ9d^Mmgc L*.T6tLeIuOH3SJQ3=F/ʿ<9\JM6mN6=<{xkP!F1QR[I$6ُimXu2An2yԒMU q f[IB-'䤯jYm52&JG\zд\~vdg QtHGXw&1Lw+nDEdC1w|YJmvP)HZ>i0BPβә?R:QO["]I_Jʏۍ>QKyu^bycBq4lXF~l [\*N>-J6,Gq(Zr5h]CwYӤU~ʶߑ u*SIv%ZfJ7)! FS*s_\|IŸZ)J ]ܜi4"z[+Z,MOZ))}|Ʀ(RUNIII.S'ˍO~˨rn}M)xxӕ0 eyҵ7YMAB]ӣU:/ѭ*6bcwP͵ "+qēVjŹO|GtY4V j[mLV M -m>",B$ GD1~j6O4|LxnNmqATNR3ε|DŽa[fmn-ڭ+FiK7Pcm;r5 l8r{#-]'nrFh2ruycb;pW=njRqRJ(d mnpckNnʹ+6]tz~E=ʕ l ZZ5jSi3#47.Lcfe`9؏v囜.F\-UZ:*0_<Νu9Lӵm&)_3\^ҹ3"1n1v_|uRʞͫr'iȧN_kH׺8xXrj=\МH)V\ˬ.Xʸ oVRC}ySU9/OBY먌5 ٿwޞ)rw8Ӫi5*5ZΗcGƱ !ZۄlmpjJ -l <R̵/JAպZuq\IdUS 48wXJJtcg4cI~aqߓwŷrm-v)G7yS^7H^-\mŌAq|"m9IBnF㏉9[N+mmy/!KKۉ%n +BdddfFF6FQRN-U5;Sv'm4kcM=Mn)\qιqUd9F%",6MGdT%-+~ f%+y֛^3SrF>6lc(֪vۊN;g._0Sѧ]ETWرkQKzGe9ʨsKA"yC y2\[5 rԭ7Gk5Mzw_4sM3hxЊ'oÍ5jsub )ͪ~tR2H]R͍>̋m6=%(˿(Wrr-܅y5(ܔJ޺YunW̹븹NsqK ]/QR#"ZMDfD|43Qw|._ԡSqTZBg??O Ϥ)/E_U|i}2 9Z?¹0:x'3,whǣ?C y-A~=daJј&M?D1_PS+Oi&;a @;Dž7[ zZC"bv:jjMQk$M RԸ3uA\=wI.AwC"^.{?-\NSiˏ"b}T/}q/ o.1M}R%:-ZniʒL$SgrBW*,Mw'N\ɇ{s\j]VryG'8f`}'N<*/`U숻z CwHq18J+vԕKss4R53/&XTt1bZƟo\=%nO)h$rBi-nKĪ^ ջڜlwkYm[̑+/QrZo%TQ;TLs($2C:s.%+eoNttq۰kK7O0m_t_pZ1SsSM7"mevFZ[w -FJ*T*jФQRg BSu|]g:ɵzjqwmltL.e3sRMچkSmjkmWœިm++¦'tILk*բQ D,PB\lI[9{%Gb R6öۍmX-MaʉA931cs..G4CujQտ[9 }G-xwl)IQz j Ó"rqe&=]꾧֎c)<kӳ+0JrRR3'TnXi^xMF Bު*tIL.[h"2"nKzZe'ZV/RrNYz]8죝n]Ķܩ>^Ժ]u-7^\mZjܣ9+Rmn ߑv?oꋘ?&ƪy^N4o=3-ؔ̿*`}V݁ ƒPu8%$ ݗ]wt;\y\>='OjPIp/nJU8{϶FNMsf"ίNqƹ(+ ݮF2Km |jܴZs%zf*eȫ?]4)I۵nR&FX + [jDh(#哑9q9Eծj8noǕZf\J-l&Z˫}`ӎhyrΉn\űn]9pʌӣ"׮Wt?N4_I_~54#/my1Xr*척aS#DT >q ssΛW;3oUaJSRMDgQnt:Ql,/ ܷfRqiM Ȼ>Cob;A>ڦWقM9X~/!'MW.}Vrߔꔵ!5|iB(0-zF=}okڢE$^wW~nokY߮\6՜̌{i-AF*9)\t9IV6۸5ZUF6R$ŨQIq砳YUZ]eyv >hI櫥N )&l JulwE1GDOuFN2| }馥uC1rޫV+^gdb&W[4<^e4YW,d|htͮsUM)۸8:{3d{AѢ)~ \#J=NdƮꮓ90 |1K$v*?мS ]i$J,C,SG?/_՜pMSƯM|mG1V1$~K>CSvkuj=&) -,yLjuFHK{c駗.SOua;BrSqj-ۍZ#'Jys7[g2z/.u4+XV2VQ.ޕ)$"(%)#Z7suZ%j }BǬݕe)Jvz8zJf:hIN|svO1O#IEcۍjݽ:SdὮvu^@:o^5cs>i/VqmVm]ؔܢn6'vޑ̗J4Wn@OlKbX ;n:hgJ9ŻyǑz8f܌q&Y fN0N;[69 rbׅC2/#kE l&2~èMR.*%g=Ft.%؝e8<.e=Uv{~㻏"EˑnvDѭ͜Lu3u0:U֝$[M5<:oi+V4V9 6nXvx&_ q Qqw3W:uϔ2yb/(ɳ|5zQiJ#r|Hw#.W?4aDŲ\ugWG;Cw鐢K|xg)##=O.dF˟jMUvWĻsr.z]kPc9"]R)mkfOd*uYf١RsB Aîh=k]ʳUrrZsq`d#r$/Ը3o^&lRWȍyuW̦Y4QDUMJ65ƒ[+ygk XK_±k#y:8(TJOSQhJt2.DR}"5[) r)6V6u5k:eXZmv𭤔!푊Q[qQ}ҹLE- 8qIZG|UM4j}Mܕ[Vwm{} Naqµ"ԈM zOpKѰ?IAD3Ir0'/q1itoB5{%wkOBn-ۜduqIzYK60{+DʕܞqIt";r1mG/\/ym[6JƫR \L=S=OT@Ix[TMm{>ݾտ֒ݸӉLYIx>+"JVNzx||5rI?C{oz8۹e\R-^\A2F R+N9 vlT]"ۭ d)t֞i #E2jB@׵=#/N+!ĕhx}I!cM`ąZ*ŻɄҒ߮Y.Z}='/oۙ3IpW̮hT7cTSuz9>B}΄&h!>lӵn~j˅IvU.'v'CSZw8QK3G> ,J59ٷ+HSg䧎hJdzvwv-cvxS5[̊n~ؿ%ַX?O0\6ne 6kn9.ϯ} *h 8_QhLݣ7q +=XBҲ5?[[)+F`=4 }B,sNg==u*Nj9k_GJ)+R~GSPBȒZ:(K]heL=vKPӢwq(NrG^ثϣ?#tC?.ͼ[ۅo؞y#%ǛjVyLSw%T*s92JTM%"YkQО.q)gCͲn8cgi6j1MѾ[{9h^vƘǚםidfi.^RHmg&rׇz:}݃}xT$ضk'5s-狶,\vpbPD،=Okf.c#cdz2FK5T!&)|ntD<+OŹU i-G[EE*FDfeaf2QƤM\UG_{ǹm%\yrGy:.\4wjPGUJޕUV7Do\7Vy_13w;[?c]H\$IJ,*L]3b%L{y.JRKG2sq,B6T}(#nW|km+q5] r㪍bJ@y{byz,b踊3ϻJ,'^xd،)JVw#.Vټc''ÝպWtbRؒJz۠8!o9IۄS95E9ؔ-e9JR{dmnッ<[~n${~Њ$W?&ՐY_? #a.ߑv?oꋘ?&ơ|y^N4o=3t=~7!/M3>n8W홎2M`Qx+ z qy8%]7_~540ۦ彷]Wq CѡwkďyF5Dum_}~P(5.(X,K9vᯐ?leB9;Jhm#3{CxGE-S{;@Fz˙]=O'!ɿ]' r`:7'2bЖ>Iy,/eTy/V<.H?UYY{\^#ѣr9^7?xoRȆ7EoS_&??zϾM?(~Q-K&>"~aߨ t7Emsϛ+?;fCr)fY+>z$tIkjn_>vnrֳki-˹l= t;'EyC¥|/BLwBJdgjۛ$s S1|ɍV%JI6KvəhzIlBYɒ|0"Sy0F>eo5W)O+X˻u';v)2vVq۳kۮws?UʑBǴYO漪e2MIjPAک\b1)DDؚKm6ZWΨgȕ۶yjڳ 2ضN[C[|r@9Jfo<_eI7q.|cÊV߷:i.:$ȋ)1%%)ADZCEBxJ0MJۥy(bNsKM9k43IwNt.\%N簤I'.j|ƃ2$grBEٌ\}9:v*!n7M(ɽ]7c@XxƱԨ37īf62cTTfFK]9wntQHͮvٱI/f|j=7}\_V5U^+:uljSȃY(XI.ȱmo1甅jڎIZ2>#\*:gY|4k\8ZwSqtyA!+];бޞKծË¥e)#5ap.QK^8VdU{*ѽL\=qmjnB5>{ Ӟ`v±5 ^k&O~Oshɷ,;6nOW>u6{RqS`)S%jp\ipdEBLfTWy$GIYw~䲭J.1vSY5z.V>^+Ǎvc.I[R{QsNR3ӎfhd>y?UJ*}~[e\i5U^͛E]G_FS(Iɿ]i8:4zj~շsW,ˆsy:%O}iur]iF5~3M:Ӟ#N06)4ߧgdawIotiz:1r5YDZLHBSi;NQc44la=Y kQIT*ըl:tq2(է9VO4뒳܂~2rq'nrVZŦ[t7\oլfb/mlpc.I8콚q^1iE~䰳mi[dۧw֤ICfdFeCsg:i| 6擣׋* 96lust^{%99UNRvaMܽo ammi$em4D6DD\nA%$$#}۷/ݕr99JMն[oT޲E"KTaP+HGkŴj5TM5xƱOS-k`ۛkٝWz;{kS}F;~q|~^_|euwnE'pSupUP)V]vE+t =ZRaVdG6= *.ϼnj9:UɷbېmF_tޫgHjVS'śǕًdkkѻ_]Kv?nT>)^e=Ar1'3ԔILyD?:-^in):{7.؂\.:V }#뺾.3r̸*xbFM aȵz 6SQ:ײj[ 8nn iFMw rR"5M5I旘35f^j='j:nNW.ʭocZvZKV^ɚJ.cM1ZI7E'6rg탸5oZ=[m Z`\hbMUR١Ȗĉ):Jin!_7Dй+f̷eKҷvͨBPR(V`y6tw*MRΝcB.ڭTnc;P$8nFvm4(D(R#R-L -2:FP lxZKQc6I("Km%$E, 78uXIFA$RQI$JbInG]c[ֹ:ZM+n^')JmJMJRu{e)7jQDw~%yQl}BZujSSf۩QZ+Dzhd5o%BIc'GZ?}΍:>Ɵivז-%݌J5MqGWTVʦh݇ܟ~Օ_6 n'{3~mϬj'J11OȻn߃r Qr\3y٘+WӍ'WxEs^O3 o~[|7>]]H9݇ZomT@]?5B:Z߂'`V_+/MSKX߆ޠk3?o7y:4R/7þ] iG߬aBRU&?r&/} cQߥGj2?C5Yśe7hU=?+ x龳f-܈czW^7p%-(\D4h{UK&ӡn^m]Fݢ:`δvj俜F+) y[{{ 7 tu>gvrěOj'5 iRg[ͶFjGe n~qT$ci ۚ0oԹc*jL[sVWqj\ݻ&6"WoK:cnWmrv)o>66(F>=W^bf#c zzʞtپy%mՉPël e}J.\Zk4ttt>oEM=q)hJjI=ͥ(%]脼_88ф;͛gWG;Cw~˘$4=uWdĜTثNDkiQL9U*O"4XP`02,Ge-k5$h>ܼ]3vr6!9RQPIVSnM(ۓ{>;/Qͱv{3&-[rc)ܚI$n{Sv3[j00)-D3z}MRzVQпj,T[uVs0\}Sid;r(ݝJ>æʺL&c[jPK0~d(FKÝW\m]GTcF|Iׁ)I3~#oX%vҦEݑؼ5Żv2qAZTE^..M{ʐfȏ2##.R}*KʛZz^ӞN*lPťLf\G6[WVQquV]XAi)5J!,$iJ6o$tPZc;Kjx_n3`qIelV~vLy{fn匋Ѿn%;zV.n'-ұdd2߽1bZksPe3TI9)$ԩIN9Vơ\=2885N\ p)/a柛w9g_lױo8ݷ iixJV& ғRi{N^_oAŮE6Y7I$Nk$|Q)-*4Z)^¸%4Qm [I%.c-OV+C֧R#%ѨCe3i;w$G+_dy| Fzj$DI(=OA gj%v/]8qԯNIS*֩',Q%\44ZZ%D|Ǧʴ6&vֵI$%8(ԬƾS&#Z. }6z?b/|Jl{ץv&mpx4Z$”ڝ4-H%dGKfM:sKSRWeJAn]>s6应-W9'H]'uȫYvgK^\czp|My\鏩w/ËQ.)]\QiS`8uL뚛̸=J"ܻi\å'-)54Ue]:K\퓡vK xwBqrH\*֕TnzC.mT=t-H]SČ~Nu╏NÅ3f|͡G~B+Xm[Q7U{9"~jgK Zoʰ7"qJ,ekSeNGgϳ] ^.6:s}_,%eRg<5⿨z{ZPun#jRІ.6g T.!]xa c#jN$Zpl̋H WZu8WmMRýsĮ?Mco~sx TU҆Q :KDG4n42.<3/'^?6/ܠڒ^yrrÿr2\D}}B]^E~^T cɛ7϶Y[<֞[7d}2%QPqOLEQR\CIsj1?\}%tJ0e~ *sk"*)&ۓEi#{1J8Hrt|'ܝRr8)=ƔN'RVz:cf]F7bZyZUȘ4x8,#JG̒?.W9XnO]KO]%]ƻ O5Γ/3qÓj؍/r̺rƵ 5\&m6h.xoeX[=<3%< lZ"2h\Z[&jW3ejm?k&[]ųj+{N{66leu_+lj]q* 7g*knأYv= q ەdxЬZ|%GUrQ3jLŒqET]1% qkXYūYc[7Ś]QY\jko\</Lc7+'hMSUc6qXyؙ~6#ѯv.0$BQi5YyIhɍiy=KD!n3Vm[V%W-B%swa97ajۗ m+9~]fKq|Ddaˑ0A]_v޺mM5* F-BYHJ5}q>ʉ.6hyDmpD׬'-_v5;5[8K[viJ.3dR:oYHHh9I7:۽fi+wm^ [)odPѱ52CZUJicSw\&_s0uBȍh32džzQflcd^m|7GѹE!fO5]]H9݇ZomT@]?5B:Z߂'`V_+/MSKX߆ޠk3?o7y:4R/7þ] iG߬aBRU&?r&/} cQߥGj2?C5Yśe7hU=?+ x龳f-܈czW^7p%5|Y:SJE\U-(a_cƣUǽXXKiȞNlmۊڭڄR!**ܤMeȽ$|X5(Ź\rJ~ܮ]>'HB0cp XFr_c?f?7<ukSgov¥iG>>䙗i.+t+bOjIܶ . i^:nm}s}(3>NZ$2Qg([".>i.ƾ)B̋M8+"- >eE6DݥJnJˣt׻ 5.˅nJGwZD~!i۶a,Db3ZQ3O#KO5/֍ozuK'GbRi᝘NV_ҝcvם ZoX}F6z 7e5_e:ۓj=AB+iܔERadMBq*ԯ DwI/Gy*mĥiRKg6skY/#SN4e$-yXM YL?^ĸNNӪ{$r1JJRSLO]Aqm>V/s[~i/j+m>z}eI"Qvp]{ZԼ:{vPAG2=T͡@ڐ#u"E*>C;o$~C#_d/HBq^YRٽzIKbOm\~żjFFGdiQ(*/i*#.FF]©m=BmpQQQSP&Ҫ!T&^>:y)$ˑÐFčI Bӡ-t!bM WҦŶ'UZ=}zvn~oT/\ǒ'nr8 AJIӆz<^uߖ4eFC1i+v!3qNyߕni?4JZlmYFXFۼO0B\m[ tʄU3s"Sr(NJ;SKW72L4̏BVdf^Ҹj\]ȱ۪(ӷm?J-KEmWڽ^4<8qu%9pŹW~877ܾeVгS(յe^C]yX͹! םm4FGȋ\y'Z FX7e)|Gjt߹#gb\ŧq_([R8[qU$Z (ʻezV2V!iQ,i$JE˂٩ a(GK'O{vnBvryRd-RK4=qxZJMl_CuuIz @Rt㮽޳!|68\-l[џ84-2Pu" RJ_^OL>G1~XnBŬw6J0*Uvlږ1N G1q9IUm*'oWu][&UyYZbBZRZNfEJf"+2nF~Eû7n1xv.RUM$6 lAxSQJ&n5ܞwlEói"#>4׿Q.nEq7Oko[1wg8ZQwZYiqtm&~">Bo?w͡ni2峋NCEy Ҕ+%ZJ ʩq*fpˤl,~^Mχk1+:ݕ z&Y`KLӪУDr3[*Z :(SL&ݻ۬Vqsyԭs x|iI߽zZrg.:mp%6ԜvgmpIUt;QbS.Է) ǨKSV,*lڌ|5Jt3#NP.=+OZ~/G سIgbꥹJnl_DUM\iM!֔wVZuԺ,yV.Q>f v:݇WiaŸN5Ҕ[M7SsrvǣrMW= \8ZW-jsnڕ.ZnF2qt ً[ٻޘY۷Zm"Jxr&NAfA-݌to9s359݆mZ+N1-qS$D=17 x׵+%_ ve4ir6Z$FDڗnFtOr'7'{9C˨ꤡaYoace{Refnft RR"4%ʌm:Sj3)OdInTO>X'vxV#jܮw9Fog;5.~Y5\~18YQܹvj4+~t7S ﬕs %^۵ڴDZV69R^Y+rj$ԇoJKR5wB9C>Y:l+EǎS{ʲ{T6Wi* ^^9k/y/Cs\g*qڵgn4T8mERr|Ti+iPe;;.i\EBEJ 丬i9ɧM-ԼsGDrZ>r#R>~X9y4b棇9JwV۔%m(b[Tjvl}۩~nDԺ{Zo-YuK1vx.nWuO+jN [ٮ0%"΢CdTJK-RަH"$I(*ve &҉FzB,_Vpqp9m8werv')E;o&QE׵^d9˦j\_,ڵugZȻ̧8k+jK{wmr@3ӭ2 wFkzFVqs1؛.v'I%$[iT]D5Dl2 nk7qUxԫLS+sا3/ΖeZYK<["%-g/kRs:f3;*E ت wJ%)5&+&rw*霣i|sMҴ|;R+fm䡩.!**dӶ-6s6,]zAXMWjmnz%SJߴm2UXw7MQ%<!tKys#P,W>s;3IYwx<+i_\\\U6 u7P|xbn_k&ӓVOe䦒 VUr,-㘘"-LZeOSҠթrEvq8Kf%5%&K"#%vD/.ZYYŏ+p$nZkvއuW9㓱Z G wYIFyf)?ƎUm5ԉ/'k84{KO:rQI}XRuԪ|*lu)3qZ[mSm5R3".Xcَ5c®ࢫI*۳~wRϿQWޝ(EJrri&ۥ^ʶ齲Im|[yb;mnm֩uiܘq>E+Ikx߄3r33-5𹻖09ϖ9[Tz~mr5NsWl$oPusޛ^{Z;);sڹf\3oٹZmԉ/'k84{NO:rQIBø8Bݱ3n֤DiK4u& ofSȒܩx<˘|N0Fչ]qsp"}! QWw@t4ӭ+cO5%]'*{eM߲DRO1y*q8w++e!c߶ܪlZWّM欼 CQ̼빶lX{vib/V/ ai;x6~]+z]MWB>re-:lgk}պ!#9?%܋V-c[z!W?c7YNm/jRr[HOzԻefճ0q15Zp#rkQQ0tU-AmڵP/cȕ?0cZYj;:0ZM=D6g ?'UN+ձ[K ܖB2'xq9{|۫N0ku 7xaj;n\ 2[VznMlWiKbSk))f..)Km)&bGZ=>OR܍W:j'rM'wYz&/鶧{Sʵb"vջq[I-ՌZH._x*BagC'T(Q:$ͳQcMCKy?3g'ߝqnT);qs #ؤZ}OOI:cfnc8W~qy.;^pVl]Hԓ>^H^@7-AA܃nmL(uWܻS߿ Td95Bdh4t6*dDh!EhI[iŨ\L.&Nc ܮf^;$R)\rip9I|ٺ?#R.ZDZ;/]nݻqs\QE9M&Bd ]N mN*D>tgbK>+ˏ.!23]BȔR1ɝ^j'k2ƮqBQq[$di]icV/e`޵B.FIIJqbi>Ӥ|p; 6${)RU>_e}^dzdfzi %ekRVUS?6'hׂ)5.\+qUgzE2C˷ecŏ^֔ibk shesFWJ#~> Wk~ݨ}ڶ>ơǚ)׽ZƉo~B-ڼrvoE:Ʃ3ۣK7+Y`WirS):{>ڛ}:wԨ(J_";6R%[u&ƫdZ_\'np| RJwNeTW,=rrbnkڄ[M3ܴz)3- R.?:okۼ0TU'w{6&w7j1z3ON'fGoO?)S_bQ_¿R(^ԴԴG.EtMڇ&RUiW uQjU> Kiu1d<ѥIQ'RQ1:O/lŗᏩiʂv&Jc{D5 Tt)1.n[n۶X}RjqnOʽ(~[Ns{ސ⛌uO,kgo֢dRNQȄ .'6W!׌P朼tdZjFGE"]K@'i۪N;sI[{SOzk>`rRR+!σj8&TjlvA̷Q?HyjyLHNտJMjܶT۽lG?SnKN%<‘ nq[N0Sq[Ta(&t(|HGO~gvkݻTR4&Z$#ViOY1r$6YF?e4U/Mvxų:zbU^gQQ+NW_'4jfz^c'#`rvrڡ(IJ/J ݦ6 ]-CW |_{v*_q3^DZ}Ic6Uڌ8p7{crZq5ki`)mU6|-Z5^iEz3P=:Cu7DF'k%}<C-޹ֲ̱#\,(f88%X-N(ck0VLR~} G"-8ӏ/ϰKq?(#nrVTmZ;zióM4 m |UT'C^_1X.gXM{%ʤd 4\ovN":"y-,T)fLQgۢr=/CƹǨJVr[a+!rT|%Y\ٱzsS>jͱ.oOc6f$q% ǒGo;n[];ߎjrk{~\VۓNIGn:iqxo |~t5)Rxעri{Vi&NUOl_ѮMfsޕkЄay.0P{7N((BaIP$ K"U6Gl ݙqJRu+qN$ m#*p<|{:>-Ev=86N*MM긭U*uѾ?/^o7;'u,h4݌xښRM:5.(/ \իU.{F^rmF-Jɷ.>Q"[4xT^OZ~mK}T0ݛ^SAo9u?lX(' qj%=X}"^e4wˠ|rܫ 6I\Ķ;Ӻw!'ڍWg{ i U_9Avhۣƾ+:vs/MK[ɭīe{`Zgb}r[i'GE2J7Nez579wRq+Un ]J.cJ4M:h箽Wxxm^ pc\wcN%'My $$| :$Fqɏ¾^қP9J6Wxvu}ݵP>Z'FFdg"-; [¢cmWkÎT8nG%ݣ7*\խCLRYZͤiD&J#'ehbSyXK|y*ӞpS̍R`[pTr/Eg)K+92{_ n3zwz'oŸۤ+sOj J:`T>Cf*lwd\fYOP"R E֢̔L4ɥ :;.b(B02rJ蠟9>V'9M%)IqnhP<%,r'P/vNSwr#w"ݨaqc(|{kd=^0jTMR2ULNz|.<|^PfY22##!,K~E BEJۜ&jRNsHަޛg\r,v؜.jK3)[EJ2ii{KEiHP^&]Gn8x=K}Wx/KI9-ϵwQ%spܾ[^R}S3$qvq8M[ ozKxcqmJ/ӿ{_}7&ݨ\f6ZSyQz& 7ۉ[8~UNn|nkiTB+4RI8'Nc%tn{!]Ȋo.nEmʱn𵵥J A+wy#+ikǒڂ;՛s85'KmE:Ђu""Iģ5p=БbTY-ͽڔ詻ngL2Q}$de# fs^o{DUUsfwӶ;s1T,ǤtޒQ\෼J=.tKU,7čJ5 N$y3kdSMQU~mO[03 $zAڟsF5^뜞"Կ QHmrR"ӳηer+ҔZ]hE-6Jmt'ޒ=O[sQj)6K}?e4v_KfZheޓ=BV[bY}lݒTTЬ{ȫvO_qpRApVŗ 6ju=*BR)g "O1yhb=tqJ gtm\b3RY+JQ^Ō֍\յ\>+uSi{=x ^w;uӘ#ĸzLn*$anok߷CBӷ}5Yqvdž<( "_OWit5:EZj2 B ρ1̊fi[n!HQF82q1牙nqnEpT(2RMoM4ϳOu ':֧_Xjsg jP^(ڙ{2%E͖j^}ZU[Q$'U) <܂%!s"m R'G5M0<+zM6qYm$ڕ$3ǧH]?o2N<8F1̻r_my[Rf59NjpzBnl7*{.QP 3N&^BLJPjAHCK2Q}$#~YMq8 k(MFMU)8MEqTy+Tʞ-ar5yܕOXw!e;q-Jqܶ䓊Y:LC UE{/t>r"lI9)3KJjϤA 6SEE$d߇3KG*En|P\ԭTn6I-ƍKTj<1H_zwGr19wF N8ݝ+a9ɫM6mhePi%mmD! """"""*1bRKrD"vnrM۫mmĽm]ӡiG~e"˩ lhRTMk^MX["Jݱk7_ޕ*DqĒ&flՒ}`W}~SմZ{ĕ~wm*/{{ѹ_-0ط#P]xlڱ~Tn5wi*lڪ (JxioϏbqKYR|!|KN53 OS222$jzww%i}>N)E+rۥ7c$Ofl/LNث\6H9: FY󡈾I)fB֔JI_ ֣^: 9mY{66㒢7Uj]:.-os[R&gMF3˸#໹kmjq^8W"PΦURjʄWa˧T!͋ lW48JB2ko+ /Nw QwQzQ ے%$ޓ7^YL|r7!v%Trܥ &|M8~ybrn[RV gSn{{*#2#ԽᢏӴHak" ӌcwҜw&RJ07ױ>Ļ =^ BɆ)v32.M1=#6%̠tҤnzqMwԣ~s*%-j|_m*.Yx9Sz=)qE4 3pk+,`=kNRڥ=B=nŔNAx)Q$ԩȧ4z3t#Z2lҮYn$S%y- JzGpu|LBV7ZW#;Wwipܷ%(6jFG5#{$D"uۭ~]֫SrD܃fҎӾ+Tu>-ZTQ& N|$沸ii>eRWݳu'[O̻j8JۻEѩ[]vni= ڒ,[_%kC7I3Nv$4ɎЈeٸoUu:[}Do5|zNq=Tre%ɧ6&~DȍF]ƞG5q m]/w/ \ʲr8=oʔe9U(W"|S]uZd#?Se[W"ֿh][-7Nu:T=)R}.;ml*5Dlf $fF(̏T hiIUU4Szɕ t(%_|2 ~6eM;TƗK[f&]LK^CE2[ȏBOd;Mi|cx,^6;sیGpQ\NuJIFTJ~đArh* B"$H쉩eXPRj?sl"ԥ)su]xpԴY%VESH"ЋJǰ K&5^Ukzׄ8kEgS2h&Se\ Yl]WҶp-ZUvi7QS:4byqOo+[̺腋[6-_Fo.6[7$p&^ _GZԸߍkc.qqoI[9m߸YxOZЦ1uoiSH)P9Uʄjcq= S>֙NeR><;+ڌk%_qT].srNO?s[=vH[]RZHRMtᩗVؾ:/~u)ԍdg%=edVrISb{6vSu=(ܥ)mTv/J}̇8 S3ad:^hBSf؉OɔLhI_1d8,L><_A0y3rXq"'(۱;mFNII.v5_(^q~X>y{3צ I*Vܛv/jW' T'NR'j%ꔩ:mJ3SB}΋!-H-RJBТQoedi9tjENenPpke.%4]#{:>mkEɱdYWl\\\'nRM4&U>?Ќˉk÷!𴪛]]5}UqG~ݏI"O~s6(Ļ)qO~h}uԕd}Q~G,oE!&G&/]_H-O=o{k\̭bkv.Ô܈+;arZx)m?M\3lU$mk-CFXjTv6u' g:Vn_*qk:VC A%'4JV%EY)#BғO4<e׿jQQ]yUr4=wm[K1r׵%Iũ-O}|kC;/VcݩWZ)EHdžTru]8hgĵ-;=>U_ InvTm_jBM+QiF"9*{DI/iuo(=TzϖmPQl_v4z>T*ȴ>YF;ε\t]EH4ꌇ[VrLzef 2T^V>g2~kg5~Nק;{~Z~W}&ŒBӿS2$J?~(Yœ"˲ߩ\O]: J׉ښT{mmIѩn3˧)4LdFZ/zUG>U> n 5& ϴ-KJi2o]uKljvK3$bԔҚV旧iY5.ίfi96v7!v))FJM4{jG~Jt/lUE%pTAFe4qQk\ve۽/u/Im+W')v{\-E|Pms7߮DZRr۞/mu*1ՙaB܆ -xg3#6ۥtRogʌU)׎]ZҞNnŞr}F1Nnޞ;cZ{N}ۿMiuxʉ*3qi'9KHQ$WJxXyرŔe~[v5~/jN9Q4o6rJv FrdxM*iRjMzUinHdн7ᾞS=S'7 } ̽zt7K|_g J=Lq+/Bw_\ۧx\HJUPzQ<hqF[V0x==CsU7q|^ {)Iq38$_A(VgcKu06Ƅ"%i~_ˉk QCܣB8Ku/񋇵u([w}$F|8TՠI.E !;RJ^}MɒD_q2];Ɖ{5}*n7nEInO{Mwv}&q+v [V}Ĝ@%>#dXQ$f;iep.GquixVt x6bj͵mlKقQ[T]zs/&yەnM'W}!Fp_d^Tu N{ɻ'l{խ2.sTu{W^H&;1s)Pӛ6>$mě;Łnj= fLT)>׸+qReɴ[UR\L*P/!$Ӊ3Q 'K=m~6XqW3^W+ųO_[F$rR*u"T%@O +%# ]˽!aܽz{ͷvQh쩎]hGތ5ɇ*DzJDRNLi 4:{~2FmXY-zzĽ^f=]uū{/+&c:Ma{ĝDp2m܍kHș/(--m_vݮK(V{R}.k&yƴ7i^4@3f sK3^Ř˸B=]?gt5KbZB<e;kQLpxuWC}n 5ҴepB##~q= `x]KWF {GfŲ}?G.I9pjWkU]>={7q{kO/^I3==f1ɏ%nnʫ/Zu_yXN<57ۍ'vy/"8넭M2eԷ&Y,в33%IkjMr7xf nmQkX4踼>a-GcIeތw&U=-:qnW)z¥j :WqSZvԒ#j"KrIU)%qrmRoDGQ~SYRsu*V)  ,/x)MFD6O#]z 96[Ui(JRfw'y$GeUީkdMF-ݻ98F2d[o{Rn0n-xsV6Dh|Eb2E:KCOӪv4SJCr"J!!m,hRLD| ZYFm/X~ΧfrN&4Ƒ=Z9Mh.Mܵw/BdrܥniŪ8ɧ|y%œ[M=_tj?F!z5\evM:\ ~F-sg钬OWq“iiȍ<Gi%%n2rqͻllƑ)okw7}\Uk-:&fj솘XerV9yZuʼşdFC=rmo%~ZN78X(N)_7.Εn1MpJ}62jjJdI";R5&iLԸc:jmqiQj$ujp\{;v5B񥍪Xn Ą4qOERjzN(Ga٠䌡)p*v(J7#ZۻZ8O W uONb+^Qipv9GvֽƼϯrYƖKGJQDNPhRJjᡧC"21"9ѓS1;R_O7/WGz)8fE%F2ukmvSov/iZ&/]~KmI[:^~ͤ\kMi稜\ywJt3W7 8Ʒ~ݥeFgѼw"8VVSج\뻆}ݭ/J6Q)d|)zU3>k\L=;ow֯gN3pKѫ|wmkZ$z^2R:E)f>ς нd|#׆?\ǔpV{;\$ƵE%-ͪm0S6[n< kE[}mvE4DDZ^$OZ0*$~XUv҅B@^?]so#%ojw;Y#SxxueBگy v^i-)s)zV jC{7Gt.w3v,ygg8s]aE_,*E tY5k٨h=o"m泏:\6w噓aiL׎n^c\75AGkЯ0Lf46َ`egZ˓p/k;̛]kq!ݸzpԭG"}R9Ve>ˏHUjJ-&7nrnwG*Xv\˱/vN}O)ʼn&CV͍f̵]r\PMB-6Du-#RͰtRN^)mT _}nSȕC*_xBuTkJW[`ɩ`ejvsngP ڻ.-WUtܑqԹQj)t;vN&RNũT+8%IXӃ5fK՛-d9 ]CƑm|nZ-6=Hz,*aEm W3VzRšdY~Xf׀Xx"]s;)5u*ُHB BRGS6bݶؿ 9j[1*jױga7oX CUI%0v#~\-O-Ꙛuɷ쏪&5mY٦M`LJ2qK~HZbr =N'YobI. (^ ׾{_ ?OJ`S`3BN[}5w6:ǵ/iSlt=4F*d&T4y/#. ɵim5Uֲf 眕6Y7 fơ=3dϕq뚩$qTM-%r!$@A? ޾V0c~{[{;򥧅a~ڵ»&ڄv1ek=wb MLkNAԬw-x>~/r=e73VeVN)K%Sښe"+3uXuچrn ֺVzscJ峻m}vb㶓n\YbIUBT%*,0nov=;z꣓S/nSXSpl##k9mXGrZv^Gde!ŷRԠzQyjC]`gToPov{j~KRBMY}i[߶9KL2ԉO0K#m>wB[ٍ+n[[b٦DX ݲpo] [\m5qdT()mo4Oy9Ie b][wղmM~vmi۱~t \}$яimRk(L c Cvk7r9_r1 ;zv|F@KyZ[&jEji/"6$69ml#e]9s\{ScL}Ȣؿ0q/nZ*t,CLoD߉Njǚy=Pgmu6^]l-["çUʖMlʍp-"qmU>۷uFOJ%Ǔkx 'g=睋k[3u,{³WɘݪF]ՍeFX"Oy\,cچ=w/gn Ļ]#2? vqy-gXnR.^}ݺFs{ŝG]}e|#0mjx"ƬWكm?rgU^xVB":Dt>@LRbun~ݭ,w+v⪕;\U(RYa61>#Jm˞Μ9g9XKaG='u8gf}'qy#ɉw J]We.ʲ-<+&q%s?2dњztҼn`cΤmmqMdz O[-ߩӲ&;[tmܝVnr">{x<8U+p:Ig]zjGkt,uzf}dؠoJaکqEq -(:d<պ=eKy[˗^%ZXkX[C2߱\ITTLGzANM￵i]K>UsOGDDD.ZF6* ҃V Zhz{'xp^`wo8r0h ZmJ5"jb[l=yUu7-;7IT%:jFjߖm0tzU'K)څNۧYJ)4IQ}^KWm7kSP>q;ނ#)'n7&׊r?óM{IwR\j2Qn[v pe#/tAF\ϵ225q֒om6z})6҅*oqDsMf CNIN=T S2t,_ѧ}kveMF0J\Rnnݙܹy[rUc-j{yGtkQ%s]5qB.Nw.JN1LvR Ui5J ZESQԙr):MJ+g}χ!2;q([jAud][ljVK3$ײSJI=/|&tl'*n۽f.frܥ jQO8>&Z];.|7T/C}$ڋUmP2Reҭ8hFF\L 3~e v\۫]ݝNmrnB%*]Z«hKc=BTLG :V74$=Ǘy+EX'4tn(I:Ѝ;Df8c,k1%dJ6.j6ź{N~l6&*fœI7 WAlGOu-ҢH,,(ǔe뿋쩨kM܍ZſgRvQ' 9)?n|er˭|I|-fGK.rΛp8XV1%K6mvG+tc+qE&ǸC_Nm:l=_/m5^[dߌڇ.c<%:)tQ$Ow~-aY;UJ>=F)2[nk؆?훐M=l6[4(O.]2#-H^n#->&mp5~Fӛ+|| S,xag%qkEUzUgæBhߕP(7]kFnq?֖CpruZ6*rEڊtS|*tI*E}7R<,nUU֫^I7Q*mSly%rdȓd8hE<9oHhMfNSRj[i7D[Rj݊+kდq{"$$H?p\̅S?㭻;t~R߁)^/>Qj`yt[w ԛ;²~+ߔ_ YW~|o]?x^ᯛ `ʼn;g)T@vWn]>&4lp+$D̢1l|ȨF%-}.9[}w~ ԠLM9hСablfe&QoW!s?wjLK?s7yO>(=C~_nyǜu?v3vyo oI@qV-jeES^[9WoSܝh"l2C1a͔CiJ@3:Pճw=/7ovuk+\V;lDgն<[A+rX~d;m!_s8ݖ׷;;.0llUC+?i#_crʙ1~C.\–q ul8Hܶ2m`ܻM3Tov|Bs rɵ"oLS- DКw=Tv@f'6|YlD͓Y%׵-#Ѯo%:&!3o%\J<02;K87>^vgƓ# ;ݝmz^Y6=PS39U%~ &f# }o!muH;ʲŇ˷yvP+&.7e[3'vR4Yj̗IZ`e˽3o[WU{ m[sUbۋZǾۆl6~9'V*.\S2<Sd*zY[aŶ`]C$n.v^Ʌ dng>ەZ,Mmϑ :n6nϦezWqUJ4! ۇ4R! =>>Fn|Q[{pRO17ƕ~._I''00k=b՛o}Osðc2'o\3}ݭQ^2 . R1yKȣtAݿ-uܾw!`?1Whn|gzUo[ECWwjUIן)^h#1ɭ!/Z np;o;ΗŻkXs."6E`Z1 עӐ9Kl8qd q} 2Stt;#j>;խabONŗ=fwP1j)l6J̶|gV2`y/0E˛6+ԫ1? 6}KW c\KoKͨ2ۅFw–s*TԞLיuDx .kCzWXhy۶gLu|%TnupǺl-S* PRaLnT+c+*xl.v!.U=|; !_L̎뱚U=4hm:ٯ"y)$:>%(n}X'p[ȴ ^˒4kƓmzDx \ 'NqamP7nyN݅=j7%McSڵj%STy qXymvCg{w/w=wSW5r̹u erծˊsOm=DhEҚRb#n)QOxtվQwe]I}wCa'"[ۂ-z}2UuKP$㜉ԧ:mc<Ý>RoL?wu|%ҷ&K y_!y9 ??:tq3(UU-lkS'ɸ@jdzQˬR] EVPW1DJq2n:,c|ǻ̑;y{X,ۂ.u.b˕u.tKBjQ"[S園S`ٮdNبeJ&9Ơ ~0a(Vm٘L+Jr*vڑE( x0+tp˕ n';wm-ޜMOxX>{#2%jgb2M[`K*\5@8l'e=0u+w ֘鳾{y܀:R*Ya]"Ӧ%ktynlۣ65,3gU}{GYrb;ge'TKwǘ.,rpܚV]Tr,!dp /ԺU,xՉ>s׽~W5oTh yx?xrrx?)?ilbT׬,z$Ԏ.UH٠\U1pU:]JwSrGZq8àd驐,N67QYBӢD㏙W!Q25ϸo9ms-7-%3CihO.J鯽-;MZM8ku-7k9S$8]q2E(}bۏI[DKOK}3KUB^u %Y,u.-&f#]'܆o$x`Yu,dzwM;#oKxn;\[d7}Rb+*Y䛂ZuBӱl{j0O̓}LhK;[aֶaGL{Cb#S.T[>߃F]NK"u^LUʐ_ykW?!GRj29͖qa'0[npcDvV)qz9R)PۨM^aJx W] r>];eN3vxdmĘ(5W2K1䪖weF{mE/QP6\u54x5[hۮ-Nk”i[lUgL]J}5 S:EhiUrgHl!ŒJ$pe=q^b͵Q' ?6|R\,JA ڵ"TDꈭ:ymg`B5t%M] <N_zv2_Ortٵ/i/ReӮ*7[qүqEG* m"[I:6e^p"I$jԴęh!m)]GZkcjS!{e^z}+Cѥ9;R|/ֱeiUԏCNu2Zhcٗg$ݭwvr P8*7/Lk~I'Km1+MW%Bk|oOm>-#qj*|Dbѱkn|n{v#jĮqNpMIUm(7Liz;{ҜݞڝVƚVϬ+sO!OstGvxӉ']uӎ4g_ 1^-8ۦ k!)Ύ5O;YSB#2Zzχ;<.ֵOtge~.(RC#wFZeGZٸ6FFJ4e2ˇpJT$[wgV)q6muDGJ56q\I!̗ y/I~RtJ9kJ]Iy*'FN0s.[l!fw'y(7$œ WƫgyΙdMEU JQJv̋vmrۖ.jWR_M֨djYgSj0^\y'EoECjm$ IƩK>Z28J2TiJ2N#}.s cArl嫶nB.FIJ.)۔\ZiM>/hLĸ=C1s[?YMqp|94- 鮝𦔽/k^#NT(Y LS$6˩}{;5 )B۷W$qpN)qqoot}ZDVә;7TiK|6f3h$dԄ}fqݡ>Nb򗉉+ͶO]>ߡ_VtYf79ڰիF sq~prս|QM)g%l0ocJȨHz V;Bb/kLAcfPJ,ԭ{ƍgpjNR6VSI*$!yV足jᇑ.](EܣqM\qJ2eZT).<9UB/(B0j)mtKEj#׿fDI-=rZړj|'Nڤ]k*i$5qt"ݙPM6E4ke^Z8ۏhz$Q(R Ay2zfRñnpnkbkI:=j &ΝșW?׵d{+ύM'??XqeeĽ.[o=UxFS=ӷdZwenՄ]_X=ĭVa* pKs0ބۍfJ3 gz̚i|wnxtjc¼5${(1fXQ65ȼb̶Zkn>%FQMJXӡ{TZEVNᖣimT/37cNJUPnP҂ZOE~"-Rc4^b- FEͧtf5[)S!OZIښݲ͑;tvܡ+N)AR=hCNn;wL16-:特7M$=Tҕ-.R[HٷnXk sn[ҞD-0WS9p9:-Ϸ-jѬNu{ҹfv)[Ľvwfg(ٷfe+0mYj8Q1\ݧg]Eǎvڿc!4#j5̋C2"}BRriFp7=ô\TZ:\BLfj#I22װ<;صZl j 6:l"6]۸ K'6RTѯ^ئOԓV\?$x7s#r:Oh{ց=MmuHԷd{pN /܅:UE#Yy+(SgQ(Щ)RHzw>^Ѿݻ>mK&^ '$Jۻ&w%F|xfz%˳ L~3N?Cy9 v w/{ƿ kz3x> sXv}vP"@WyC z`'톽Dw%-tt yVY\wmuPYQA0iG-2JP,6/gˢ]u.-n!Zw.N7Q]Df}Q0({a\@=i_X7gFǘ8^⻲}G MZ1)WEfO12G+=-B@z\`||w6ċj߬m}UwRox֢I &c~XGP6Qndpvܻul'V7^FJt^{b^B(L~sѣ6@߿^xqU!ڙ5|Vpvef-uӥ^3  FSDɯKD%0r}FF穛r7 +o"V8tv̖NQU!5uFd"bCr^bJ=֤fM#ʳԷP0O-9xRBm\=`r-:;~3Tl(nXtXi%2Vٛ#vwqƴ`L@"H‹qW.j,JM5B[)WܺUeZFqc'V˷1W7V̾-MHФwn8N;HPSdݷC7&2j.W\τGŎ'Vb]c.x+Rx1%C2T{myg[qU|+m:M:շ8҉yWd)ՋWS%%:iqlʹmGwݹ WnNŤѩ5(9hTٵDdGUi-)vSs2 2{OnT$Xck n:¶(lASLeȔBjμPpTb2~N2~%^k[ܗ[Jzs0ӓHBKq[}JَA-$dFQgjxxFv4r/x*Rm% `4J(&iv7SkԲmSH1YWmx 8n.k']:Z˭_W >ڃXЩ. jTq%Aā[E}amc]D:rmHRiu:uӚӢ\p(5-q%e)(۬ҖȽIf<߽pr&ݫVfY91q2ĭEQgYbTGQ&,yL+N$[q*RVۉQ=FuTܻ>f>f㋳8N6$܌n)9&»iˤsX,݅܍ȩv+sRTpO}d?Wn/Inpȸ%O]StQO|v5\}7Zwb.AIVK^:wb{[uݯcytO߶S<{8KSRׁH̏N7ۚ[xkwYy_'ZӵF+>쌛ZUĦreE9F[24De{}@:ExWs-\ǻ7K-\JNvEk%:s˙#κ].oͳ;լ7wB6nwu:$L; DkI#Wz.:Xp(˅v$Sq,wn\qIN-e<5Oe+vuYTpcojUI_ާP8 O 7&VL8z$_B-H-[uh]T{|8=qVRN-:Ij:7PUtXϷmy鉿:RIM~33ӸS2#׳GdŲ5+/Bx{(WzȨ5Y㞎#|˖+ ط.|e<o/rߔX>7s}VE.OVti׽ .5nNJO"95{#q}Ay9do]R"M6z\tnNS-D!@3N_jicWsy*5uٮRcWv/.,j}=S)j5C^> Ie =gu9ӛqjtz]۪TMoߧI!Ǧ¶m:,"[L!{qAv-o 3{"KʼnrIkfٶj2ƙ؄S`7` k6jzޞ?e5G&6uʷ2%ԒRKE*G\Npom F/V |C0.q_eenƣ<5Oh'67ɪn[SĽ{ڔjǘzs;~׌(ۂ`ܢ1ƣ` _l9Va6%UQWh~P~\F^ZHR@:ۧCJ{ôGeBh;~ۧnU J\O+n2 RҠ)ng}Kh{5+S×ܛ.1ZjG)iRȤIN 4%{oΜ/eO[Nffd ĹK?nnԼMqX'܌nZvq<ķbFnͪaQ`5 s,M_լ?-@_{w{ӺձJ}GF[%v\5[ŒGkOw/ΜM9rjË%2+rd~+󲕛C9U۳r[aJǭm|˒LAʨSCq[XMۺoubfp:t+ΤĻo ][ zt-*67kvS7D·MMCQXm;)܎n_h%]4ܙnRk!]ڵsDUF"`R, &#R_*[z*ZqFXɻ]7|۵w+'pFDەs=r./ᐚm3Hשy yD"jHCr':sA65نѮ^o1V/ f;nFr3VM)e*- s D'H݅fӧ\*޷[k<7u<-]֍Q8R h|p=WlW3s%Q %3l}@U-K6f-NϿu|ڴmWN׮[׸F*mW\%r! C78:޳vBG7ŵ.JթԚ2x)ST!řn~9 W:Wpܢ件{xf8ٳwKE ҰWxVB\qBZ 2wMb[lGSnyԚ~z9ZmያvoN2Afnݽjf>)j3 !;gOYʹK" Wftڎ+׭b*2ϻK>ۢӱeyԪXISUm[z+ugX%0lϏnvg!;t{BqPj>PyvR7Cj]O%+ݲ :qiMj6W}3vC/R=4Som]ŗ=ю, TF6U_-\6MyskwMr&Q\wjKܩyMϣUj0*}RZܷSdY3>Zjqj6TgzpA/M`/Cmл,޻feE[/+uk^Vs1W$G(JsW2ٰu*߻q*Y޵.Wi:ur5T),=0uRmho.twܖiYwrWHntvEj8qhf`Ͻpf(R&>Ki%I7$QӖm-2 ~yߗQ-앑/ x[k8nw.c㩵k}]FkbJl:{.(˩n0Hqvαp7 귎.Gupx[N`Yq'+ruU7[ү+>!xrȫoSo]OC# d^Q]\>!ƛGw^Mx"-+%vdX-:M2UR%d>%l ioSu6lsj7D P>XxHz Ukà(n^Q V>5cVtWj SEiJdznyej[lE' 3kuٌNn4JW)gB {4 j6&]' m-(ZMEz8cz>WZ6#7+[,MR-Z!4ܓtCyE|umj1ƽvƷV\;%>Q :#Le(iVz5 4ũۤUWxX ^(ҔsլB2w-V ^R+; ˂M\z+Uwr+RWY⺧~ Q*JcYSNSλUd8in=v K낫k\IRרSUaCFmϿ5̗P|u ZTԕ}>oYѲ1sfP+sQkX8Gb~6r,s>^\,mGL+7[n-E\.Fqḕcl*Jmjb5 ,m]c}NXfeVlǸJ5eˡ$4%g~N p4Y*WwW٧<8v#;qԩTut,m"#Y D\5V`\\Lȋ];LȇiS6ϝZ l>LruR\v=ǘϔDg=ԈdFZ+M{=|,[;0>RiSi4,S5}yxw&(E7&fݙ4UՕ! ~'Id)]ǽu2K-fޭ \08Vڅ쓬=Vy^^ IhyKR-B#Ըr=]mܻӾ'*Umkoy rTqT_i,/8Q^<ݤ|4ԻO(܄"'5N~#m.(Ҿ2i6Uev&I*<}҄$eNtÛzyWJubW^iBW.܅Wڮg]irO6Ve90sgv.+sV޿aޔ[p?3q*FutUo*eL\KM'EG*ZcAFfG5J 5jj=MJ3OK:k˝'NMB7m3uFҕ\-Ywg%PRqMIyZGY9|μvn߻5cWݷa^+X֥vnݘ\v7m>Fgzv"-;Ew֝}1|RjN𿊀7g#֟*GQQ|#/bo]p$>_Un9гUbn9׃ErQBU-^vDmVh'<R[fdHT]*~}3j;nvjc7s-rӳ Y8[n[1pJx kX[Jk9Mn!_Nю6x:iZ˦U |߉^Ԛ݃hYxk &U^bwKk.[jE+P(˞=9j@snCv7%c_7=xǁ<l {t'酚+1F‹l׭:ݻILruǶkL-L(K0L1&>wXB(pm;1fpnlp֓%Skidkt(U +xulo'/ڕeN r=^pZZ:Pnj8Hf"48ijY[ N[yZٻ+=  ø:3 ?^ܷ^Sr#YK[UF?CuhC b]GM')mڏsNrܗI]ljq6VB. W,UK"YX5{c >Iqā> T:n!,5l2VzCl|+I[*SrjnS6٨y+x,@>П.g+!rn9>N|W>OZT_ut Y""v7|sfި;Pclm EùN,{'fNT%U&LfH8~1v>Il}统u6P˗c(WV~H^bMU.o*oOF0N:_:6Smr_.b+|ݶYY غF,mwjv>f*>QM뭱Sd:`N{l/⎱;n-z~"Gze퇎J5S KG9!Gn;N1 ݎ h6m|S?ɂ5'WOÞ 7|7^ao @mxGmi^jϽ>01Mf0լD3-2T. VXR"ɥV Kl J O7|u?bvа;6.eߓ|[1bmRr,eRz`z 6܎-ͨku͹Fː dPhYgZUj}nvX;z=gVեTv_J }\1n7w2J?ޘγc\E 1Aޑzq;\r]]\Y&[nsNei\uURje*Qk2CSl*xJz-xٶlm+|UjUؓ`Ladqiĩ!Gd\W~fz;Tn*PdRM&T4`չSWq5k훶(N"Ӎ% V]֦wb.nUO!u*J&Oӕ2e|Z=eV쫚΅g#+/RW:طnbi*Wyo)p{:ETKؚR(RY+r웓r(IF) VmȵNB:h Q1ғ|u8E]{,'$-TR[j49l*3"I鯴zhd>Q+\BkNF=.$ZR4Nwհ(IpNi.(Gi33#33e$FXK*NdWrud[r{xnk$v2ıh+J1TQ[#JQl[tRO]LHKٮ NӍnF񨔤֞Em'MILB"ԋ%dBŋ+p̿_17jzT~4pc Vo\ƹb9Rq-'1j;8ܗ)hE%DZKS<璸Bu*%*Yw5ڻ9ۣ^z4U; Ñk\U(o~G?VUĎ:?P?_F_Kߤ~ᓾI |pr.Ok\SklRhҪz{­P .}SktZ7UQ4ڌIM8̈eaӊJZ%FFZu,KZvln廐SNFIVtuNi?CM5]+Ph,{jN JSR$IS^tSUVrORYu.9WyP6 [Kiu m!X|]Y79ӄ)\ģ)pbڳr%*&ꑶ_-H*dzk)1 V3')UAϹٶWRxe'պn۫h7AR9 EAJeGLms!%D| A 5]/Q3eb̄vnVn%za\m kZnv([emqrIҕij|""><hjJשvvǕ|Pޟs}V~2&Z?+2N&Z4w@)4iSڪ_>/JN9Hiۏuf8'It[ȲR.hZ$ȋ_Y ~U<UUO*6b)Ovzڜj\R̋.$FsQuҊj^נ䈈y<zZIuP[}Qm=C?zN(Exqu/kn S-FzKZzOסӽjJ\)F3b!r5ٝ|;6 o=-3*λ]αb\abqRi-w޵⦪~b8Kpo)Z=>)ғ"5/GTZLE-輵f7ݘ۹~+&+w/7GFI:l33fg.N~۲\2|*cnermnnM+Fq"ѪIz%j =YW8@~gc/~?N'?)«qȸs➟n=k" X“m֮VreMh2[uݖ] *FܖN)MȐ`f0 g,C9̑o;ddudJ=In13:ݒvvdMUEJLp^,6t-@͐9'{7m{-3,>hnF;ѰM)->>+Ěz!R* :`e--m7nB\u{b U>[8֪]6^ߤLʦ\DFNo$$dͶlgno8OrsQ\l̯hRo8tuNo+ CTxu!2[>ctFpeޓƻֶR"3QrQuOѳgwQr;S~)6HhZw/GgVTmUf_yt7%$];zLWF̰xy2Ʉu!MCmš_0[W6jf#a-KLi+3Q7c^qg%s<1aYIQeZf+}>;S6L0]Yu_h9߻<ƅpmiM$AVvŚ,*#t2.8Y)-Zhshü97/#Oro"u^/uFgWɺ,p:6a,^x%$Yve^3PƗMnTP&yS}OJ '덫MH^:rXԴJۋ/rI;S*,+yz1hv)Qw^ڍJ2oL׊q(\fDj:^T%vOadɂnS}ZO)N*λdaȜkG_PIEO}нa(^iQX᯦-7^)%g'SJx(.S9zVɴZ{E ))ۅi/s7 VIV-|sj0*UBTHIqRf>FP$KqN0 R̻8j\GcC}IUz\i 6F)Q{Gҧ3qSzKj-Az VЛS-zy:8*mNk|D鿓ND2u+0Yŝ7kqm·?8Ib]u>˗^_>(]vӋzv+ݩ){vZrJ2RQ몋C$z [,pp,8mڊbR]Il .f~d/ݓs㓓mͶ{mgjQwn=Oic9ܚm4Q/6ݨ[TƧ?nԶoytf{@AzT{e{[O'ZRZt~AGD?s3􌿂ՉIw'|~U\ w~di:Kޱ)U/sU%njѩ&GSP^ǝd)..!^U` 1wX[aԇSxoFV6_扐)T 2Mfd=ۖͭiZ7KK Bi9%7@<3<ճԻU,},a}FRqɛr i@ONJvK KLN M, ʖv0n-]DwlI-X6ܶ$Jʴh5O+mOI+Ra瞠\ MG7BفjYo1#͖0V`Ѱ2M?c8>-Crt*JkIGS:e#hPKx[鱼>{5m;wcն&>j-M֥^َ) 6yȜl_w{-ō̱r> U=]iw3)r*]:K]6BdCTZ|>gf}LW}[$'Y5 &c -j.z6R 67MԷFMnÌwI7w5E}o޽+K ֵy4܌ȥW"COyR[q5Ӱ͙f[v"_#q{MV6܍3"u9BK(41ӯqˇc${ߝCi6I(OmθzҜ5k^:>Jzw.>qV8{vU[ڶEm|DžBz].KHjI]x;Mɗ{m,qZXr忇2u^RO2Z}ZێS[2Jen!*NDcrBUً4<ǼMҲs1Zw57c3&ĖڻzmP*FuJG1-dN:|OU}ҵgi2t~F^^Z.VxjvŧnNNh<:]^~NN+ge^g.SԔGFe߯'[vn'(ScJ]kܗ7eJOlRrfziݮq̋S"\*U<*W]k$FջV}? 7g#֟*GQQ|#/bo]p$>_Un9;l S VvQU%OLU{οmU6bZ1MTx%!֙Q7, J=!3 ;Q,ڌ;6ͱ݅q^&ߔ·n #WbwӖX.HtG)N&d̵zpI,n cu ޖUj+VXUp[w]N o.J6Z8Ts&utxln;~HPHS/xw`G\ʡ¿rj Z^vt"[L:SD\h0sUwR,}[x^X,R2Vn< ]2YDr[SRKs8tXb̷G?Ps Tv 3be,zVz D[/I.KOEQrm'$7|[J>r S`5յwT#\w1FTz\Ԛ &"ׅhSHrD\'r]~/>p;:Piuu:"9ő=tTaS7V2rӷk7mb[^WmPp*[y.Þ6f]cizJCgRR@UVl큝.WJP1N{/\whZ ػϧӱE7|E֫Sί.x-Y&pi%v''-x6r'Ws*6=DwwUu]=C?MK [yrtܒG$!WGqJ*%SAz ED[^)/tė/g=#Omd.|^n/sl׉g DZqemqowݮRzUܜ=ڽ-o/Iۖ;qVʘgPp|mm;6zGl9.8pwWgsJ2qPbe}}UpNjٯ}7TMQKrؽtEx%v w߾8%|j;~|}pK]ơ/ w߾8%|j;~|}pK]ơ/ w&~e_H 8PL7:%ʭ5Kw&U2vwR_+rm'}C7#rWoO&HoG?M$UR7{FU]u ;# !Wk`|W>׹潇9Vn)6)*ҹ{%qV4q>W1vi#T"Qk&GwxcJBJ- Ϸ^ˁxkU}ԣ/3.;]J=<*)cS)ROK9H=,r zX @)cS)Da^ԽQ gxJI=w֣gf*TRj

#E-mail: youngyu.choi@lignex1.com, TEL: +82-31-8026-4605
• Received: June 25, 2018   • Revised: July 30, 2018   • Accepted: July 31, 2018

Copyright © The Korean Society for Precision Engineering

This is an Open-Access article distributed under the terms of the Creative Commons Attribution Non-Commercial License (http://creativecommons.org/licenses/by-nc/3.0) which permits unrestricted non-commercial use, distribution, and reproduction in any medium, provided the original work is properly cited.

  • 87 Views
  • 2 Download
  • 1 Crossref
  • 2 Scopus
prev next
  • A chemical ablation analysis of hypersonic missile for thermal protection design was performed using SAMCEF AMARYLLIS V.17, the specific ablation module of commercial software based on a finite element code. The pyrolysis and surface recession models based on the effects of mass loss, pore gas diffusion, and endothermic reaction energy were applied for non-linearity of material and boundary. The numerical studies were carried out to confirm the tendency of the pyrolysis and chemical ablation of theoretical ablative composite for open testing (TACOT) with a chemical composition similar to charring carbon/phenolic composites. The frequency of variation in surface recession, temperature, density and gas mass flux was reviewed to determine the characteristics of multiple decomposition reactions and oxidation via pyrolysis of gas species.

B

Non-dimensional surface recession [-]

h

Enthalpy [J/kg]

p

Pressure [Pa]

q

Heat flux [W/m2]

R

Real gas constant [8.314 J/mol·k]

S

Surface recession [mm]

χ

Exchange coefficient [kg/m2·s]

γ

Gas diffusion coefficient [(kg·m)/(N·s)]

κ

Thermal conductivity [W/m·k]

θ

Temperature [K]

ρ

Density [kg/m3]
유도무기는 일반적으로 동체와 날개 구조를 갖는 비행체로서 동체 내부에 목표물을 탐지 및 추적하여 타격할 수 있는 다양한 구성품을 탑재한다. 자체 추진력으로 목표물까지 접근하여 표적을 정확하게 타격해야 하는 정밀유도무기는 최근 고속기동 환경에서 경량화와 함께 비행속도의 증가를 요구받고있다.1 지구 대기권을 마하 20이상의 속도로 재진입하는 ICBM (Intercontinental Ballistic Missile)뿐만 아니라 대기권 내에서도 마하 5이상의 극초 음속 환경에서 운용되는 유도무기는 상대적으로 빠른 속도로 비행하기 때문에 외부 표면이 공기역학적 마찰에 의하여 고속으로 가열되고 동체 전방부 또는 리딩엣지(Leading Edges)부에서 많은 양의 열에너지가 유입되게 된다. 이러한 열에너지는 급격한 온도 상승을 야기하고 열기계적 거동에 영향을 주면서 유도무기 동체 또는 날개부의 강도 저하로 예기치 않은 구조적 파손과 함께 탑재 구성품의 기능장애를 유발할 수 있기 때문에 운용조건에 적합한 열-유동 특성 분석과 고엔탈피 환경으로부터 구조물을 보호할 수 있는 열보호 시스템(Thermal Protection System, TPS) 설계가 중요하다.2,3
TPS설계는 Fig. 1과 같이 열에너지를 소진하는 방법으로 냉각시스템을 적용하는지에 따라 능동형 또는 수동형 TPS로 구분된다.1,4 삭마(Ablation), 방열(Heat Sink), 단열구조(Insulated Structure), 발열구조(Hot Structure), 열교환(Heat Pipe) 등으로 구분되는 수동형 TPS 설계는 능동형에 비해 간단한 구조로 설계가 가능하며, 극초음속 유도무기의 TPS 설계에는 외부로부터 유입되는 고온의 열을 효과적으로 차단할 수 있는 삭마 복합재료(Ablative Composites)의 사용이 증가하고 있다. 삭마 복합재료는 그래파이트, C/C, 코르크, 탄소/페놀릭, 실리카/페놀릭 등과 같이 섬유 및 수지 종류, 섬유 방향, 섬유와 수지 비율을 조절하여 사용 목적 및 운용 환경에 적합한 재료로 제작이 가능하다. 특히, 열경화성 수지에 셀룰로스 섬유(Cellulose Nano Fiber)을 불규칙하게 배열함으로써 일반적인 복합재료 대비 밀도가 20% 수준인 저밀도 삭마재(Low-Density Ablator)로 활용할 수 있다.5,6,12
Fig. 1

TPS concepts in operation or proposed for use on hypersonic vehicles

KSPE_2018_v35n10_987_f001.jpg
저밀도 삭마재는 극초음속의 공력가열 환경에서 열분해(Pyrolysis) 및 삭마를 경험한다. 재료표면으로부터 열에너지의 유입과 전달된 열에너지가 고분자수지 층에 축적됨에 따라 열화학 반응이 시작되면서 재료 분해가 발생한다. 재료의 상이 변화하면서 재료 표면에서 숯(Char)이 생성되고 숯 층이 재료 내부에서 발생한 분해 가스와 산화 반응하면서 표면 침식되어 재료의 일부가 제거되는 화학적 삭마에 지배적인 영향을 받는다. 따라서, 열분해 과정에서 복합 열분해 반응과 다종 분해 가스 생성 및 이동에 따른 열에너지 변화와 산화 반응 특성을 고려한 화학적 삭마 특성을 일차적으로 확인하고 적용소재에 대한 내열특성을 검토하여 TPS 설계에 반영하는 것이 매우 중요하다.7-9
본 연구에서는 공력가열 현상이 발생하는 극초음속 비행환경에서 유도무기 TPS 설계를 위한 기초연구로서 탄화성 페놀수지 복합재와 화학조성 및 열화학적 특성이 유사한 TACOT (Theoretical Ablative Composite for Open Testing)의 기본적인 열분해 특성과 산화 반응에 의한 화학적 삭마 영향성을 확인하였다. 복합 열분해 반응 및 다종 분해 가스에 의한 산화 반응 영향성을 검토하고자 재료 분해 반응을 2차까지 고려하였으며, 다종 분해 가스를 C, H, O, N, CH4, CN, CO, CO2, C2, C2H, C2H2, C3, C4, C4H2, C5, HCN, H2, H2O, N2, CH2OH, CNN, CNC, CNCOCN, C6H6, HNC 의 25종 혼합가스로 결정하였다. 가스 엔탈피 및 화학적 삭마 속도는 CEA (Chemical Equilibrium with Applications) 데이터를 기반으로 구하여 이를 상용 삭마해석 코드 SAMCEF AMARYLLIS V.17을 이용한 수치 해석에 적용하였다. 기공 압력(Pore Pressure), 밀도 및 온도 자유도가 연계된 열분해 및 표면 침식 모델을 통해 삭마 경계면에서 온도, 밀도, 삭마량 및 가스질량플럭스(Gas Mass Flux) 결과를 비교하여 복합 열분해 반응과 다종 분해 가스 적용에 따른 화학적 삭마 특성을 검토하였다.
2.1 경계조건 및 열전달
고온 벽면의 열에너지 평형은 Fig. 2와 같이 나타낼 수 있으며 C, V, R, A, B, G는 각각 전도, 대류, 복사, 삭마, 대류 차단 및 분해 가스와 관련된 물리량을 의미한다. 고온 벽면에서 열에너지 평형은 전도와 복사에 의한 열 유입과 산화 반응, 분해 가스 생성 및 대류 차단효과를 고려한 식(1)로 표현된다.
Fig. 2

Surface energy balance

KSPE_2018_v35n10_987_f002.jpg
(1)
-qini=-q-χfhr-hw-σlθf4-θw4+ρwS˙AChx+m˙ighg+qB
여기서 χf, σ, ι, m˙ig는 각각 대류 전달 계수, 스테판-볼츠만 상수, 복사율, 가스질량플럭스를 의미한다. 상첨자 f, r, w, x, g는 유체, 회복, 고온벽면, 산화 반응, 기공가스와 관련되고 하첨자 AC는 화학적 삭마를 나타낸다.
분해 가스와 산화 반응에 의한 대류 차단 효과는 다음의 수식으로 표현된다.
(2)
qB=ηgm˙ignihr-hw+ηaρwS˙AChr-hw
여기서 η은 대류차단에 기여하는 계수이며 상첨자 a는 삭마와 관련된다.
대류 전달 계수 χf와 가스 전달 계수 χg가 같다고 가정하면 식(3)와 같이 표현된다. 다종 분해 가스를 고려한 화학적 삭마 속도는 식(4)과 같이 온도 또는 분해가스 소산인자 Bg의 함수로 정의된다. 식(2)식(5)와 같이 표현된다.
(3)
Bg=m˙igniχf
(4)
BAC=BACθ,Bg
(5)
qB=χgBAChx-hw+Bghg-hw
식(6)은 초기재료 및 숯 층의 재료특성에 따라 결정되는 열전도도를 나타내고 식(7)식(8)은 엔탈피 형태로 표현된 열분해 반응열과 재료 내부의 에너지 보존 방정식을 나타낸다.
(6)
κij=κijv-ζκijv-κijc
(7)
hp=hg-ρvhv-ρchcρv-ρc
(8)
ρh˙=κijθ,j,i+hpρ˙-m˙igh,ig+ρr
여기서 식(8)의 좌변은 재료의 내부 에너지 변화율을 나타내며, 우변의 각 항은 열전도, 열분해 반응열, 분해 가스 및 열원과 관련된 에너지항을 의미한다.
2.2 열화학적 분해
열분해 및 삭마 해석을 위해서는 재료 외부 및 내부에서의 열에너지 평형과 함께 열화학적 분해에 따른 재료 밀도 감소, 기공 가스 생성 및 확산 등이 고려된 아레니우스(Arrhenius) 및 다시(Darcy) 구성 방정식을 연계해서 다루어야 하며 열분해 과정 동안 부피가 일정할 경우, 재료 밀도 감소는 열분해 층에서 생성되는 기공 가스 질량에 비례한다고 가정하면 다음과 같이 표현할 수 있다.
(9)
-ρ˙s=m˙i,ig
재료 분해 속도는 식(10)과 같이 아레니우스 방정식 으로 정의된다. 빈도 인자 A, 활성화 에너지 Ea 및 반응 차수 n은 열중량 분석(Thermogravimetric Analysis, TGA)을 통해 결정된다.
(10)
ρ˙s=-Aρv1-nρ-ρcne-Ea/Rθ
재료의 복합 분해 반응은 식(11)과 같이 0에서 1사이 값을 갖는 밀도 변화비로 표현된다.
(11)
ζ=ρv-ρρv-ρc
식(11)의 양변을 미분형태로 나타내면 식(10)식(12)로 표현된다. 복합 분해 반응이 고려된 재료 분해 속도는 식(14)와 같다.
(12)
ζ˙=Aρv1-nρv-ρcn-11+ζne-Ea/Rθ
(13)
ρ=ρv-iΔρiζi
(14)
ρ˙=-iΔρiAiρv1-niρv-ρcni-11+ζinie-Eai/Rθ
열분해 과정에서 생성된 분해 가스를 이상 기체로 가정하면 가스질량플럭스는 식(15)로 표현된다.
여기서, ρg는 가스밀도, μg는 가스점성계수, pg는 기공 압력, β는 침투성을 의미하며, 가스확산계수(Gas Diffusion Coefficient)로 나타내면 식(16)과 같다.
(15)
m˙ig=-ρgpgμgβij,j
(16)
m˙ig=-γijgpg,j
3.1 열분해 및 화학적 삭마 해석
극초음속 유도탄 열보호 설계를 위한 기본적인 열분해 및 화학적 삭마 해석에는 탄소/페놀릭 복합재와 화학조성 및 열화학적 특성이 유사하고 온도에 따른 비선형적 재료물성 확보가 용이한 TACOT를 적용하였다. TACOT는 다양한 삭마 해석 코드의 신뢰성 검증에 이용되며 Fig. 3과 같이 길이 1 mm, 직경 10 μm인 셀룰로스 탄소 섬유가 페놀(Phenol)/포름알데히드(Formaldehyde)로 구성된 노발락(Novolac) 합성 고분자수지에 불규칙하게 배열된 다공성의 저밀도 삭마재이다.10 수치 해석을 위하여 상용 삭마 해석프로그램 SAMCEF AMARYLLIS V.17을 이용하였으며 SAMCEF AMARYLLIS V.17은 해석모델의 온도, 압력, 밀도 자유도를 연계하여 수치 계산을 수행하기 때문에 열에너지 평형과 재료 분해에 따른 열분해 현상 모사가 가능하고 경계에서 발생하는 열화학적 또는 기계적 삭마 조건 적용이 가능하다. 공력가열에 의하여 열하중에 쉽게 노출되는 유도탄 전방 동체부는 원통형 형상이기 때문에 Fig. 4와 같이 전체 영역이 아닌 두께 방향으로 일부 영역만을 해석영역(L = 50.0 mm, W = 20.0 mm)으로 고려하였으며, 직사각형 형상의 2D 열분해 모델을 통해 대류, 복사, 전도에 의한 열전달 현상과 재료의 열분해 및 일방향 삭마현상을 모사하였다. 삭마에 의한 표면침식은 메쉬 재형성(Re-Meshing) 기법을 적용하여 경계면에서 수치적으로 계산되며 해석의 수렴성을 향상시키기 위해 비균일한 크기의 요소를 생성하여 경계면에 요소가 집중되도록 하였다.
Fig. 3

Numerical model of TACOT

KSPE_2018_v35n10_987_f003.jpg
Fig. 4

2D Pyrolysis and ablation model

KSPE_2018_v35n10_987_f004.jpg
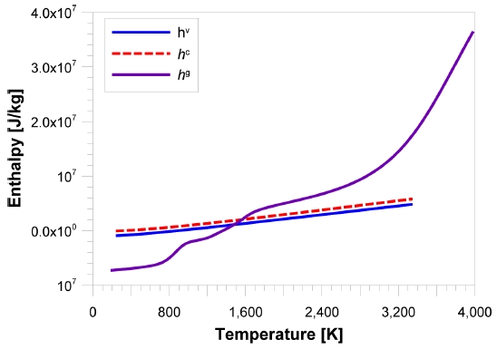
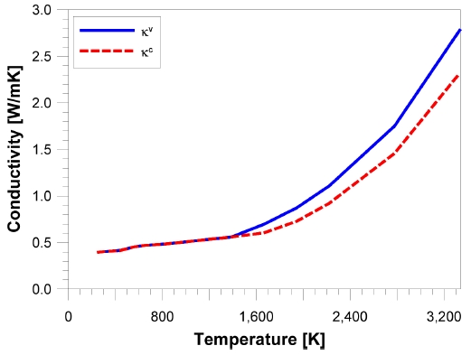
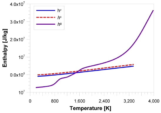
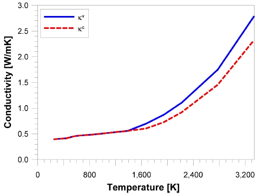
수치 예제를 통해 t = 60 s까지 TACOT의 기본적인 열분해 및 화학적 삭마 경향성을 확인하였다. 수치 해석에 사용된 TACOT 물성은 Table 1에 나타내었으며, 초기재료, 숯 층, 분해 가스에서의 열전도도 및 엔탈피 값은 Figs. 56과 같다.11-13 고온 벽면에 대한 열 하중 및 경계조건은 비행속도 M > 5이상인 유동조건으로부터 대류 열 전달계수 χf = 0.3 kg/m2·s를 적용하였고 복사 열전달은 유체온도 θf = 300 K, 복사율 t = 0.9값을 부여하였으며 경계에서의 기공 압력 pg는 벽면압력 pw= 1 atm으로 가정하였다. 화학적 삭마 속도는 Schneider6의 TGA 시험 값을 이용하였으며 산화 반응열 hx= 2.83MJ/kg을 적용하였다. t = 1, 60 s에서 표면 밀도 및 온도 분포 결과를 Figs. 78에 나타내었다. t = 1 s일 때, 삭마량은 0.3 mm이며 표면온도는 2,303 K까지 상승하지만 재료의 열분해가 진행되는 초기로서 숯 층이 좁은 영역에서 생성되는 것을 알 수 있다. t = 60 s일 때, 삭마량은 18.15 mm로 증가하지만 재료의 열분해가 진행됨에 따라 숯 층과 열분해 층이 발달하는 것을 알 수 있으며 표면 온도는 t = 1 s에서 최고온도 도달 이후 일정하게 유지된다. TACOT와 같은 저밀도 삭마재는 밀도가 매우 낮아 산화 반응에 의한 화학적 삭마에 지배적인 영향을 받기 때문에 재료의 복합 분해반응과 열분해 과정에서 생성되는 다종 분해 가스에 의한 고온 및 삭마 영향성을 확인해야 한다.
Table 1

Material Properties of TACOT

Table 1
Property Value Unit
Virgin, v Char, c
Density, ρ 280 220 Kg/m3
Porosity, φ 0.8 0.85 -
Permeability, β 1.6 × 10-11 2.0 × 10-11 -
Reaction order, n 3 -
Reaction rate constant, A 1.2E × 104 /s
Activation energy, Ea 71,134.58 J/mol
Fig. 5

Thermal conductivity of TACOT(virgin, char)

KSPE_2018_v35n10_987_f005.jpg
Fig. 6

Enthalpy of TACOT(virgin, char, gas)

KSPE_2018_v35n10_987_f006.jpg
Fig. 7

Density contour for 2D numerical model

KSPE_2018_v35n10_987_f007.jpg
Fig. 8

Temperature contour for 2D numerical model

KSPE_2018_v35n10_987_f008.jpg
3.2 숯층 표면의 산화 반응 검토
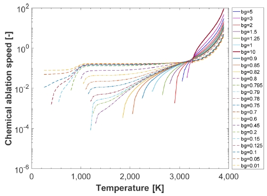
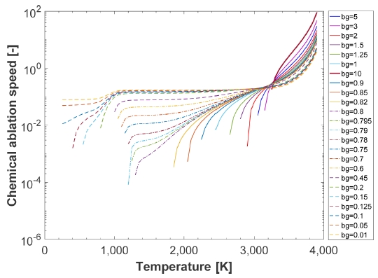
열분해 과정에서 재료의 복합 열분해 반응 및 다종 분해 가스에 의한 산화 반응 영향성을 검토하였다. 수치 해석에는 수치예제 3.1과 동일한 모델 및 조건에서 복합 열분해 반응에 따른 영향성을 검토하고자 TACOT 물성에 분해 반응을 2차까지 고려한 아레니우스 인자 A = 1.08 × 1010/s, n = 3, Ea = 20,440 J/mol을 추가로 적용하였다. 페놀/포름알데히드 수지의 주요 구성원소는 C, H, O이며 몰분율은 각각 0.206, 0.679, 0.115이다.14 초기 열화학적 분해 과정에서 생성된 분해 가스 C6H5OH, H2, C6H6, CH4, H2O, CO, CO2는 재료 외부로 이동하며 경계 및 숯 층에서 산화 반응을 일으킨다. 다종 분해 가스에 의한 영향성을 확인하기 위해 산화 반응에 기여하는 분해 가스를 비응축 혼합가스로 가정하고 C, H, O, N, CH4, CN, CO, CO2, C2, C2H, C2H2, C3, C4, C4H2, C5, HCN, H2, H2O, N2, CH2OH, CNN, CNC, CNCOCN, C6H6, HNC의 25종으로 결정하였다.15,16 다종 분해 가스의 열역학적 물성은 물질간 화학평형을 계산하는 CEA를 이용하였으며 모든 혼합가스의 확산계수가 같고 화학적 평형상태에 있다고 가정하였다. 이를 통해, Fig. 9와 같이 산화 반응에 영향을 주는 25종 분해 가스에 대한 소산인자 Bg와 온도의 함수로 정의되는 무차원화된 화학적 삭마 속도를 구하였다. TACOT의 경우, 열분해 과정에서 생성된 대부분의 분해가스는 3,000 K 이상 온도에서 산화 반응에 따른 화학적 삭마가 급격히 증가하는 경향을 나타내었다.
Fig. 9

Non-dimension chemical ablation rate by out-gassing parameter

KSPE_2018_v35n10_987_f009.jpg
복합 열분해 반응과 다종 분해 가스에 의한 화학적 삭마 영향성을 확인하기 위해서 재료 분해 반응 및 분해 가스 화학종수에 따른 3가지 해석조건을 선정하여 t = 60 s까지 수치 해석을 수행하였다. Figs. 10에서 13은 삭마 경계면에서 삭마량, 온도, 밀도, 가스질량플럭스에 대한 결과를 나타내다. 일종 분해 가스(Pyrolysis Gas = 1 Species)에 대한 단일(Degradation Reaction = 1) 또는 복합 분해반응(Degradation Reaction = 2)을 적용한 해석 조건에서 두 결과가 대체로 일치하는 경향을 보여주는 반면, 다종 분해 가스(Pyrolysis Gas = 25 Species)에 대한 복합 분해 반응에서는 다른 해석 조건과 상이한 결과를 나타내었다. 이를 통해, 저밀도 삭마재는 재료 분해 반응보다 다종 분해 가스(Pyrolysis Gas = 25 Species)의 생성 및 확산에 의한 열분해 및 산화 반응에 더 지배적인 영향을 받는 것을 알 수 있다. Fig. 10을 살펴보면 표면 삭마량은 t = 7 s까지 모든 해석 조건에서 큰 차이를 나타내지 않은 반면, t = 60 s에서는 복합 분해 반응 및 다종 분해 가스를 고려한 해석 조건에서 최종적인 표면 삭마량이 14.44 mm로 다른 해석조건 보다 4.04 mm 더 적게 표면 침식이 발생하는 것으로 나타났다. 이는 삭마에 영향을 주는 분해 가스들이 표면 온도에 따라 상이한 산화 반응 특성을 갖기 때문인 것으로 판단된다.
Fig. 10

Surface recession VS time by Degradation reaction and Pyrolysis gas

KSPE_2018_v35n10_987_f010.jpg
Fig. 11

Surface temperature VS time by Degradation reaction and Pyrolysis gas

KSPE_2018_v35n10_987_f011.jpg
Fig. 12

Surface density VS time by Degradation reaction and Pyrolysis gas

KSPE_2018_v35n10_987_f012.jpg
Fig. 13

Surface density VS time by Degradation reaction and Pyrolysis gas

KSPE_2018_v35n10_987_f013.jpg
Fig. 11은 시간에 따른 표면 온도 결과를 나타내며 표면 온도는 Figs. 1213과 같이 열분해 과정에서 발생하는 밀도 및 가스질량플럭스 변화와 밀접하게 관련된다. 복합 분해 반응 및 다종 분해 가스를 고려한 해석 조건에서 재료 분해가 더 빠르게 진행되면서 재료 내부로부터 외부 경계면으로 이동하는 가스질량플럭스가 급격히 증가하는 것을 알 수 있으며, 이러한 영향으로 복합 분해 반응 및 다종 분해 가스를 고려한 해석 조건에서 표면 최고 온도는 약 3,156 K까지 상승하는 것으로 나타났다. 일반적으로 재료 내부에서 열분해 과정으로 생성된 분해 가스의 이동에 따른 열에너지의 소산은 경계에서 유입되는 열에너지를 감소시키기 때문에 표면 온도가 낮아지는 경향을 나타내기도 하지만, 본 연구에서는 분해 가스 소산인자 Bg와 온도의 함수인 화학적 삭마 속도값 적용에 따라 표면에서 숯 층이 발달하면서 단열효과가 발생하여 표면에서 최고 온도가 다른 해석조건 대비 약 853 K 정도 더 높게 나타났다. 따라서, TACOT와 같은 저밀도 삭마재를 이용한 열보호 설계를 수행하기 위해서는 열분해 과정에서 발생하는 다양한 분해 가스 종류을 먼저 식별하고 다종 분해 가스의 열역학적 물성 및 화학적 삭마 속도를 적용함으로써 다종 분해 가스에 의한 산화 반응을 고려한 화학적 삭마 해석을 수행하는 것이 중요하다.
본 논문에서는 극초음속 유도탄 열보호 설계를 위한 기초연구로서 탄화성 페놀수지 복합재와 화학조성 및 열화학적 특성이 유사한 저밀도 삭마재 TACOT에 대한 기본적인 열분해 및 화학적 삭마 특성을 확인하였다. 상용 삭마 해석 코드 SAMCEF AMARYLLIS V.17를 이용한 열분해 모델을 기반으로 수치 해석을 수행하였으며 화학평형을 계산하는 CEA를 통해 열분해 과정에서 생성되는 다종 분해가스의 열역학적 물성 및 화학적 삭마 속도를 구하여 이를 해석에 적용하였다.
간단한 수치 예제를 통해 탄화성 페놀계 복합재에 대한 열화학적 분해 및 화학적 삭마 경향성을 일차적으로 확인한 후, 복합 분해 반응 및 다종 분해 가스에 따른 화학적 삭마 영향성을 비교하였다. 삭마 경계면의 삭마량, 온도, 밀도, 가스질량플럭스 결과에서 재료 분해 반응 증가에 따라서는 큰 차이가 없었던 반면 다종 분해 가스에 의한 열역학적 물성과 화학적 삭마 속도를 적용한 경우에서는 기존 해석 결과와 상이한 결과를 나타내었다. 이는 분해 가스 소산인자 Bg 및 온도의 함수로 결정되는 화학적 삭마 속도 적용으로 인해 경계에서 숯 층이 발달하면서 단열효과가 발생했기 때문으로 판단된다.
따라서, TACOT와 같은 저밀도 삭마재는 밀도가 매우 낮아 산화 반응에 의한 화학적 삭마에 지배적인 영향을 받기 때문에 이들 재료를 적용한 열보호 설계를 수행하기 위해서는 먼저 열화학적 분해과정에서 생성되는 다양한 분해가스 종류를 먼저 식별하고 분해 가스의 열역학적 물성 및 화학적 삭마 속도를 고려한 열분해 및 화학적 삭마 해석 수행을 통해 고온 및 삭마 특성을 검토해야 한다.
  • 1.
    Kasen, S. D., “Thermal Management at Hypersonic Leading Edges,” University of Virginia Report, 2013.
  • 2.
    Choi, Y. G., Kim, S. J., and Shin, E. S., “Thermomechanical Analysis of Composite Structures in Pyrolysis and Ablation Environments,” Journal of the Korean Society for Aeronautical & Space Sciences, Vol. 41, No. 8, pp. 597-604, 2013.
    10.5139/JKSAS.2013.41.8.597
  • 3.
    Yang, B. C., Cheung, F. B., and Koo J. H., “A Theoretical Study of Thermomechanical Erosion of High-Temperature Ablatives,” Journal of Applied Mechanics, Vol. 60, No. 4, pp. 1027-1032, 1993.
  • 4.
    Sutton, G. W., “The Initial Development of Ablation Heat Protection, an Historical Perspective,” Journal of Spacecraft and Rockets, Vol. 19, No. 1, pp. 3-11, 1982.
    10.2514/3.62196
  • 5.
    Reynolds, R., Russell, G., and Nourse, R., “Ablation Performance Characterization of Thermal Protection Materials Using a Mach 4.4 Sled Test,” Proc. of 28th Joint Propulsion Conference and Exhibit, p. 3055, 1992.
    10.2514/6.1992-3055
  • 6.
    Dolton, T., Reed, G., and Schneider, P., “Mechanical Erosion of Charring Ablators in Ground-Test and Re-Entry Environments,” AIAA Journal, Vol. 6, No. 1, pp. 64-72, 1968.
    10.2514/3.4442
  • 7.
    Dimitrienko, Y. I., “Thermal Stresses and Heat-Mass Transfer in Ablating Composite Materials,” International Journal of Heat and Mass Transfer, Vol. 38, No. 1, pp. 139-146, 1995.
    10.1016/0017-9310(94)00137-K
  • 8.
    Dec, J. A. and Braun R. D., “Ablative Thermal Response Analysis Using the Finite Element Method,” Proc. of AIAA 47th Aerospace Science Meeting and Exhibit, p. 259, 2009.
    10.2514/6.2009-259
  • 9.
    Milos, F. S. and Chen, Y.-K., “Two-Dimensional Ablation, Thermal Response, and Sizing Program for Pyrolyzing Ablators,” Journal of Spacecraft and Rockets, Vol. 46, No. 6, pp. 1089-1099, 2009.
    10.2514/1.36575
  • 10.
    Panerai, F., Ferguson, J. C., Lachaud, J., Martin, A., Gasch, M. J., et al., “Micro-Tomography Based Analysis of Thermal Conductivity, Diffusivity and Oxidation Behavior of Rigid and Flexible Fibrous Insulators,” International Journal of Heat and Mass Transfer, Vol. 108, pp. 801-811, 2017.
    10.1016/j.ijheatmasstransfer.2016.12.048
  • 11.
    Mcmanus, H. L. and Springer, G. S., “High Temperature Thermomechanical Behavior of Carbon-Phenolic and Carbon-Carbon Composites, II. Results,” Journal of Composite Materials, Vol. 26, No. 2, pp. 230-255, 1992.
    10.1177/002199839202600205
  • 12.
    Covington, M., Heinemann, J., Goldstein, H., Chen, Y.-K., Terrazas-Salinas, I., et al., “Performance of a Low Density Ablative Heat Shield Material,” Journal of Spacecraft and Rockets, Vol. 45, No. 2, pp. 237-247, 2008.
    10.2514/1.12403
  • 13.
    Ommati, M., Fotovat, A. I., Davachi, S. M., and Motahari, S., “Erosion Rate of Random Short Carbon Fibre/Phenolic Resin Composites: Modelling and Experimental Approach,” Vol. 20, No.12, pp. 943-954, 2011.
  • 14.
    Sykes, G. F., “Decomposition Characteristics of a Char-Forming Phenolic Polymer Used for Ablative Composites,” National Aeronautics and Space Administration Hampton Va Langley Research Center, http://www.dtic.mil/dtic/tr/fulltext/u2/a307833.pdf (Accessed 5 SEP 2018)
  • 15.
    April, G. C., “Energy Transfer in the Char Zone of a Charring Ablator,” Ph.D. Thesis, The Department of Chemical Engineering, Louisiana State University, 1969.
  • 16.
    De Mûelenaere, J., Magin, T., Lachaud, J., and Mansour, N., “Stagnation Line Approximation for Ablation Thermochemistry,” Proc. of AIAA Thermophysics 42nd Conference, p. 3616, 2011.
    10.2514/6.2011-3616
Youn Gyu Choi
KSPE_2018_v35n10_987_bf001.jpg
Research engineer in PGM R&D Lab., LIG Nex1 Co., Ltd. His research interest is Composites Structures Mechanics and Multi-Physics Coupling Analysis.
Kyung-Ho Noh
KSPE_2018_v35n10_987_bf002.jpg
Research engineer in PGM R&D Lab., LIG Nex1 Co., Ltd. His research interest is Aerodynamics and System Engineering.
Jin Yong Park
KSPE_2018_v35n10_987_bf003.jpg
Research engineer in PGM R&D Lab., LIG Nex1 Co., Ltd. His research interest is Missile System Design and Mechanical Vibration.
Young Hwan Jo
KSPE_2018_v35n10_987_bf004.jpg
Research engineer in PGM R&D Lab., LIG Nex1 Co., Ltd. His research interest is Missile System Design and Mechanical Engineering.

Download Citation

Download a citation file in RIS format that can be imported by all major citation management software, including EndNote, ProCite, RefWorks, and Reference Manager.

Format:

Include:

Pyrolysis and Chemical Ablation Analysis of Hypersonic Missile for Thermal Protection Design Applying Charring Phenol Resin Composites
J. Korean Soc. Precis. Eng.. 2018;35(10):987-993.   Published online October 1, 2018
Download Citation

Download a citation file in RIS format that can be imported by all major citation management software, including EndNote, ProCite, RefWorks, and Reference Manager.

Format:
Include:
Pyrolysis and Chemical Ablation Analysis of Hypersonic Missile for Thermal Protection Design Applying Charring Phenol Resin Composites
J. Korean Soc. Precis. Eng.. 2018;35(10):987-993.   Published online October 1, 2018
Close

Figure

  • 0
  • 1
  • 2
  • 3
  • 4
  • 5
  • 6
  • 7
  • 8
  • 9
  • 10
  • 11
  • 12
Pyrolysis and Chemical Ablation Analysis of Hypersonic Missile for Thermal Protection Design Applying Charring Phenol Resin Composites
Image Image Image Image Image Image Image Image Image Image Image Image Image
Fig. 1 TPS concepts in operation or proposed for use on hypersonic vehicles
Fig. 2 Surface energy balance
Fig. 3 Numerical model of TACOT
Fig. 4 2D Pyrolysis and ablation model
Fig. 5 Thermal conductivity of TACOT(virgin, char)
Fig. 6 Enthalpy of TACOT(virgin, char, gas)
Fig. 7 Density contour for 2D numerical model
Fig. 8 Temperature contour for 2D numerical model
Fig. 9 Non-dimension chemical ablation rate by out-gassing parameter
Fig. 10 Surface recession VS time by Degradation reaction and Pyrolysis gas
Fig. 11 Surface temperature VS time by Degradation reaction and Pyrolysis gas
Fig. 12 Surface density VS time by Degradation reaction and Pyrolysis gas
Fig. 13 Surface density VS time by Degradation reaction and Pyrolysis gas
Pyrolysis and Chemical Ablation Analysis of Hypersonic Missile for Thermal Protection Design Applying Charring Phenol Resin Composites
Property Value Unit
Virgin, v Char, c
Density, ρ 280 220 Kg/m3
Porosity, φ 0.8 0.85 -
Permeability, β 1.6 × 10-11 2.0 × 10-11 -
Reaction order, n 3 -
Reaction rate constant, A 1.2E × 104 /s
Activation energy, Ea 71,134.58 J/mol
Table 1 Material Properties of TACOT