Skip to main navigation Skip to main content
  • E-Submission

JKSPE : Journal of the Korean Society for Precision Engineering

OPEN ACCESS
ABOUT
BROWSE ARTICLES
EDITORIAL POLICIES
FOR CONTRIBUTORS
REGULAR

고증폭용 다단 지렛대형 유연 힌지의 최적 설계

Optimal Design of a Multi-Layer Lever Type Flexure Hinge for High Magnification

Journal of the Korean Society for Precision Engineering 2018;35(12):1191-1197.
Published online: December 1, 2018

1 부산대학교 기계공학부

1 School of Mechanical Engineering, Pusan National University JFIFddDuckydqhttp://ns.adobe.com/xap/1.0/ Adobed     ! 1AQa"q 2#w8B36v7XRr$9bCt%u&Ws'(xy4T5fH  !1AQaq"2B Rbr#u67Ѳ3sTt5v8Sc$4ĂCÔ%UӅFV ?_Aנj- H>>,m*>fzp"TrKkr^r.|_&]|*vPuܶvoQ1mwVJUhu-I"=LniAƕ8"۲ k*ҿ[yu:.vUQ+)%F DHyVBk>Hy8jݹ q~9D4KRmzQ)^ʔ.J%k_tVi5NTjg!'ky|5asOȻ)R۸ߩFMԿ3L4j6dڜ#NIwUF]JqB/(FafJRzq3\G՛ ?~\ 6)6W4m[O^L0E&rRMض*C .]Unl-1 1r#Rj/&QɈ׉˩s6Rj=5Tg.y.·Pӡ:JJS:C8-2u]d&vUz;7p9 5VnL֢"y)">iי(IDDd| Yj0; LRfS:ktYK%*N2^m|&dğth":ey)uPQZW)gcC3Pv&MMWd&Ŵ۲mvTRoժM03*F3Yd6\8,\hݻ kߔi<k NTwSԪmljj[>->ptU%'LR>&EBH$MQAUx[$Z6vi&_a.KIQ{hyƒ j"JOC9eFҝfj;˚Ω<[3_m% lQ@4g=5$(J]Yc-OMq<Ǎ wSzڗ)k$7VIP붾ͯnV+卵*t]iЎD31~SA1éC2u)ʼnQn-Uoi3:grI8ؓWm*G zܕ)ZקJ}Y YlGeJ6cB2I NS3Q>k=KTBT]W6+SOXQgGR? telˊ%-Re\hѯ2TF"C/OJΩ6r[N.0{SpljjX1“jOsӥ;ҭhe}xu`Ք&.)yO̒ Fߑ.$Qw;9Iw2o+RVJMSOj[SoҌZ%;`d$blQ{Ro{Imڌ>3egf\O֝Uzx"䢸g+mv%Gʆ:|V[N'&ס-ޝ'kfE|K,G&˳98Juin/\\Qݿ̋v~Ǩ!rtWU d|E߫R4d}.qPw*Ӭv5YEcn~f5c%MTMkb-F>5JT,})QHg%{("ӔȸWMsYyWNRrkkJr0XドnͫT}r-jj,Ŕʍ\Q2Ri>v$5!]"JB2WɅ)]VԜUc8i|.jeRO6^V.¸ Q&#|ܶ-*uOG%JAtRZRr]FFG\۩w+?'zչSѧt jz>KW&ot{7P&2D;&\\>Q2JzܗAKSfeNn[jRrԕf6,q,F1tRfԗ>vֶևj-&R'Zi2=xv~Elbsvm8=ӛ"ū񕜈BȩlWau[]ٷBߨF~J!|Ipr3R̴#Yp)={7:G{+:\W}n|Q#%)7^-h"Ƒq:M*%J&$T軨I333׎g_- ucBwwjp[6i25$̏bU’ٱRv?G\~#Iͪb7<<}Ezt" q_Inw,7-d,G÷%T* Wg1"䥱kq/A.,_KhqŒxwvo u2ۥۧ.bQ}XκA$֣ +K״ZUNmڸII{.v{5z5ѮRme[moyƾd~cRݾK'j.\i&/S6f|b=5: p!6i_ 4j6=.si˧eƾtS^c.Y^RJVS-Vi3,esi08?H$GvZgg?gi䤟2adw릿:"۪lkSN>q-4kI܋ێe̊qۅgDoѨ9; #T.Q;7#~_Ufstb_'w~Xw1Xk,vcOt._}v}8"(4Z\ۘgk?J?bm_c!g{HZV]Fkk%~gEt)b秴vΰB|꽸}mp~E6ݹv;7P٤v+ri*3Ԣ|'O14_~7nP{7ZU\Vű[ +7󖱅o#:ǥŬ\|3r%TJX]V7ez¨Y]lc|O3V! R zbJ'PnGqVJ"19WVeOF埜EaEJωqCN5Z g-9[S<$sUK5b|7sn\7x qmv##FF\ w[=-43$^ooVSiXօv7iB۴yg>]Vf"r$J3""32!Zh[K%7GvNLs+4nB/B{vlsobJaҺJR:0g%&zR\ S3T[&ִor*ⷳc3ʊO[iozW٨%$gn:ܶWwFBԹjHP&z u&F2\f;ipW73 [; '_̽b;vib!oec dC-tS__$Xs]l9&z$2/N>%'[}b{h/{`{Ji׉׏ YJB/X%}.|+{(S:qz]4_Kѵo`^tY_4S#* ^zvݾMr+TrkQ g.8Ͽ^i>ӈǙvix>$o( ^qt*&t1oJVu-ql5U6jCЉmĻ*"?JT=K'O/|=Vo}l0b}}f?X[?/\JSBe,kP8ETJ==?.p5ފgbU9}ǶdNKk—_$8̸͓ۍ8Di\BԿ-1v{FF]|.^ۅ{vl12׏z7-R7wE?\nh\jN/Kձr_oBw"N QMBZqe-m:ӨSn6j4%!hQ;sv'm4kcM=!8\m[M4{SMliۇ%eֽR&N:{2A8)THLK3Zj[jPBx#BگMf:G1\`edcʮ?|w(-̮vXt,bW2;.ιNHRR#YwTM"<;mk\.foIDjmlJ;vxy7o7i\,KQŊ9d^Mmgc L*.T6tLeIuOH3SJQ3=F/ʿ<9\JM6mN6=<{xkP!F1QR[I$6ُimXu2An2yԒMU q f[IB-'䤯jYm52&JG\zд\~vdg QtHGXw&1Lw+nDEdC1w|YJmvP)HZ>i0BPβә?R:QO["]I_Jʏۍ>QKyu^bycBq4lXF~l [\*N>-J6,Gq(Zr5h]CwYӤU~ʶߑ u*SIv%ZfJ7)! FS*s_\|IŸZ)J ]ܜi4"z[+Z,MOZ))}|Ʀ(RUNIII.S'ˍO~˨rn}M)xxӕ0 eyҵ7YMAB]ӣU:/ѭ*6bcwP͵ "+qēVjŹO|GtY4V j[mLV M -m>",B$ GD1~j6O4|LxnNmqATNR3ε|DŽa[fmn-ڭ+FiK7Pcm;r5 l8r{#-]'nrFh2ruycb;pW=njRqRJ(d mnpckNnʹ+6]tz~E=ʕ l ZZ5jSi3#47.Lcfe`9؏v囜.F\-UZ:*0_<Νu9Lӵm&)_3\^ҹ3"1n1v_|uRʞͫr'iȧN_kH׺8xXrj=\МH)V\ˬ.Xʸ oVRC}ySU9/OBY먌5 ٿwޞ)rw8Ӫi5*5ZΗcGƱ !ZۄlmpjJ -l <R̵/JAպZuq\IdUS 48wXJJtcg4cI~aqߓwŷrm-v)G7yS^7H^-\mŌAq|"m9IBnF㏉9[N+mmy/!KKۉ%n +BdddfFF6FQRN-U5;Sv'm4kcM=Mn)\qιqUd9F%",6MGdT%-+~ f%+y֛^3SrF>6lc(֪vۊN;g._0Sѧ]ETWرkQKzGe9ʨsKA"yC y2\[5 rԭ7Gk5Mzw_4sM3hxЊ'oÍ5jsub )ͪ~tR2H]R͍>̋m6=%(˿(Wrr-܅y5(ܔJ޺YunW̹븹NsqK ]/QR#"ZMDfD|43Qw|._ԡSqTZBg??O Ϥ)/E_U|i}2 9Z?¹0:x'3,whǣ?C y-A~=daJј&M?D1_PS+Oi&;a @;Dž7[ zZC"bv:jjMQk$M RԸ3uA\=wI.AwC"^.{?-\NSiˏ"b}T/}q/ o.1M}R%:-ZniʒL$SgrBW*,Mw'N\ɇ{s\j]VryG'8f`}'N<*/`U숻z CwHq18J+vԕKss4R53/&XTt1bZƟo\=%nO)h$rBi-nKĪ^ ջڜlwkYm[̑+/QrZo%TQ;TLs($2C:s.%+eoNttq۰kK7O0m_t_pZ1SsSM7"mevFZ[w -FJ*T*jФQRg BSu|]g:ɵzjqwmltL.e3sRMچkSmjkmWœިm++¦'tILk*բQ D,PB\lI[9{%Gb R6öۍmX-MaʉA931cs..G4CujQտ[9 }G-xwl)IQz j Ó"rqe&=]꾧֎c)<kӳ+0JrRR3'TnXi^xMF Bު*tIL.[h"2"nKzZe'ZV/RrNYz]8죝n]Ķܩ>^Ժ]u-7^\mZjܣ9+Rmn ߑv?oꋘ?&ƪy^N4o=3-ؔ̿*`}V݁ ƒPu8%$ ݗ]wt;\y\>='OjPIp/nJU8{϶FNMsf"ίNqƹ(+ ݮF2Km |jܴZs%zf*eȫ?]4)I۵nR&FX + [jDh(#哑9q9Eծj8noǕZf\J-l&Z˫}`ӎhyrΉn\űn]9pʌӣ"׮Wt?N4_I_~54#/my1Xr*척aS#DT >q ssΛW;3oUaJSRMDgQnt:Ql,/ ܷfRqiM Ȼ>Cob;A>ڦWقM9X~/!'MW.}Vrߔꔵ!5|iB(0-zF=}okڢE$^wW~nokY߮\6՜̌{i-AF*9)\t9IV6۸5ZUF6R$ŨQIq砳YUZ]eyv >hI櫥N )&l JulwE1GDOuFN2| }馥uC1rޫV+^gdb&W[4<^e4YW,d|htͮsUM)۸8:{3d{AѢ)~ \#J=NdƮꮓ90 |1K$v*?мS ]i$J,C,SG?/_՜pMSƯM|mG1V1$~K>CSvkuj=&) -,yLjuFHK{c駗.SOua;BrSqj-ۍZ#'Jys7[g2z/.u4+XV2VQ.ޕ)$"(%)#Z7suZ%j }BǬݕe)Jvz8zJf:hIN|svO1O#IEcۍjݽ:SdὮvu^@:o^5cs>i/VqmVm]ؔܢn6'vޑ̗J4Wn@OlKbX ;n:hgJ9ŻyǑz8f܌q&Y fN0N;[69 rbׅC2/#kE l&2~èMR.*%g=Ft.%؝e8<.e=Uv{~㻏"EˑnvDѭ͜Lu3u0:U֝$[M5<:oi+V4V9 6nXvx&_ q Qqw3W:uϔ2yb/(ɳ|5zQiJ#r|Hw#.W?4aDŲ\ugWG;Cw鐢K|xg)##=O.dF˟jMUvWĻsr.z]kPc9"]R)mkfOd*uYf١RsB Aîh=k]ʳUrrZsq`d#r$/Ը3o^&lRWȍyuW̦Y4QDUMJ65ƒ[+ygk XK_±k#y:8(TJOSQhJt2.DR}"5[) r)6V6u5k:eXZmv𭤔!푊Q[qQ}ҹLE- 8qIZG|UM4j}Mܕ[Vwm{} Naqµ"ԈM zOpKѰ?IAD3Ir0'/q1itoB5{%wkOBn-ۜduqIzYK60{+DʕܞqIt";r1mG/\/ym[6JƫR \L=S=OT@Ix[TMm{>ݾտ֒ݸӉLYIx>+"JVNzx||5rI?C{oz8۹e\R-^\A2F R+N9 vlT]"ۭ d)t֞i #E2jB@׵=#/N+!ĕhx}I!cM`ąZ*ŻɄҒ߮Y.Z}='/oۙ3IpW̮hT7cTSuz9>B}΄&h!>lӵn~j˅IvU.'v'CSZw8QK3G> ,J59ٷ+HSg䧎hJdzvwv-cvxS5[̊n~ؿ%ַX?O0\6ne 6kn9.ϯ} *h 8_QhLݣ7q +=XBҲ5?[[)+F`=4 }B,sNg==u*Nj9k_GJ)+R~GSPBȒZ:(K]heL=vKPӢwq(NrG^ثϣ?#tC?.ͼ[ۅo؞y#%ǛjVyLSw%T*s92JTM%"YkQО.q)gCͲn8cgi6j1MѾ[{9h^vƘǚםidfi.^RHmg&rׇz:}݃}xT$ضk'5s-狶,\vpbPD،=Okf.c#cdz2FK5T!&)|ntD<+OŹU i-G[EE*FDfeaf2QƤM\UG_{ǹm%\yrGy:.\4wjPGUJޕUV7Do\7Vy_13w;[?c]H\$IJ,*L]3b%L{y.JRKG2sq,B6T}(#nW|km+q5] r㪍bJ@y{byz,b踊3ϻJ,'^xd،)JVw#.Vټc''ÝպWtbRؒJz۠8!o9IۄS95E9ؔ-e9JR{dmnッ<[~n${~Њ$W?&ՐY_? #a.ߑv?oꋘ?&ơ|y^N4o=3t=~7!/M3>n8W홎2M`Qx+ z qy8%]7_~540ۦ彷]Wq CѡwkďyF5Dum_}~P(5.(X,K9vᯐ?leB9;Jhm#3{CxGE-S{;@Fz˙]=O'!ɿ]' r`:7'2bЖ>Iy,/eTy/V<.H?UYY{\^#ѣr9^7?xoRȆ7EoS_&??zϾM?(~Q-K&>"~aߨ t7Emsϛ+?;fCr)fY+>z$tIkjn_>vnrֳki-˹l= t;'EyC¥|/BLwBJdgjۛ$s S1|ɍV%JI6KvəhzIlBYɒ|0"Sy0F>eo5W)O+X˻u';v)2vVq۳kۮws?UʑBǴYO漪e2MIjPAک\b1)DDؚKm6ZWΨgȕ۶yjڳ 2ضN[C[|r@9Jfo<_eI7q.|cÊV߷:i.:$ȋ)1%%)ADZCEBxJ0MJۥy(bNsKM9k43IwNt.\%N簤I'.j|ƃ2$grBEٌ\}9:v*!n7M(ɽ]7c@XxƱԨ37īf62cTTfFK]9wntQHͮvٱI/f|j=7}\_V5U^+:uljSȃY(XI.ȱmo1甅jڎIZ2>#\*:gY|4k\8ZwSqtyA!+];бޞKծË¥e)#5ap.QK^8VdU{*ѽL\=qmjnB5>{ Ӟ`v±5 ^k&O~Oshɷ,;6nOW>u6{RqS`)S%jp\ipdEBLfTWy$GIYw~䲭J.1vSY5z.V>^+Ǎvc.I[R{QsNR3ӎfhd>y?UJ*}~[e\i5U^͛E]G_FS(Iɿ]i8:4zj~շsW,ˆsy:%O}iur]iF5~3M:Ӟ#N06)4ߧgdawIotiz:1r5YDZLHBSi;NQc44la=Y kQIT*ըl:tq2(է9VO4뒳܂~2rq'nrVZŦ[t7\oլfb/mlpc.I8콚q^1iE~䰳mi[dۧw֤ICfdFeCsg:i| 6擣׋* 96lust^{%99UNRvaMܽo ammi$em4D6DD\nA%$$#}۷/ݕr99JMն[oT޲E"KTaP+HGkŴj5TM5xƱOS-k`ۛkٝWz;{kS}F;~q|~^_|euwnE'pSupUP)V]vE+t =ZRaVdG6= *.ϼnj9:UɷbېmF_tޫgHjVS'śǕًdkkѻ_]Kv?nT>)^e=Ar1'3ԔILyD?:-^in):{7.؂\.:V }#뺾.3r̸*xbFM aȵz 6SQ:ײj[ 8nn iFMw rR"5M5I旘35f^j='j:nNW.ʭocZvZKV^ɚJ.cM1ZI7E'6rg탸5oZ=[m Z`\hbMUR١Ȗĉ):Jin!_7Dй+f̷eKҷvͨBPR(V`y6tw*MRΝcB.ڭTnc;P$8nFvm4(D(R#R-L -2:FP lxZKQc6I("Km%$E, 78uXIFA$RQI$JbInG]c[ֹ:ZM+n^')JmJMJRu{e)7jQDw~%yQl}BZujSSf۩QZ+Dzhd5o%BIc'GZ?}΍:>Ɵivז-%݌J5MqGWTVʦh݇ܟ~Օ_6 n'{3~mϬj'J11OȻn߃r Qr\3y٘+WӍ'WxEs^O3 o~[|7>]]H9݇ZomT@]?5B:Z߂'`V_+/MSKX߆ޠk3?o7y:4R/7þ] iG߬aBRU&?r&/} cQߥGj2?C5Yśe7hU=?+ x龳f-܈czW^7p%-(\D4h{UK&ӡn^m]Fݢ:`δvj俜F+) y[{{ 7 tu>gvrěOj'5 iRg[ͶFjGe n~qT$ci ۚ0oԹc*jL[sVWqj\ݻ&6"WoK:cnWmrv)o>66(F>=W^bf#c zzʞtپy%mՉPël e}J.\Zk4ttt>oEM=q)hJjI=ͥ(%]脼_88ф;͛gWG;Cw~˘$4=uWdĜTثNDkiQL9U*O"4XP`02,Ge-k5$h>ܼ]3vr6!9RQPIVSnM(ۓ{>;/Qͱv{3&-[rc)ܚI$n{Sv3[j00)-D3z}MRzVQпj,T[uVs0\}Sid;r(ݝJ>æʺL&c[jPK0~d(FKÝW\m]GTcF|Iׁ)I3~#oX%vҦEݑؼ5Żv2qAZTE^..M{ʐfȏ2##.R}*KʛZz^ӞN*lPťLf\G6[WVQquV]XAi)5J!,$iJ6o$tPZc;Kjx_n3`qIelV~vLy{fn匋Ѿn%;zV.n'-ұdd2߽1bZksPe3TI9)$ԩIN9Vơ\=2885N\ p)/a柛w9g_lױo8ݷ iixJV& ғRi{N^_oAŮE6Y7I$Nk$|Q)-*4Z)^¸%4Qm [I%.c-OV+C֧R#%ѨCe3i;w$G+_dy| Fzj$DI(=OA gj%v/]8qԯNIS*֩',Q%\44ZZ%D|Ǧʴ6&vֵI$%8(ԬƾS&#Z. }6z?b/|Jl{ץv&mpx4Z$”ڝ4-H%dGKfM:sKSRWeJAn]>s6应-W9'H]'uȫYvgK^\czp|My\鏩w/ËQ.)]\QiS`8uL뚛̸=J"ܻi\å'-)54Ue]:K\퓡vK xwBqrH\*֕TnzC.mT=t-H]SČ~Nu╏NÅ3f|͡G~B+Xm[Q7U{9"~jgK Zoʰ7"qJ,ekSeNGgϳ] ^.6:s}_,%eRg<5⿨z{ZPun#jRІ.6g T.!]xa c#jN$Zpl̋H WZu8WmMRýsĮ?Mco~sx TU҆Q :KDG4n42.<3/'^?6/ܠڒ^yrrÿr2\D}}B]^E~^T cɛ7϶Y[<֞[7d}2%QPqOLEQR\CIsj1?\}%tJ0e~ *sk"*)&ۓEi#{1J8Hrt|'ܝRr8)=ƔN'RVz:cf]F7bZyZUȘ4x8,#JG̒?.W9XnO]KO]%]ƻ O5Γ/3qÓj؍/r̺rƵ 5\&m6h.xoeX[=<3%< lZ"2h\Z[&jW3ejm?k&[]ųj+{N{66leu_+lj]q* 7g*knأYv= q ەdxЬZ|%GUrQ3jLŒqET]1% qkXYūYc[7Ś]QY\jko\</Lc7+'hMSUc6qXyؙ~6#ѯv.0$BQi5YyIhɍiy=KD!n3Vm[V%W-B%swa97ajۗ m+9~]fKq|Ddaˑ0A]_v޺mM5* F-BYHJ5}q>ʉ.6hyDmpD׬'-_v5;5[8K[viJ.3dR:oYHHh9I7:۽fi+wm^ [)odPѱ52CZUJicSw\&_s0uBȍh32džzQflcd^m|7GѹE!fO5]]H9݇ZomT@]?5B:Z߂'`V_+/MSKX߆ޠk3?o7y:4R/7þ] iG߬aBRU&?r&/} cQߥGj2?C5Yśe7hU=?+ x龳f-܈czW^7p%5|Y:SJE\U-(a_cƣUǽXXKiȞNlmۊڭڄR!**ܤMeȽ$|X5(Ź\rJ~ܮ]>'HB0cp XFr_c?f?7<ukSgov¥iG>>䙗i.+t+bOjIܶ . i^:nm}s}(3>NZ$2Qg([".>i.ƾ)B̋M8+"- >eE6DݥJnJˣt׻ 5.˅nJGwZD~!i۶a,Db3ZQ3O#KO5/֍ozuK'GbRi᝘NV_ҝcvם ZoX}F6z 7e5_e:ۓj=AB+iܔERadMBq*ԯ DwI/Gy*mĥiRKg6skY/#SN4e$-yXM YL?^ĸNNӪ{$r1JJRSLO]Aqm>V/s[~i/j+m>z}eI"Qvp]{ZԼ:{vPAG2=T͡@ڐ#u"E*>C;o$~C#_d/HBq^YRٽzIKbOm\~żjFFGdiQ(*/i*#.FF]©m=BmpQQQSP&Ҫ!T&^>:y)$ˑÐFčI Bӡ-t!bM WҦŶ'UZ=}zvn~oT/\ǒ'nr8 AJIӆz<^uߖ4eFC1i+v!3qNyߕni?4JZlmYFXFۼO0B\m[ tʄU3s"Sr(NJ;SKW72L4̏BVdf^Ҹj\]ȱ۪(ӷm?J-KEmWڽ^4<8qu%9pŹW~877ܾeVгS(յe^C]yX͹! םm4FGȋ\y'Z FX7e)|Gjt߹#gb\ŧq_([R8[qU$Z (ʻezV2V!iQ,i$JE˂٩ a(GK'O{vnBvryRd-RK4=qxZJMl_CuuIz @Rt㮽޳!|68\-l[џ84-2Pu" RJ_^OL>G1~XnBŬw6J0*Uvlږ1N G1q9IUm*'oWu][&UyYZbBZRZNfEJf"+2nF~Eû7n1xv.RUM$6 lAxSQJ&n5ܞwlEói"#>4׿Q.nEq7Oko[1wg8ZQwZYiqtm&~">Bo?w͡ni2峋NCEy Ҕ+%ZJ ʩq*fpˤl,~^Mχk1+:ݕ z&Y`KLӪУDr3[*Z :(SL&ݻ۬Vqsyԭs x|iI߽zZrg.:mp%6ԜvgmpIUt;QbS.Է) ǨKSV,*lڌ|5Jt3#NP.=+OZ~/G سIgbꥹJnl_DUM\iM!֔wVZuԺ,yV.Q>f v:݇WiaŸN5Ҕ[M7SsrvǣrMW= \8ZW-jsnڕ.ZnF2qt ً[ٻޘY۷Zm"Jxr&NAfA-݌to9s359݆mZ+N1-qS$D=17 x׵+%_ ve4ir6Z$FDڗnFtOr'7'{9C˨ꤡaYoace{Refnft RR"4%ʌm:Sj3)OdInTO>X'vxV#jܮw9Fog;5.~Y5\~18YQܹvj4+~t7S ﬕs %^۵ڴDZV69R^Y+rj$ԇoJKR5wB9C>Y:l+EǎS{ʲ{T6Wi* ^^9k/y/Cs\g*qڵgn4T8mERr|Ti+iPe;;.i\EBEJ 丬i9ɧM-ԼsGDrZ>r#R>~X9y4b棇9JwV۔%m(b[Tjvl}۩~nDԺ{Zo-YuK1vx.nWuO+jN [ٮ0%"΢CdTJK-RަH"$I(*ve &҉FzB,_Vpqp9m8werv')E;o&QE׵^d9˦j\_,ڵugZȻ̧8k+jK{wmr@3ӭ2 wFkzFVqs1؛.v'I%$[iT]D5Dl2 nk7qUxԫLS+sا3/ΖeZYK<["%-g/kRs:f3;*E ت wJ%)5&+&rw*霣i|sMҴ|;R+fm䡩.!**dӶ-6s6,]zAXMWjmnz%SJߴm2UXw7MQ%<!tKys#P,W>s;3IYwx<+i_\\\U6 u7P|xbn_k&ӓVOe䦒 VUr,-㘘"-LZeOSҠթrEvq8Kf%5%&K"#%vD/.ZYYŏ+p$nZkvއuW9㓱Z G wYIFyf)?ƎUm5ԉ/'k84{KO:rQI}XRuԪ|*lu)3qZ[mSm5R3".Xcَ5c®ࢫI*۳~wRϿQWޝ(EJrri&ۥ^ʶ齲Im|[yb;mnm֩uiܘq>E+Ikx߄3r33-5𹻖09ϖ9[Tz~mr5NsWl$oPusޛ^{Z;);sڹf\3oٹZmԉ/'k84{NO:rQIBø8Bݱ3n֤DiK4u& ofSȒܩx<˘|N0Fչ]qsp"}! QWw@t4ӭ+cO5%]'*{eM߲DRO1y*q8w++e!c߶ܪlZWّM欼 CQ̼빶lX{vib/V/ ai;x6~]+z]MWB>re-:lgk}պ!#9?%܋V-c[z!W?c7YNm/jRr[HOzԻefճ0q15Zp#rkQQ0tU-AmڵP/cȕ?0cZYj;:0ZM=D6g ?'UN+ձ[K ܖB2'xq9{|۫N0ku 7xaj;n\ 2[VznMlWiKbSk))f..)Km)&bGZ=>OR܍W:j'rM'wYz&/鶧{Sʵb"vջq[I-ՌZH._x*BagC'T(Q:$ͳQcMCKy?3g'ߝqnT);qs #ؤZ}OOI:cfnc8W~qy.;^pVl]Hԓ>^H^@7-AA܃nmL(uWܻS߿ Td95Bdh4t6*dDh!EhI[iŨ\L.&Nc ܮf^;$R)\rip9I|ٺ?#R.ZDZ;/]nݻqs\QE9M&Bd ]N mN*D>tgbK>+ˏ.!23]BȔR1ɝ^j'k2ƮqBQq[$di]icV/e`޵B.FIIJqbi>Ӥ|p; 6${)RU>_e}^dzdfzi %ekRVUS?6'hׂ)5.\+qUgzE2C˷ecŏ^֔ibk shesFWJ#~> Wk~ݨ}ڶ>ơǚ)׽ZƉo~B-ڼrvoE:Ʃ3ۣK7+Y`WirS):{>ڛ}:wԨ(J_";6R%[u&ƫdZ_\'np| RJwNeTW,=rrbnkڄ[M3ܴz)3- R.?:okۼ0TU'w{6&w7j1z3ON'fGoO?)S_bQ_¿R(^ԴԴG.EtMڇ&RUiW uQjU> Kiu1d<ѥIQ'RQ1:O/lŗᏩiʂv&Jc{D5 Tt)1.n[n۶X}RjqnOʽ(~[Ns{ސ⛌uO,kgo֢dRNQȄ .'6W!׌P朼tdZjFGE"]K@'i۪N;sI[{SOzk>`rRR+!σj8&TjlvA̷Q?HyjyLHNտJMjܶT۽lG?SnKN%<‘ nq[N0Sq[Ta(&t(|HGO~gvkݻTR4&Z$#ViOY1r$6YF?e4U/Mvxų:zbU^gQQ+NW_'4jfz^c'#`rvrڡ(IJ/J ݦ6 ]-CW |_{v*_q3^DZ}Ic6Uڌ8p7{crZq5ki`)mU6|-Z5^iEz3P=:Cu7DF'k%}<C-޹ֲ̱#\,(f88%X-N(ck0VLR~} G"-8ӏ/ϰKq?(#nrVTmZ;zióM4 m |UT'C^_1X.gXM{%ʤd 4\ovN":"y-,T)fLQgۢr=/CƹǨJVr[a+!rT|%Y\ٱzsS>jͱ.oOc6f$q% ǒGo;n[];ߎjrk{~\VۓNIGn:iqxo |~t5)Rxעri{Vi&NUOl_ѮMfsޕkЄay.0P{7N((BaIP$ K"U6Gl ݙqJRu+qN$ m#*p<|{:>-Ev=86N*MM긭U*uѾ?/^o7;'u,h4݌xښRM:5.(/ \իU.{F^rmF-Jɷ.>Q"[4xT^OZ~mK}T0ݛ^SAo9u?lX(' qj%=X}"^e4wˠ|rܫ 6I\Ķ;Ӻw!'ڍWg{ i U_9Avhۣƾ+:vs/MK[ɭīe{`Zgb}r[i'GE2J7Nez579wRq+Un ]J.cJ4M:h箽Wxxm^ pc\wcN%'My $$| :$Fqɏ¾^қP9J6Wxvu}ݵP>Z'FFdg"-; [¢cmWkÎT8nG%ݣ7*\խCLRYZͤiD&J#'ehbSyXK|y*ӞpS̍R`[pTr/Eg)K+92{_ n3zwz'oŸۤ+sOj J:`T>Cf*lwd\fYOP"R E֢̔L4ɥ :;.b(B02rJ蠟9>V'9M%)IqnhP<%,r'P/vNSwr#w"ݨaqc(|{kd=^0jTMR2ULNz|.<|^PfY22##!,K~E BEJۜ&jRNsHަޛg\r,v؜.jK3)[EJ2ii{KEiHP^&]Gn8x=K}Wx/KI9-ϵwQ%spܾ[^R}S3$qvq8M[ ozKxcqmJ/ӿ{_}7&ݨ\f6ZSyQz& 7ۉ[8~UNn|nkiTB+4RI8'Nc%tn{!]Ȋo.nEmʱn𵵥J A+wy#+ikǒڂ;՛s85'KmE:Ђu""Iģ5p=БbTY-ͽڔ詻ngL2Q}$de# fs^o{DUUsfwӶ;s1T,ǤtޒQ\෼J=.tKU,7čJ5 N$y3kdSMQU~mO[03 $zAڟsF5^뜞"Կ QHmrR"ӳηer+ҔZ]hE-6Jmt'ޒ=O[sQj)6K}?e4v_KfZheޓ=BV[bY}lݒTTЬ{ȫvO_qpRApVŗ 6ju=*BR)g "O1yhb=tqJ gtm\b3RY+JQ^Ō֍\յ\>+uSi{=x ^w;uӘ#ĸzLn*$anok߷CBӷ}5Yqvdž<( "_OWit5:EZj2 B ρ1̊fi[n!HQF82q1牙nqnEpT(2RMoM4ϳOu ':֧_Xjsg jP^(ڙ{2%E͖j^}ZU[Q$'U) <܂%!s"m R'G5M0<+zM6qYm$ڕ$3ǧH]?o2N<8F1̻r_my[Rf59NjpzBnl7*{.QP 3N&^BLJPjAHCK2Q}$#~YMq8 k(MFMU)8MEqTy+Tʞ-ar5yܕOXw!e;q-Jqܶ䓊Y:LC UE{/t>r"lI9)3KJjϤA 6SEE$d߇3KG*En|P\ԭTn6I-ƍKTj<1H_zwGr19wF N8ݝ+a9ɫM6mhePi%mmD! """"""*1bRKrD"vnrM۫mmĽm]ӡiG~e"˩ lhRTMk^MX["Jݱk7_ޕ*DqĒ&flՒ}`W}~SմZ{ĕ~wm*/{{ѹ_-0ط#P]xlڱ~Tn5wi*lڪ (JxioϏbqKYR|!|KN53 OS222$jzww%i}>N)E+rۥ7c$Ofl/LNث\6H9: FY󡈾I)fB֔JI_ ֣^: 9mY{66㒢7Uj]:.-os[R&gMF3˸#໹kmjq^8W"PΦURjʄWa˧T!͋ lW48JB2ko+ /Nw QwQzQ ے%$ޓ7^YL|r7!v%Trܥ &|M8~ybrn[RV gSn{{*#2#ԽᢏӴHak" ӌcwҜw&RJ07ױ>Ļ =^ BɆ)v32.M1=#6%̠tҤnzqMwԣ~s*%-j|_m*.Yx9Sz=)qE4 3pk+,`=kNRڥ=B=nŔNAx)Q$ԩȧ4z3t#Z2lҮYn$S%y- JzGpu|LBV7ZW#;Wwipܷ%(6jFG5#{$D"uۭ~]֫SrD܃fҎӾ+Tu>-ZTQ& N|$沸ii>eRWݳu'[O̻j8JۻEѩ[]vni= ڒ,[_%kC7I3Nv$4ɎЈeٸoUu:[}Do5|zNq=Tre%ɧ6&~DȍF]ƞG5q m]/w/ \ʲr8=oʔe9U(W"|S]uZd#?Se[W"ֿh][-7Nu:T=)R}.;ml*5Dlf $fF(̏T hiIUU4Szɕ t(%_|2 ~6eM;TƗK[f&]LK^CE2[ȏBOd;Mi|cx,^6;sیGpQ\NuJIFTJ~đArh* B"$H쉩eXPRj?sl"ԥ)su]xpԴY%VESH"ЋJǰ K&5^Ukzׄ8kEgS2h&Se\ Yl]WҶp-ZUvi7QS:4byqOo+[̺腋[6-_Fo.6[7$p&^ _GZԸߍkc.qqoI[9m߸YxOZЦ1uoiSH)P9Uʄjcq= S>֙NeR><;+ڌk%_qT].srNO?s[=vH[]RZHRMtᩗVؾ:/~u)ԍdg%=edVrISb{6vSu=(ܥ)mTv/J}̇8 S3ad:^hBSf؉OɔLhI_1d8,L><_A0y3rXq"'(۱;mFNII.v5_(^q~X>y{3צ I*Vܛv/jW' T'NR'j%ꔩ:mJ3SB}΋!-H-RJBТQoedi9tjENenPpke.%4]#{:>mkEɱdYWl\\\'nRM4&U>?Ќˉk÷!𴪛]]5}UqG~ݏI"O~s6(Ļ)qO~h}uԕd}Q~G,oE!&G&/]_H-O=o{k\̭bkv.Ô܈+;arZx)m?M\3lU$mk-CFXjTv6u' g:Vn_*qk:VC A%'4JV%EY)#BғO4<e׿jQQ]yUr4=wm[K1r׵%Iũ-O}|kC;/VcݩWZ)EHdžTru]8hgĵ-;=>U_ InvTm_jBM+QiF"9*{DI/iuo(=TzϖmPQl_v4z>T*ȴ>YF;ε\t]EH4ꌇ[VrLzef 2T^V>g2~kg5~Nק;{~Z~W}&ŒBӿS2$J?~(Yœ"˲ߩ\O]: J׉ښT{mmIѩn3˧)4LdFZ/zUG>U> n 5& ϴ-KJi2o]uKljvK3$bԔҚV旧iY5.ίfi96v7!v))FJM4{jG~Jt/lUE%pTAFe4qQk\ve۽/u/Im+W')v{\-E|Pms7߮DZRr۞/mu*1ՙaB܆ -xg3#6ۥtRogʌU)׎]ZҞNnŞr}F1Nnޞ;cZ{N}ۿMiuxʉ*3qi'9KHQ$WJxXyرŔe~[v5~/jN9Q4o6rJv FrdxM*iRjMzUinHdн7ᾞS=S'7 } ̽zt7K|_g J=Lq+/Bw_\ۧx\HJUPzQ<hqF[V0x==CsU7q|^ {)Iq38$_A(VgcKu06Ƅ"%i~_ˉk QCܣB8Ku/񋇵u([w}$F|8TՠI.E !;RJ^}MɒD_q2];Ɖ{5}*n7nEInO{Mwv}&q+v [V}Ĝ@%>#dXQ$f;iep.GquixVt x6bj͵mlKقQ[T]zs/&yەnM'W}!Fp_d^Tu N{ɻ'l{խ2.sTu{W^H&;1s)Pӛ6>$mě;Łnj= fLT)>׸+qReɴ[UR\L*P/!$Ӊ3Q 'K=m~6XqW3^W+ųO_[F$rR*u"T%@O +%# ]˽!aܽz{ͷvQh쩎]hGތ5ɇ*DzJDRNLi 4:{~2FmXY-zzĽ^f=]uū{/+&c:Ma{ĝDp2m܍kHș/(--m_vݮK(V{R}.k&yƴ7i^4@3f sK3^Ř˸B=]?gt5KbZB<e;kQLpxuWC}n 5ҴepB##~q= `x]KWF {GfŲ}?G.I9pjWkU]>={7q{kO/^I3==f1ɏ%nnʫ/Zu_yXN<57ۍ'vy/"8넭M2eԷ&Y,в33%IkjMr7xf nmQkX4踼>a-GcIeތw&U=-:qnW)z¥j :WqSZvԒ#j"KrIU)%qrmRoDGQ~SYRsu*V)  ,/x)MFD6O#]z 96[Ui(JRfw'y$GeUީkdMF-ݻ98F2d[o{Rn0n-xsV6Dh|Eb2E:KCOӪv4SJCr"J!!m,hRLD| ZYFm/X~ΧfrN&4Ƒ=Z9Mh.Mܵw/BdrܥniŪ8ɧ|y%œ[M=_tj?F!z5\evM:\ ~F-sg钬OWq“iiȍ<Gi%%n2rqͻllƑ)okw7}\Uk-:&fj솘XerV9yZuʼşdFC=rmo%~ZN78X(N)_7.Εn1MpJ}62jjJdI";R5&iLԸc:jmqiQj$ujp\{;v5B񥍪Xn Ą4qOERjzN(Ga٠䌡)p*v(J7#ZۻZ8O W uONb+^Qipv9GvֽƼϯrYƖKGJQDNPhRJjᡧC"21"9ѓS1;R_O7/WGz)8fE%F2ukmvSov/iZ&/]~KmI[:^~ͤ\kMi稜\ywJt3W7 8Ʒ~ݥeFgѼw"8VVSج\뻆}ݭ/J6Q)d|)zU3>k\L=;ow֯gN3pKѫ|wmkZ$z^2R:E)f>ς нd|#׆?\ǔpV{;\$ƵE%-ͪm0S6[n< kE[}mvE4DDZ^$OZ0*$~XUv҅B@^?]so#%ojw;Y#SxxueBگy v^i-)s)zV jC{7Gt.w3v,ygg8s]aE_,*E tY5k٨h=o"m泏:\6w噓aiL׎n^c\75AGkЯ0Lf46َ`egZ˓p/k;̛]kq!ݸzpԭG"}R9Ve>ˏHUjJ-&7nrnwG*Xv\˱/vN}O)ʼn&CV͍f̵]r\PMB-6Du-#RͰtRN^)mT _}nSȕC*_xBuTkJW[`ɩ`ejvsngP ڻ.-WUtܑqԹQj)t;vN&RNũT+8%IXӃ5fK՛-d9 ]CƑm|nZ-6=Hz,*aEm W3VzRšdY~Xf׀Xx"]s;)5u*ُHB BRGS6bݶؿ 9j[1*jױga7oX CUI%0v#~\-O-Ꙛuɷ쏪&5mY٦M`LJ2qK~HZbr =N'YobI. (^ ׾{_ ?OJ`S`3BN[}5w6:ǵ/iSlt=4F*d&T4y/#. ɵim5Uֲf 眕6Y7 fơ=3dϕq뚩$qTM-%r!$@A? ޾V0c~{[{;򥧅a~ڵ»&ڄv1ek=wb MLkNAԬw-x>~/r=e73VeVN)K%Sښe"+3uXuچrn ֺVzscJ峻m}vb㶓n\YbIUBT%*,0nov=;z꣓S/nSXSpl##k9mXGrZv^Gde!ŷRԠzQyjC]`gToPov{j~KRBMY}i[߶9KL2ԉO0K#m>wB[ٍ+n[[b٦DX ݲpo] [\m5qdT()mo4Oy9Ie b][wղmM~vmi۱~t \}$яimRk(L c Cvk7r9_r1 ;zv|F@KyZ[&jEji/"6$69ml#e]9s\{ScL}Ȣؿ0q/nZ*t,CLoD߉Njǚy=Pgmu6^]l-["çUʖMlʍp-"qmU>۷uFOJ%Ǔkx 'g=睋k[3u,{³WɘݪF]ՍeFX"Oy\,cچ=w/gn Ļ]#2? vqy-gXnR.^}ݺFs{ŝG]}e|#0mjx"ƬWكm?rgU^xVB":Dt>@LRbun~ݭ,w+v⪕;\U(RYa61>#Jm˞Μ9g9XKaG='u8gf}'qy#ɉw J]We.ʲ-<+&q%s?2dњztҼn`cΤmmqMdz O[-ߩӲ&;[tmܝVnr">{x<8U+p:Ig]zjGkt,uzf}dؠoJaکqEq -(:d<պ=eKy[˗^%ZXkX[C2߱\ITTLGzANM￵i]K>UsOGDDD.ZF6* ҃V Zhz{'xp^`wo8r0h ZmJ5"jb[l=yUu7-;7IT%:jFjߖm0tzU'K)څNۧYJ)4IQ}^KWm7kSP>q;ނ#)'n7&׊r?óM{IwR\j2Qn[v pe#/tAF\ϵ225q֒om6z})6҅*oqDsMf CNIN=T S2t,_ѧ}kveMF0J\Rnnݙܹy[rUc-j{yGtkQ%s]5qB.Nw.JN1LvR Ui5J ZESQԙr):MJ+g}χ!2;q([jAud][ljVK3$ײSJI=/|&tl'*n۽f.frܥ jQO8>&Z];.|7T/C}$ڋUmP2Reҭ8hFF\L 3~e v\۫]ݝNmrnB%*]Z«hKc=BTLG :V74$=Ǘy+EX'4tn(I:Ѝ;Df8c,k1%dJ6.j6ź{N~l6&*fœI7 WAlGOu-ҢH,,(ǔe뿋쩨kM܍ZſgRvQ' 9)?n|er˭|I|-fGK.rΛp8XV1%K6mvG+tc+qE&ǸC_Nm:l=_/m5^[dߌڇ.c<%:)tQ$Ow~-aY;UJ>=F)2[nk؆?훐M=l6[4(O.]2#-H^n#->&mp5~Fӛ+|| S,xag%qkEUzUgæBhߕP(7]kFnq?֖CpruZ6*rEڊtS|*tI*E}7R<,nUU֫^I7Q*mSly%rdȓd8hE<9oHhMfNSRj[i7D[Rj݊+kდq{"$$H?p\̅S?㭻;t~R߁)^/>Qj`yt[w ԛ;²~+ߔ_ YW~|o]?x^ᯛ `ʼn;g)T@vWn]>&4lp+$D̢1l|ȨF%-}.9[}w~ ԠLM9hСablfe&QoW!s?wjLK?s7yO>(=C~_nyǜu?v3vyo oI@qV-jeES^[9WoSܝh"l2C1a͔CiJ@3:Pճw=/7ovuk+\V;lDgն<[A+rX~d;m!_s8ݖ׷;;.0llUC+?i#_crʙ1~C.\–q ul8Hܶ2m`ܻM3Tov|Bs rɵ"oLS- DКw=Tv@f'6|YlD͓Y%׵-#Ѯo%:&!3o%\J<02;K87>^vgƓ# ;ݝmz^Y6=PS39U%~ &f# }o!muH;ʲŇ˷yvP+&.7e[3'vR4Yj̗IZ`e˽3o[WU{ m[sUbۋZǾۆl6~9'V*.\S2<Sd*zY[aŶ`]C$n.v^Ʌ dng>ەZ,Mmϑ :n6nϦezWqUJ4! ۇ4R! =>>Fn|Q[{pRO17ƕ~._I''00k=b՛o}Osðc2'o\3}ݭQ^2 . R1yKȣtAݿ-uܾw!`?1Whn|gzUo[ECWwjUIן)^h#1ɭ!/Z np;o;ΗŻkXs."6E`Z1 עӐ9Kl8qd q} 2Stt;#j>;խabONŗ=fwP1j)l6J̶|gV2`y/0E˛6+ԫ1? 6}KW c\KoKͨ2ۅFw–s*TԞLיuDx .kCzWXhy۶gLu|%TnupǺl-S* PRaLnT+c+*xl.v!.U=|; !_L̎뱚U=4hm:ٯ"y)$:>%(n}X'p[ȴ ^˒4kƓmzDx \ 'NqamP7nyN݅=j7%McSڵj%STy qXymvCg{w/w=wSW5r̹u erծˊsOm=DhEҚRb#n)QOxtվQwe]I}wCa'"[ۂ-z}2UuKP$㜉ԧ:mc<Ý>RoL?wu|%ҷ&K y_!y9 ??:tq3(UU-lkS'ɸ@jdzQˬR] EVPW1DJq2n:,c|ǻ̑;y{X,ۂ.u.b˕u.tKBjQ"[S園S`ٮdNبeJ&9Ơ ~0a(Vm٘L+Jr*vڑE( x0+tp˕ n';wm-ޜMOxX>{#2%jgb2M[`K*\5@8l'e=0u+w ֘鳾{y܀:R*Ya]"Ӧ%ktynlۣ65,3gU}{GYrb;ge'TKwǘ.,rpܚV]Tr,!dp /ԺU,xՉ>s׽~W5oTh yx?xrrx?)?ilbT׬,z$Ԏ.UH٠\U1pU:]JwSrGZq8àd驐,N67QYBӢD㏙W!Q25ϸo9ms-7-%3CihO.J鯽-;MZM8ku-7k9S$8]q2E(}bۏI[DKOK}3KUB^u %Y,u.-&f#]'܆o$x`Yu,dzwM;#oKxn;\[d7}Rb+*Y䛂ZuBӱl{j0O̓}LhK;[aֶaGL{Cb#S.T[>߃F]NK"u^LUʐ_ykW?!GRj29͖qa'0[npcDvV)qz9R)PۨM^aJx W] r>];eN3vxdmĘ(5W2K1䪖weF{mE/QP6\u54x5[hۮ-Nk”i[lUgL]J}5 S:EhiUrgHl!ŒJ$pe=q^b͵Q' ?6|R\,JA ڵ"TDꈭ:ymg`B5t%M] <N_zv2_Ortٵ/i/ReӮ*7[qүqEG* m"[I:6e^p"I$jԴęh!m)]GZkcjS!{e^z}+Cѥ9;R|/ֱeiUԏCNu2Zhcٗg$ݭwvr P8*7/Lk~I'Km1+MW%Bk|oOm>-#qj*|Dbѱkn|n{v#jĮqNpMIUm(7Liz;{ҜݞڝVƚVϬ+sO!OstGvxӉ']uӎ4g_ 1^-8ۦ k!)Ύ5O;YSB#2Zzχ;<.ֵOtge~.(RC#wFZeGZٸ6FFJ4e2ˇpJT$[wgV)q6muDGJ56q\I!̗ y/I~RtJ9kJ]Iy*'FN0s.[l!fw'y(7$œ WƫgyΙdMEU JQJv̋vmrۖ.jWR_M֨djYgSj0^\y'EoECjm$ IƩK>Z28J2TiJ2N#}.s cArl嫶nB.FIJ.)۔\ZiM>/hLĸ=C1s[?YMqp|94- 鮝𦔽/k^#NT(Y LS$6˩}{;5 )B۷W$qpN)qqoot}ZDVә;7TiK|6f3h$dԄ}fqݡ>Nb򗉉+ͶO]>ߡ_VtYf79ڰիF sq~prս|QM)g%l0ocJȨHz V;Bb/kLAcfPJ,ԭ{ƍgpjNR6VSI*$!yV足jᇑ.](EܣqM\qJ2eZT).<9UB/(B0j)mtKEj#׿fDI-=rZړj|'Nڤ]k*i$5qt"ݙPM6E4ke^Z8ۏhz$Q(R Ay2zfRñnpnkbkI:=j &ΝșW?׵d{+ύM'??XqeeĽ.[o=UxFS=ӷdZwenՄ]_X=ĭVa* pKs0ބۍfJ3 gz̚i|wnxtjc¼5${(1fXQ65ȼb̶Zkn>%FQMJXӡ{TZEVNᖣimT/37cNJUPnP҂ZOE~"-Rc4^b- FEͧtf5[)S!OZIښݲ͑;tvܡ+N)AR=hCNn;wL16-:特7M$=Tҕ-.R[HٷnXk sn[ҞD-0WS9p9:-Ϸ-jѬNu{ҹfv)[Ľvwfg(ٷfe+0mYj8Q1\ݧg]Eǎvڿc!4#j5̋C2"}BRriFp7=ô\TZ:\BLfj#I22װ<;صZl j 6:l"6]۸ K'6RTѯ^ئOԓV\?$x7s#r:Oh{ց=MmuHԷd{pN /܅:UE#Yy+(SgQ(Щ)RHzw>^Ѿݻ>mK&^ '$Jۻ&w%F|xfz%˳ L~3N?Cy9 v w/{ƿ kz3x> sXv}vP"@WyC z`'톽Dw%-tt yVY\wmuPYQA0iG-2JP,6/gˢ]u.-n!Zw.N7Q]Df}Q0({a\@=i_X7gFǘ8^⻲}G MZ1)WEfO12G+=-B@z\`||w6ċj߬m}UwRox֢I &c~XGP6Qndpvܻul'V7^FJt^{b^B(L~sѣ6@߿^xqU!ڙ5|Vpvef-uӥ^3  FSDɯKD%0r}FF穛r7 +o"V8tv̖NQU!5uFd"bCr^bJ=֤fM#ʳԷP0O-9xRBm\=`r-:;~3Tl(nXtXi%2Vٛ#vwqƴ`L@"H‹qW.j,JM5B[)WܺUeZFqc'V˷1W7V̾-MHФwn8N;HPSdݷC7&2j.W\τGŎ'Vb]c.x+Rx1%C2T{myg[qU|+m:M:շ8҉yWd)ՋWS%%:iqlʹmGwݹ WnNŤѩ5(9hTٵDdGUi-)vSs2 2{OnT$Xck n:¶(lASLeȔBjμPpTb2~N2~%^k[ܗ[Jzs0ӓHBKq[}JَA-$dFQgjxxFv4r/x*Rm% `4J(&iv7SkԲmSH1YWmx 8n.k']:Z˭_W >ڃXЩ. jTq%Aā[E}amc]D:rmHRiu:uӚӢ\p(5-q%e)(۬ҖȽIf<߽pr&ݫVfY91q2ĭEQgYbTGQ&,yL+N$[q*RVۉQ=FuTܻ>f>f㋳8N6$܌n)9&»iˤsX,݅܍ȩv+sRTpO}d?Wn/Inpȸ%O]StQO|v5\}7Zwb.AIVK^:wb{[uݯcytO߶S<{8KSRׁH̏N7ۚ[xkwYy_'ZӵF+>쌛ZUĦreE9F[24De{}@:ExWs-\ǻ7K-\JNvEk%:s˙#κ].oͳ;լ7wB6nwu:$L; DkI#Wz.:Xp(˅v$Sq,wn\qIN-e<5Oe+vuYTpcojUI_ާP8 O 7&VL8z$_B-H-[uh]T{|8=qVRN-:Ij:7PUtXϷmy鉿:RIM~33ӸS2#׳GdŲ5+/Bx{(WzȨ5Y㞎#|˖+ ط.|e<o/rߔX>7s}VE.OVti׽ .5nNJO"95{#q}Ay9do]R"M6z\tnNS-D!@3N_jicWsy*5uٮRcWv/.,j}=S)j5C^> Ie =gu9ӛqjtz]۪TMoߧI!Ǧ¶m:,"[L!{qAv-o 3{"KʼnrIkfٶj2ƙ؄S`7` k6jzޞ?e5G&6uʷ2%ԒRKE*G\Npom F/V |C0.q_eenƣ<5Oh'67ɪn[SĽ{ڔjǘzs;~׌(ۂ`ܢ1ƣ` _l9Va6%UQWh~P~\F^ZHR@:ۧCJ{ôGeBh;~ۧnU J\O+n2 RҠ)ng}Kh{5+S×ܛ.1ZjG)iRȤIN 4%{oΜ/eO[Nffd ĹK?nnԼMqX'܌nZvq<ķbFnͪaQ`5 s,M_լ?-@_{w{ӺձJ}GF[%v\5[ŒGkOw/ΜM9rjË%2+rd~+󲕛C9U۳r[aJǭm|˒LAʨSCq[XMۺoubfp:t+ΤĻo ][ zt-*67kvS7D·MMCQXm;)܎n_h%]4ܙnRk!]ڵsDUF"`R, &#R_*[z*ZqFXɻ]7|۵w+'pFDەs=r./ᐚm3Hשy yD"jHCr':sA65نѮ^o1V/ f;nFr3VM)e*- s D'H݅fӧ\*޷[k<7u<-]֍Q8R h|p=WlW3s%Q %3l}@U-K6f-NϿu|ڴmWN׮[׸F*mW\%r! C78:޳vBG7ŵ.JթԚ2x)ST!řn~9 W:Wpܢ件{xf8ٳwKE ҰWxVB\qBZ 2wMb[lGSnyԚ~z9ZmያvoN2Afnݽjf>)j3 !;gOYʹK" Wftڎ+׭b*2ϻK>ۢӱeyԪXISUm[z+ugX%0lϏnvg!;t{BqPj>PyvR7Cj]O%+ݲ :qiMj6W}3vC/R=4Som]ŗ=ю, TF6U_-\6MyskwMr&Q\wjKܩyMϣUj0*}RZܷSdY3>Zjqj6TgzpA/M`/Cmл,޻feE[/+uk^Vs1W$G(JsW2ٰu*߻q*Y޵.Wi:ur5T),=0uRmho.twܖiYwrWHntvEj8qhf`Ͻpf(R&>Ki%I7$QӖm-2 ~yߗQ-앑/ x[k8nw.c㩵k}]FkbJl:{.(˩n0Hqvαp7 귎.Gupx[N`Yq'+ruU7[ү+>!xrȫoSo]OC# d^Q]\>!ƛGw^Mx"-+%vdX-:M2UR%d>%l ioSu6lsj7D P>XxHz Ukà(n^Q V>5cVtWj SEiJdznyej[lE' 3kuٌNn4JW)gB {4 j6&]' m-(ZMEz8cz>WZ6#7+[,MR-Z!4ܓtCyE|umj1ƽvƷV\;%>Q :#Le(iVz5 4ũۤUWxX ^(ҔsլB2w-V ^R+; ˂M\z+Uwr+RWY⺧~ Q*JcYSNSλUd8in=v K낫k\IRרSUaCFmϿ5̗P|u ZTԕ}>oYѲ1sfP+sQkX8Gb~6r,s>^\,mGL+7[n-E\.Fqḕcl*Jmjb5 ,m]c}NXfeVlǸJ5eˡ$4%g~N p4Y*WwW٧<8v#;qԩTut,m"#Y D\5V`\\Lȋ];LȇiS6ϝZ l>LruR\v=ǘϔDg=ԈdFZ+M{=|,[;0>RiSi4,S5}yxw&(E7&fݙ4UՕ! ~'Id)]ǽu2K-fޭ \08Vڅ쓬=Vy^^ IhyKR-B#Ըr=]mܻӾ'*Umkoy rTqT_i,/8Q^<ݤ|4ԻO(܄"'5N~#m.(Ҿ2i6Uev&I*<}҄$eNtÛzyWJubW^iBW.܅Wڮg]irO6Ve90sgv.+sV޿aޔ[p?3q*FutUo*eL\KM'EG*ZcAFfG5J 5jj=MJ3OK:k˝'NMB7m3uFҕ\-Ywg%PRqMIyZGY9|μvn߻5cWݷa^+X֥vnݘ\v7m>Fgzv"-;Ew֝}1|RjN𿊀7g#֟*GQQ|#/bo]p$>_Un9гUbn9׃ErQBU-^vDmVh'<R[fdHT]*~}3j;nvjc7s-rӳ Y8[n[1pJx kX[Jk9Mn!_Nю6x:iZ˦U |߉^Ԛ݃hYxk &U^bwKk.[jE+P(˞=9j@snCv7%c_7=xǁ<l {t'酚+1F‹l׭:ݻILruǶkL-L(K0L1&>wXB(pm;1fpnlp֓%Skidkt(U +xulo'/ڕeN r=^pZZ:Pnj8Hf"48ijY[ N[yZٻ+=  ø:3 ?^ܷ^Sr#YK[UF?CuhC b]GM')mڏsNrܗI]ljq6VB. W,UK"YX5{c >Iqā> T:n!,5l2VzCl|+I[*SrjnS6٨y+x,@>П.g+!rn9>N|W>OZT_ut Y""v7|sfި;Pclm EùN,{'fNT%U&LfH8~1v>Il}统u6P˗c(WV~H^bMU.o*oOF0N:_:6Smr_.b+|ݶYY غF,mwjv>f*>QM뭱Sd:`N{l/⎱;n-z~"Gze퇎J5S KG9!Gn;N1 ݎ h6m|S?ɂ5'WOÞ 7|7^ao @mxGmi^jϽ>01Mf0լD3-2T. VXR"ɥV Kl J O7|u?bvа;6.eߓ|[1bmRr,eRz`z 6܎-ͨku͹Fː dPhYgZUj}nvX;z=gVեTv_J }\1n7w2J?ޘγc\E 1Aޑzq;\r]]\Y&[nsNei\uURje*Qk2CSl*xJz-xٶlm+|UjUؓ`Ladqiĩ!Gd\W~fz;Tn*PdRM&T4`չSWq5k훶(N"Ӎ% V]֦wb.nUO!u*J&Oӕ2e|Z=eV쫚΅g#+/RW:طnbi*Wyo)p{:ETKؚR(RY+r웓r(IF) VmȵNB:h Q1ғ|u8E]{,'$-TR[j49l*3"I鯴zhd>Q+\BkNF=.$ZR4Nwհ(IpNi.(Gi33#33e$FXK*NdWrud[r{xnk$v2ıh+J1TQ[#JQl[tRO]LHKٮ NӍnF񨔤֞Em'MILB"ԋ%dBŋ+p̿_17jzT~4pc Vo\ƹb9Rq-'1j;8ܗ)hE%DZKS<璸Bu*%*Yw5ڻ9ۣ^z4U; Ñk\U(o~G?VUĎ:?P?_F_Kߤ~ᓾI |pr.Ok\SklRhҪz{­P .}SktZ7UQ4ڌIM8̈eaӊJZ%FFZu,KZvln廐SNFIVtuNi?CM5]+Ph,{jN JSR$IS^tSUVrORYu.9WyP6 [Kiu m!X|]Y79ӄ)\ģ)pbڳr%*&ꑶ_-H*dzk)1 V3')UAϹٶWRxe'պn۫h7AR9 EAJeGLms!%D| A 5]/Q3eb̄vnVn%za\m kZnv([emqrIҕij|""><hjJשvvǕ|Pޟs}V~2&Z?+2N&Z4w@)4iSڪ_>/JN9Hiۏuf8'It[ȲR.hZ$ȋ_Y ~U<UUO*6b)Ovzڜj\R̋.$FsQuҊj^נ䈈y<zZIuP[}Qm=C?zN(Exqu/kn S-FzKZzOסӽjJ\)F3b!r5ٝ|;6 o=-3*λ]αb\abqRi-w޵⦪~b8Kpo)Z=>)ғ"5/GTZLE-輵f7ݘ۹~+&+w/7GFI:l33fg.N~۲\2|*cnermnnM+Fq"ѪIz%j =YW8@~gc/~?N'?)«qȸs➟n=k" X“m֮VreMh2[uݖ] *FܖN)MȐ`f0 g,C9̑o;ddudJ=In13:ݒvvdMUEJLp^,6t-@͐9'{7m{-3,>hnF;ѰM)->>+Ěz!R* :`e--m7nB\u{b U>[8֪]6^ߤLʦ\DFNo$$dͶlgno8OrsQ\l̯hRo8tuNo+ CTxu!2[>ctFpeޓƻֶR"3QrQuOѳgwQr;S~)6HhZw/GgVTmUf_yt7%$];zLWF̰xy2Ʉu!MCmš_0[W6jf#a-KLi+3Q7c^qg%s<1aYIQeZf+}>;S6L0]Yu_h9߻<ƅpmiM$AVvŚ,*#t2.8Y)-Zhshü97/#Oro"u^/uFgWɺ,p:6a,^x%$Yve^3PƗMnTP&yS}OJ '덫MH^:rXԴJۋ/rI;S*,+yz1hv)Qw^ڍJ2oL׊q(\fDj:^T%vOadɂnS}ZO)N*λdaȜkG_PIEO}нa(^iQX᯦-7^)%g'SJx(.S9zVɴZ{E ))ۅi/s7 VIV-|sj0*UBTHIqRf>FP$KqN0 R̻8j\GcC}IUz\i 6F)Q{Gҧ3qSzKj-Az VЛS-zy:8*mNk|D鿓ND2u+0Yŝ7kqm·?8Ib]u>˗^_>(]vӋzv+ݩ){vZrJ2RQ몋C$z [,pp,8mڊbR]Il .f~d/ݓs㓓mͶ{mgjQwn=Oic9ܚm4Q/6ݨ[TƧ?nԶoytf{@AzT{e{[O'ZRZt~AGD?s3􌿂ՉIw'|~U\ w~di:Kޱ)U/sU%njѩ&GSP^ǝd)..!^U` 1wX[aԇSxoFV6_扐)T 2Mfd=ۖͭiZ7KK Bi9%7@<3<ճԻU,},a}FRqɛr i@ONJvK KLN M, ʖv0n-]DwlI-X6ܶ$Jʴh5O+mOI+Ra瞠\ MG7BفjYo1#͖0V`Ѱ2M?c8>-Crt*JkIGS:e#hPKx[鱼>{5m;wcն&>j-M֥^َ) 6yȜl_w{-ō̱r> U=]iw3)r*]:K]6BdCTZ|>gf}LW}[$'Y5 &c -j.z6R 67MԷFMnÌwI7w5E}o޽+K ֵy4܌ȥW"COyR[q5Ӱ͙f[v"_#q{MV6܍3"u9BK(41ӯqˇc${ߝCi6I(OmθzҜ5k^:>Jzw.>qV8{vU[ڶEm|DžBz].KHjI]x;Mɗ{m,qZXr忇2u^RO2Z}ZێS[2Jen!*NDcrBUً4<ǼMҲs1Zw57c3&ĖڻzmP*FuJG1-dN:|OU}ҵgi2t~F^^Z.VxjvŧnNNh<:]^~NN+ge^g.SԔGFe߯'[vn'(ScJ]kܗ7eJOlRrfziݮq̋S"\*U<*W]k$FջV}? 7g#֟*GQQ|#/bo]p$>_Un9;l S VvQU%OLU{οmU6bZ1MTx%!֙Q7, J=!3 ;Q,ڌ;6ͱ݅q^&ߔ·n #WbwӖX.HtG)N&d̵zpI,n cu ޖUj+VXUp[w]N o.J6Z8Ts&utxln;~HPHS/xw`G\ʡ¿rj Z^vt"[L:SD\h0sUwR,}[x^X,R2Vn< ]2YDr[SRKs8tXb̷G?Ps Tv 3be,zVz D[/I.KOEQrm'$7|[J>r S`5յwT#\w1FTz\Ԛ &"ׅhSHrD\'r]~/>p;:Piuu:"9ő=tTaS7V2rӷk7mb[^WmPp*[y.Þ6f]cizJCgRR@UVl큝.WJP1N{/\whZ ػϧӱE7|E֫Sί.x-Y&pi%v''-x6r'Ws*6=DwwUu]=C?MK [yrtܒG$!WGqJ*%SAz ED[^)/tė/g=#Omd.|^n/sl׉g DZqemqowݮRzUܜ=ڽ-o/Iۖ;qVʘgPp|mm;6zGl9.8pwWgsJ2qPbe}}UpNjٯ}7TMQKrؽtEx%v w߾8%|j;~|}pK]ơ/ w߾8%|j;~|}pK]ơ/ w&~e_H 8PL7:%ʭ5Kw&U2vwR_+rm'}C7#rWoO&HoG?M$UR7{FU]u ;# !Wk`|W>׹潇9Vn)6)*ҹ{%qV4q>W1vi#T"Qk&GwxcJBJ- Ϸ^ˁxkU}ԣ/3.;]J=<*)cS)ROK9H=,r zX @)cS)Da^ԽQ gxJI=w֣gf*TRj

#E-mail: jhwahn@pusan.ac.kr, TEL: +82-51-510-3087
• Received: March 16, 2018   • Revised: July 16, 2018   • Accepted: July 18, 2018

Copyright © The Korean Society for Precision Engineering

This is an Open-Access article distributed under the terms of the Creative Commons Attribution Non-Commercial License (http://creativecommons.org/licenses/by-nc/3.0) which permits unrestricted non-commercial use, distribution, and reproduction in any medium, provided the original work is properly cited.

  • 72 Views
  • 0 Download
prev next
  • This study investigated the role of multi-layer lever type flexure hinges for high magnification of piezoelectric actuators and their optimal design. In order to obtain a displacement higher than 700 μm with a common PZT actuator of displacement less than 15 μm, the magnification ratio of a flexure hinge must be at least 50 or higher. Under a limited compact space, a multi-layer lever structure represents a useful alternative. Restricting the important design parameters to the number of layers and rotational stiffness of notch, the maximum required input displacement/force and the maximum output displacement were analyzed according to the number of layers. The two-layer structure was selected as the best option for large magnification ratio because the required input displacement was drastically reduced. FEM analysis revealed that the lever thickness should be larger than 12 mm to exhibit a rigid body behavior. The output displacement was 664 μm, which was less than 704 μm expected in the design stage. It might be attributed to elastic deformation of the notches of 1st and 2nd layers, which was not considered in the design stage.
최근 높은 정밀도를 요구하는 산업분야가 발달함에 따라 정밀 위치 결정 기구에 대한 연구가 활발히 이루어지고 있으며, 특히 압전(PZT) 구동기는 빠른 응답속도, 큰 구동력, 높은 분해능 등의 장점을 가지고 있어 많이 사용되고 있다. 그러나 발생시킬 수 있는 최대변위는 압전 구동기 길이의 1/1000정도에 불과하여 변위를 확대하는 기구인 유연힌지(Flexure Hinge)와 결합하지 않고는 실제 적용할 수가 없다.1,2 유연힌지의 장점은 백래시나 마찰 없이 매끄럽고 연속적인 움직임을 얻을 수 있다는 것이고, 단점은 유연힌지 구조의 크기 때문에 증폭비가 제한되고 축과 축 운동 사이에 기생운동이 생길 수 있다는 점이다.3-5 PZT의 변위를 증폭하기 위해서 지렛대 메커니즘, 브릿지 메커니즘, 무니 메커니즘등이 있다. 여기서 지렛대 힌지는 증폭비가 크고, 인가된 힘과 평행한 방향으로 안전된 변위를 증폭하는 장점들이 있다.6
보통 PZT 구동기의 변위는 10 - 20 μm 정도 이하로 작은데 이를 50 - 100배로 증폭하여 큰 변위를 출력 하려면 지렛대형 유연힌지의 길이가 커져야 한다. 그러나 유연 힌지의 크기가 제한될 때는 길이를 줄이기 위해 지렛대를 다단(Multi-Layer) 기구로 하여 증폭을 배가시키는 기구가 필요하다. 이때 몇 단으로 하는 게 최적인가에 대한 연구가 거의 없다. 따라서 본 연구에서는 고증폭용 다단 지렛대형 유연 힌지의 단 수에 따라 입력변위, 출력변위, 입력하중 등이 어떻게 변하는지 그 특성을 조사하고자 한다. 지렛대 힌지의 주요 설계 변수가 지렛대의 입력점 위치, 회전강성과 깊은 관련이 있는 노치 두께인데, 입력점 위치는 고정하고 회전강성의 영향을 비교분석하여 최적의 단과 최적의 노치 두께를 구하고자 한다. 각 지렛대 힌지의 자유물체도를 이용하여 각 단의 변위와 입력하중식을 유도하고, 이를 바탕으로 각 단의 입력변위, 출력변위, 입력하중 등을 계산하였다. 또는 힌지구조 제작에 앞서 힌지구조 해석을 통하여 각 단의 형상을 확인하였다.
2.1 지렛대형 유연 힌지의 기본 구조
지렛대형 유연 힌지의 기본 구조는 Fig. 1에 보이는 것처럼 강체 구조물에 회전 스프링 역할을 하는 노치를 만들어 넣은 형태이고 동작원리는 강체의 입력점에 변위가 생기면 지렛대의 원리에 의해 강체의 출력점에 변위가 증폭되는 것이다. 즉, 입력점(L)의 변위가 δin 만큼 생기도록 작용점에 힘 Fin을 입력하면 회전강성 kθ인 노치에서 θ 만큼 회전이 일어나고 강체 지렛대의 출력점의 변위(δ)가 in 만큼 발생한다. 강체 지렛대의 자유물체도를 해석하면 다음과 같다.
Fig. 1

A lever type flexure hinge

KSPE_2018_v35n12_1191_f001.jpg
(1)
Fin=ML=kθL2δinθ=δinL,M=kθ·θ=kθLδin
(2)
MR=δoutδinMR: Magnification Ratio
2.2 노치의 형상과 강성
힌지의 회전강성(kθ)은 식(3)과 같이 노치의 폭(b), 반경(R), 두께(t)와 깊은 관련성이 있고 그중에서 노치 두께의 영향이 가장 큼을 알 수 있다.7-9 여기서는 노치 반경을 3 mm, 두께를 다섯 가지(0.8, 1.0, 1.2, 1.4, 1.6 mm), 재료를 두 가지(AL6061, SUS3043)로 하여 노치 두께와 회전강성의 관계를 실험적으로 조사하여 최적의 노치 두께를 구하고 본 연구에 활용하고자 한다. 노치는 와이어 방전가공기로 가공하여 제작하였다.
(3)
kθ=2Ebt529πR12

2.2.1 노치의 강성 실험

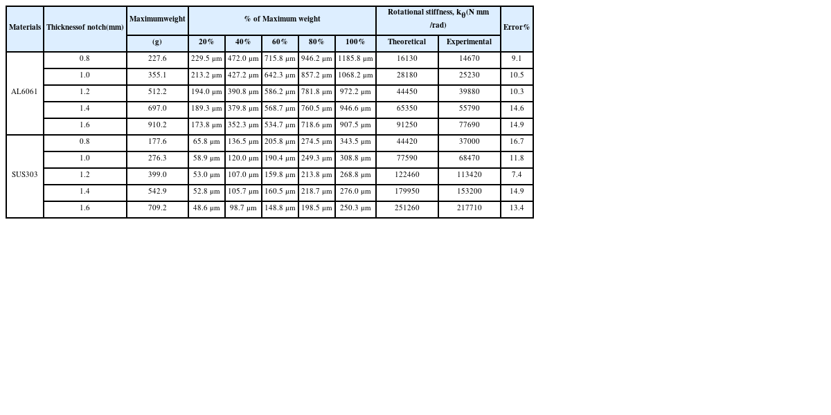
노치의 강성을 측정하기 위해 Fig. 2와 같이 하중점에 추를 매달고 레이저 변위센서(Keyence LK-G3, Table 1)로 하중점의 변위를 측정하였다. 노치변형을 탄성범위 내로 제한하기 위해 각 노치 마다 재료 항복강도(Yield Strength)의 1/1.5배(즉, 안전계수 1.5)에 도달하는 이론적인 최대하중을 구하고, 이것의 20, 40, 60, 80, 100% 값을 하중으로 하여 모든 노치에 대해 하중-변위를 측정하여 Table 2처럼 구하였다.
Fig. 2

Weight-deflection measurement for rotational stiffness of notch

KSPE_2018_v35n12_1191_f002.jpg
Table 1

Specifications of laser displacement sensor

Table 1
Model LK-G35
Reference distance 30 mm
Measurement range ± 5 mm
Spot diameter About 30 * 850 μm
Linearity ± 0.05% of F.S.
Table 2

Experimental results of weight-deflection for notches with different thickness/materials

Table 2
Materials Thickness
of notch
(mm)
Maximum
weight
% of Maximum weight Rotational stiffness, kθ
(N mm /rad)
Error
%
(g) 20% 40% 60% 80% 100% Theoretical Experimental
AL6061 0.8 227.6 229.5 μm 472.0 μm 715.8 μm 946.2 μm 1185.8 μm 16130 14670 9.1
1.0 355.1 213.2 μm 427.2 μm 642.3 μm 857.2 μm 1068.2 μm 28180 25230 10.5
1.2 512.2 194.0 μm 390.8 μm 586.2 μm 781.8 μm 972.2 μm 44450 39880 10.3
1.4 697.0 189.3 μm 379.8 μm 568.7 μm 760.5 μm 946.6 μm 65350 55790 14.6
1.6 910.2 173.8 μm 352.3 μm 534.7 μm 718.6 μm 907.5 μm 91250 77690 14.9
SUS303 0.8 177.6 65.8 μm 136.5 μm 205.8 μm 274.5 μm 343.5 μm 44420 37000 16.7
1.0 276.3 58.9 μm 120.0 μm 190.4 μm 249.3 μm 308.8 μm 77590 68470 11.8
1.2 399.0 53.0 μm 107.0 μm 159.8 μm 213.8 μm 268.8 μm 122460 113420 7.4
1.4 542.9 52.8 μm 105.7 μm 160.5 μm 218.7 μm 276.0 μm 179950 153200 14.9
1.6 709.2 48.6 μm 98.7 μm 148.8 μm 198.5 μm 250.3 μm 251260 217710 13.4

* Maximum weight: The value of the weight at which the notch is reached to the yield strength with safety factor of 1.5.

* Yield strength: 276 MPa for AL6061, 215 MPa for SUS303

* Young’s modulus : 69 GPa for AL6061, 190 GPa for SUS303

2.2.2 재료와 노치 두께별 강성 측정값 분석

하중(Fin), 하중위치(L), 변위(δin), 회전강성(kθ)의 관계는 식(1) 처럼 표시할 수 있다. 노치 두께 1.2 mm 일 때 두 재료에 대한 하중-변위 측정값을 그림으로 나타내면 Fig. 3과 같이 모두 선형적인 관계가 있음을 알 수 있고, 회귀(Regression) 분석으로 선형계수(kθ/L2)를 구하면 회전강성을 구할 수 있다. T = 1.2mm일 때 두 재료(AL6061, SUS3043)의 회전강성은 각각 39880 N mm/rad, 122460 N mm/rad이고, 모든 두께에 대해 이런 과정을 거쳐 구하여 정리한 것이 Table 2의 실험값(Experimental) kθ이다.
Fig. 3

Regression analysis results of weight-deflection for notch of t = 1.2 mm

KSPE_2018_v35n12_1191_f003.jpg

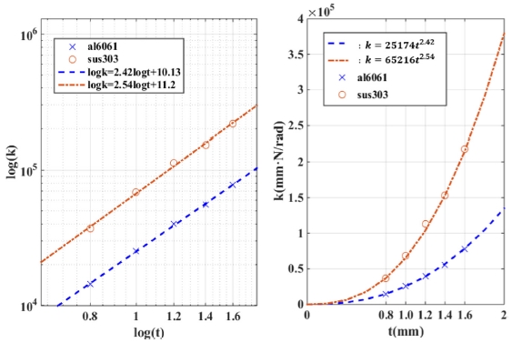
2.2.3 노치의 두께와 강성의 관련성 분석

노치 형상에 따라 이론 강성을 나타내는 식(3)에서 b, R을 일정하게 두면 kθ = Ct5/2이다. 양쪽에 log 취하면 logkθ= 2.5logt + logC, 여기서 log 변수를 각각 k'θ, t', C'로 치환하면 kθ' = 2.5t' + C'로 된다. Table 2의 강성 측정값을 두께에 따라 원좌표계와 치환 좌표계 그림으로 나타내면 Fig. 4와 같고, 회귀분석으로 구한 두 재료(AL6061, SUS3043)의 강성값은 각각 2.42, 2.54이다. 재료가 다름에도 식(3)의 이론값인 2.5와 ± 2%이내에서 일치한다. 이로써 노치 두께가 힌지의 회전강성에 2.5제곱 만큼 영향을 주는 이론식은 잘 정립되었다고 볼 수 있다. Table 2에 보이는 것처럼 실험값이 이론값보다 약 15% 정도 작은 것은 노치의 가공 변형이나 재료의 불완전과 다른 인자들 때문에 생긴 것으로, 완벽할 때를 전제로 한 이론 강성보다 작아진 것으로 생각된다.
Fig. 4

Regression analysis of relationship between rotational stiffness and notch thickness

KSPE_2018_v35n12_1191_f004.jpg
3.1 다단 유연 힌지의 입력점 하중과 증폭비 유도
최대변위 15 - 20 μm인 PZT 구동기의 입력변위를 700 - 1,000μm로 증폭하려면 50배 이상의 증폭비가 요구된다. 제한된 공간에서 변위 증폭비를 높이려면 힌지를 여러 층으로 겹친 다단 유연 힌지가 필요하다. 여기서는 지렛대를 강체로, 노치를 회전 강성체로 가정하고, 단의 수에 따라 얻을 수 있는 이론적 증폭비와 그때 필요한 입력점 하중을 자유물체도상에서 유도하여 다단 유연 힌지 설계에서 주요한 인자를 도출하고 그 영향을 비교 분석하고자 한다.10-13
3.2 2단 유연 힌지의 해석
Fig. 5는 2단 유연힌지 구조와 강체 지렛대의 자유물체도를 나타낸다. 1단의 입력점(L)의 변위가 δin 만큼 생기도록 입력점에 변위 δin을 입력하면 회전강성 kθ1인 노치1에서 θ1 만큼 회전이 일어나고 강체 지렛대1의 출력점의 변위(δ1)가 in 만큼 발생한다. 이어서 지렛대1의 출력점의 변위(δ1)와 힘(f1)이 단 힌지의 작용점(L2)에 전달되어 회전강성 kθ2인 노치2에서 회전각도 θ2 만큼 회전이 생기고 지렛대2의 출력점 변위(δout)가 최종 변위로 발생한다. 이들 변수간의 관계식을 유도하면 다음과 같다.
Fig. 5

2-layer flexure hinge mechanism

KSPE_2018_v35n12_1191_f005.jpg
(4)
θ1=δinL,M1=kθ1·θ1=δin·kθ1L,δ1=Nδin,θ2=NδinL,M2=kθ2·θ2=Nδin·kθ2L,δout=N2δinFin=kθ1+N2kθ2L2δin,MR=δoutδin=N2
3.3 3단 유연 힌지의 해석
Fig. 6은 3단 유연 힌지구조와 강체 지렛대 1, 2, 3의 자유물체도를 나타낸다. 앞에서 구한 지렛대2의 출력점의 변위(δ2)는 3단 힌지의 작용점에 전달되어 회전강성 kθ3인 노치3에서 회전각도 θ3만큼 회전이 생기고 지렛대3의 출력점 변위(δout)가 최종 증폭 변위가 된다. 여기서도 노치 1, 2, 3에 모멘트 M1, M2, M3가 작용하여 각각의 회전각을 유지한다. 이들 변수간의 관계식을 유도하면 다음과 같다.
Fig. 6

3-layer flexure hinge mechanism

KSPE_2018_v35n12_1191_f006.jpg
(5)
θ1=δinL,M1=kθ1·θ1=δin·kθ1L, δ1=Nδin,θ2=NδinL,M2=kθ2·θ2=Nδin·kθ2L,δ2=N2δin,θ3=N2δinL,M3=kθ3·θ3=N2δin·kθ3L,δout=N3δin,Fin=kθ1+N2kθ2+N4kθ3L2δin,MR=δoutδin=N3
3.4 4단 유연 힌지의 해석
같은 방법으로 4단 유연힌지에 대한 입력변위, 출력변위, 입력 하중의 이론식은 다음과 같다.
(6)
θ1=δinL,M1=kθ1·θ1=δin·kθ1L,δ1=Nδin,θ2=NδinL,M2=kθ2·θ2=Nδin·kθ2L,δ2=N2δin,θ3=N2δinL,M3=kθ3·θ3=N2δin·kθ3L,δ3=N4δin,θ4=N3δinL,M4=kθ4·θ4=N3δin·kθ4L,δout=N4δin,Fin=kθ1+N2kθ2+N4kθ3+N6kθ4L2δin MR=δoutδin=N4
3.5 고증폭 다단 힌지의 탄성한계 내 성능 비교
본 연구에서 PZT엑추에이터는 PI사의 P-885.50 (최대변위 18 μm, 최대 지지력(Blocking Force) 900 N, 강성(kp) 50 N/μm)로 하고, 최종 증폭비(MR)를 64, 입력점 거리(L)를 7 mm로 고정할 때, 힌지의 회전강성 3가지(노치 두께 0.6, 0.8, 1.0 mm)에 대한 다단(1, 2, 3, 4단) 힌지의 특성을 비교하였다.
다단 힌지의 경우 회전변위의 증폭이 배가되므로 마지막 단의 노치 회전변위가 탄성한계 내에 있어야 한다. 따라서 Fig. 7에 보이듯이 노치 단면이 y축에 대해 대칭일 때, 굽힘공식에 따르면 탄성범위 내 최대 회전변위는 식(7)에 의해 제한된다.
Fig. 7

Stress distribution in the cross section of a notch

KSPE_2018_v35n12_1191_f007.jpg
(7)
C1=C2=t2,S=bt312t2=bt26θmax=Mmaxk=S·σyk
Table 3식(7)을 만족하는 각 힌지의 입력변위, 작용력, 손실변위, 출력변위의 최대값을 계산하여 정리한 것이다. 여기서 손실변위는 입력하중(Fin)으로 인한 PZT의 수축량(Fin/kp)이다. 다단 힌지에서 입력 지렛대에 필요한 입력변위와 하중을 그림으로 표현하면 Fig. 8과 같다. 단이 높아질수록 입력변위가 작아지는 걸 알 수 있다. 1단 힌지에서는 입력 변위가 너무 커서 PZT의 작동 범위를 넘어서지만 2단에서 크게 감소하고 3단 이후는 그 감소폭이 아주 작아진다. 입력하중은 2단 이후 거의 비례적으로 증가하여 4단에서는 PZT의 최대 지지력을 넘어선다. 따라서 2, 3단이 적용가능하고 이중에서 출력변위 측면에서 2단이 훨씬 좋은 걸 알 수 있다. 따라서 2단 유연힌지를 최적으로 선택한다. 3가지 노치 두께를 비교하면 두께가 증가할수록 강성도 증가하는 반면에 최대 회전변위는 작아진다. 따라서 최대 출력변위 측면에서 0.8 mm를 최적으로 선택한다.
Table 3

Comparison of multi-layer flexure hinges in terms of displacements and forces at input/output points.

(MR = 64)
Table 3
kθ
(N·mm/rad)
No. of layers
(N)
θin/max
(rad)
δin/max
(μm)
Fin/max
(N)
Displacement loss of
PZT (μm)
δout/max
(μm)
7860
(t = 0.6 mm)
1 (N = 64) 14.1 × 10-3 98 15.7 0.3 6272
2 (N = 8) 1.76 × 10-3 12 125.1 2.5 768
3 (N = 4) 8.78 × 10-4 6 262.7 5.3 384
4 (N = 2.83) 6.18 × 10-4 4 376.6 7.5 256
16130
(t = 0.8 mm)
1 (N = 64) 12.0 × 10-3 84 27.7 0.6 5376
2 (N = 8) 1.50 × 10-3 11 235.4 4.7 704
3 (N = 4) 7.5 × 10-3 5 449.3 9.0 320
4 (N = 2.83) 5.3 × 10-4 4 772.8 15.5 256
28180
(t = 1.0 mm)
1 (N = 64) 11.0 × 10-3 77 44.3 0.9 4928
2 (N = 8) 1.38 × 10-3 10 373.8 7.5 640
3 (N = 4) 6.88 × 10-4 5 785.0 15.7 320
4 (N = 2.83) 4.85 × 10-4 4 1350.1 27.0 256
Fig. 8

Input displacement/force vs. number of hinge layers for MR = 64

KSPE_2018_v35n12_1191_f008.jpg
앞에서 최적이라고 판단한 2단 유연 힌지의 변형해석을 유한 요소로 실시하여, 노치와 지렛대를 단순화하여 구한 Table 3의 입출력점 변위량이 실제 힌지 변형량과 얼마나 잘 맞는지 확인할 필요가 있다. 노치 반경 3 mm, 노치 폭 10mm, 노치 두께 0.8 mm, 지렛대 입/출력점을 7/56 mm로 고정하고, 지렛대의 두께를 10, 12, 14 mm로 변화시켜 ANSYS Workbench를 사용하여 해석하였다.
Fig. 9는 지렛대의 두께에 따른 1단 지렛대의 변위를 나타낸다. 두께가 10 mm일 때 굽힘 변형이 나타나므로 강체로 보기 위해 지렛대 두께를 12 mm 이상으로 할 필요가 있다.
Fig. 9

FEM simulated displacement of the 1st levers with 10 mm, 12 mm and 14 mm in thickness

KSPE_2018_v35n12_1191_f009.jpg
Fig. 10는 두께가 14 mm일 때 힌지 전체의 해석결과를 나타내고, Fig. 11은 노치와 지렛대의 중심선의 변형을 자세히 살피기 위해 1단과 2단 지렛대의 노치 시작점에서 3 mm(노치 중심점), 10 mm(입력점), 59 mm(출력점) 위치의 변위를 표시하였다. 1단과 2단 지렛대의 변위는 거리에 따라 거의 선형적으로 나타나 강체로 작동하고 있음을 알 수 있다. 2단 힌지의 최종 출력 변위가 664 μm로서 Table 3에서 t = 0.8mm일 때 2단 힌지로 64배 증폭할 때 예상 출력 변위 704 μm에 비해 10% 정도 작다. 이것은 설계 때 고려하지 않았던 1단과 2단의 노치 변형(각각 8 μm, 3 μm) 때문으로 생각된다.
Fig.10

FEM structural analysis of 2-layer flexure hinge with lever thickness of 14 mm

KSPE_2018_v35n12_1191_f010.jpg
Fig.11

FEM simulated displacement of notches and levers of 2-layer flexure hinge

KSPE_2018_v35n12_1191_f011.jpg
고증폭을 위한 다단 유연 힌지를 설계할 때 주요한 인자가 무엇인지, 단의 수가 커지면서 그들의 특성이 어떠한지를 연구하면서 얻은 결론은 다음과 같다.
(1) 노치의 회전 강성은 두께(t)의 영향을 가장 크게 받으며, 재료에 관계없이 t5/2에 비례하다는 이론을 실험적으로 확인하였다.
(2) 다단 유연 힌지의 설계에서 최종단의 노치 변형이 탄성 범위를 넘어서지 않는 최대변형에서 1단 지렛대의 입력점에 필요한 변위와 하중이 PZT의 최대 변위와 최대 지지력(Blocking Force) 보다 작아야 하고, 하중에 의한 PZT의 변위 손실을 고려하면 최대 지지력의 50%보다 작아야 한다.
(3) 요구되는 입력 지렛대의 입력 변위는 2단부터 크게 감소하여 3단 이후 그 폭은 아주 작아지고, 하중은 단 증가에 따라 거의 비례적으로 증가하여 변위 손실도 비례하므로 출력 변위 측면에서 2단이 가장 좋다.
(4) FEM에 의한 2단 유연 힌지의 구조해석 결과 지렛대가 변형 없이 강체로서 작동하기 위해 지렛대 두께를 적어도 12 mm로 하여야 하고, 노치(두께 0.8 mm) 변형해석으로 1단과 2단의 노치 중심점의 변위는 각각 8 μm, 3 μm이고, 항복강도에 대한 안전계수가 각각 2.5, 1.6으로 탄성 범위 내 있음을 확인하였다.
(5) FEM 의한2단 유연 힌지(지렛대 두께 14 mm)의 구조해석 결과 최종 출력 변위가 664 μm로서 설계 때 예상했던 704 μm에 비해 10% 정도 작았다.
이 성과는 2017년도 정부(과학기술정보통신부)의 재원으로 한국연구재단의 지원을 받아 수행된 연구임(No. NRF-2017R1A2B1011506).
  • 1.
    Lee, C. H., “Ultraprecision Positioning Technology,” Journal of the Korean Society for Precision Engineering, Vol. 17, No. 12, pp. 9-15, 2000.
  • 2.
    Gao, P., Swei, S.-M., and Yuan, Z., “A New Piezodriven Precision Micropositioning Stage Utilizing Flexure Hinges,” Nanotechnology, Vol. 10, No. 4, p. 394, 1999.
    10.1088/0957-4484/10/4/306
  • 3.
    Kim, D., Kang, D., Shim, J., Song, I., and Gweon, D., “Optimal Design of a Flexure Hinge-Based XYZ Atomic Force Microscopy Scanner for Minimizing Abbe Errors,” Review of Scientific Instruments, Vol. 76, No. 7, Paper No. 073706, 2005.
    10.1063/1.1978827
  • 4.
    Ye, S.-D., Min, B.-H., and Lee, J.-K., “Design of Ultra-Precision Micro Stage Using Response Surface Methodology,” Journal of the Korean Society of Manufacturing Process Engineers, Vol. 5, No. 1, pp. 39-44, 2006.
  • 5.
    Choi, J. S., Cui X., Ahn J. H., “A Study on High Speed Control Mechanism of Micro-Depth Using PZT Actuator,” Journal of the Korean Society for Precision Engineering, Vol. 35. No. 1, pp. 103-109, 2018.
    10.7736/KSPE.2018.35.1.103
  • 6.
    Paros, J. and Weisbord, L., “How to Design Flexure Hinges,” Machine Design, Vol. 37, No. 27, pp. 151-156, 1965.
  • 7.
    Yong, Y. K., Lu, T.-F., and Handley, D. C., “Review of Circular Flexure Hinge Design Equations and Derivation of Empirical Formulations,” Precision Engineering, Vol. 32, No. 2, pp. 63-70, 2008.
    10.1016/j.precisioneng.2007.05.002
  • 8.
    Jouaneh, M. and Ping, G., “Modeling and Control of a Micro-Positioning Tower,” Mechatronics, Vol. 7, No. 5, pp. 465-478, 1997.
    10.1016/S0957-4158(97)00016-0
  • 9.
    Choi, J. Y., Eom, S. I., and Kim, J. H., “Optimal Design for Parallelogram Type Flexure Hinge,” Journal of the Korean Society for Precision Engineering, Vol. 32, No. 1, pp. 107-111, 2015.
    10.7736/KSPE.2015.32.1.107
  • 10.
    Jouaneh, M. and Yang, R., “Modeling of Flexure-Hinge Type Lever Mechanisms,” Precision Engineering, Vol. 27, No. 4, pp. 407-418, 2003.
    10.1016/S0141-6359(03)00045-X
  • 11.
    Kim, J. H., “Design of Piezo Driven Motion Stage Using Novel Cross Hinge Structure,” Journal of Korean Society of Mechanical Technology, Vol. 14, No. 1, pp. 7-11, 2012.
    10.17958/ksmt.14.1.201202.7
  • 12.
    Wu, Y. and Zhou, Z., “Design Calculations for Flexure Hinges,” Review of Scientific Instruments, Vol. 73, No. 8, pp. 3101-3106, 2002.
    10.1063/1.1494855
  • 13.
    Xu, W. and King, T., “Mechanical Amplifier Design for Piezo-Actuator Applications,” Proc. of Innovative Actuators for Mechatronic Systems conference, pp. 1-5, 1995.
    10.1049/ic:19951045
Cui Xun
KSPE_2018_v35n12_1191_bf001.jpg
M. Sc. From the Graduate School of Mechanical Engineering, Pusan National University. His research interest is Optimal design.
Hwa Young Kim
KSPE_2018_v35n12_1191_bf002.jpg
Professor in the School of Mechanical Engineering, Pusan National University. His research interest is Intelligent Machine.
Jung Hwan Ahn
KSPE_2018_v35n12_1191_bf003.jpg
Professor in the School of Mechanical Engineering, Pusan National University. His research interest is Micro Actuator and Mechatronics.

Download Citation

Download a citation file in RIS format that can be imported by all major citation management software, including EndNote, ProCite, RefWorks, and Reference Manager.

Format:

Include:

Optimal Design of a Multi-Layer Lever Type Flexure Hinge for High Magnification
J. Korean Soc. Precis. Eng.. 2018;35(12):1191-1197.   Published online December 1, 2018
Download Citation

Download a citation file in RIS format that can be imported by all major citation management software, including EndNote, ProCite, RefWorks, and Reference Manager.

Format:
Include:
Optimal Design of a Multi-Layer Lever Type Flexure Hinge for High Magnification
J. Korean Soc. Precis. Eng.. 2018;35(12):1191-1197.   Published online December 1, 2018
Close

Figure

  • 0
  • 1
  • 2
  • 3
  • 4
  • 5
  • 6
  • 7
  • 8
  • 9
  • 10
Optimal Design of a Multi-Layer Lever Type Flexure Hinge for High Magnification
Image Image Image Image Image Image Image Image Image Image Image
Fig. 1 A lever type flexure hinge
Fig. 2 Weight-deflection measurement for rotational stiffness of notch
Fig. 3 Regression analysis results of weight-deflection for notch of t = 1.2 mm
Fig. 4 Regression analysis of relationship between rotational stiffness and notch thickness
Fig. 5 2-layer flexure hinge mechanism
Fig. 6 3-layer flexure hinge mechanism
Fig. 7 Stress distribution in the cross section of a notch
Fig. 8 Input displacement/force vs. number of hinge layers for MR = 64
Fig. 9 FEM simulated displacement of the 1st levers with 10 mm, 12 mm and 14 mm in thickness
Fig.10 FEM structural analysis of 2-layer flexure hinge with lever thickness of 14 mm
Fig.11 FEM simulated displacement of notches and levers of 2-layer flexure hinge
Optimal Design of a Multi-Layer Lever Type Flexure Hinge for High Magnification
Model LK-G35
Reference distance 30 mm
Measurement range ± 5 mm
Spot diameter About 30 * 850 μm
Linearity ± 0.05% of F.S.
Materials Thickness
of notch
(mm)
Maximum
weight
% of Maximum weight Rotational stiffness, kθ
(N mm /rad)
Error
%
(g) 20% 40% 60% 80% 100% Theoretical Experimental
AL6061 0.8 227.6 229.5 μm 472.0 μm 715.8 μm 946.2 μm 1185.8 μm 16130 14670 9.1
1.0 355.1 213.2 μm 427.2 μm 642.3 μm 857.2 μm 1068.2 μm 28180 25230 10.5
1.2 512.2 194.0 μm 390.8 μm 586.2 μm 781.8 μm 972.2 μm 44450 39880 10.3
1.4 697.0 189.3 μm 379.8 μm 568.7 μm 760.5 μm 946.6 μm 65350 55790 14.6
1.6 910.2 173.8 μm 352.3 μm 534.7 μm 718.6 μm 907.5 μm 91250 77690 14.9
SUS303 0.8 177.6 65.8 μm 136.5 μm 205.8 μm 274.5 μm 343.5 μm 44420 37000 16.7
1.0 276.3 58.9 μm 120.0 μm 190.4 μm 249.3 μm 308.8 μm 77590 68470 11.8
1.2 399.0 53.0 μm 107.0 μm 159.8 μm 213.8 μm 268.8 μm 122460 113420 7.4
1.4 542.9 52.8 μm 105.7 μm 160.5 μm 218.7 μm 276.0 μm 179950 153200 14.9
1.6 709.2 48.6 μm 98.7 μm 148.8 μm 198.5 μm 250.3 μm 251260 217710 13.4
kθ
(N·mm/rad)
No. of layers
(N)
θin/max
(rad)
δin/max
(μm)
Fin/max
(N)
Displacement loss of
PZT (μm)
δout/max
(μm)
7860
(t = 0.6 mm)
1 (N = 64) 14.1 × 10-3 98 15.7 0.3 6272
2 (N = 8) 1.76 × 10-3 12 125.1 2.5 768
3 (N = 4) 8.78 × 10-4 6 262.7 5.3 384
4 (N = 2.83) 6.18 × 10-4 4 376.6 7.5 256
16130
(t = 0.8 mm)
1 (N = 64) 12.0 × 10-3 84 27.7 0.6 5376
2 (N = 8) 1.50 × 10-3 11 235.4 4.7 704
3 (N = 4) 7.5 × 10-3 5 449.3 9.0 320
4 (N = 2.83) 5.3 × 10-4 4 772.8 15.5 256
28180
(t = 1.0 mm)
1 (N = 64) 11.0 × 10-3 77 44.3 0.9 4928
2 (N = 8) 1.38 × 10-3 10 373.8 7.5 640
3 (N = 4) 6.88 × 10-4 5 785.0 15.7 320
4 (N = 2.83) 4.85 × 10-4 4 1350.1 27.0 256
Table 1 Specifications of laser displacement sensor
Table 2 Experimental results of weight-deflection for notches with different thickness/materials

* Maximum weight: The value of the weight at which the notch is reached to the yield strength with safety factor of 1.5.

* Yield strength: 276 MPa for AL6061, 215 MPa for SUS303

* Young’s modulus : 69 GPa for AL6061, 190 GPa for SUS303

Table 3 Comparison of multi-layer flexure hinges in terms of displacements and forces at input/output points. (MR = 64)