Skip to main navigation Skip to main content
  • E-Submission

JKSPE : Journal of the Korean Society for Precision Engineering

OPEN ACCESS
ABOUT
BROWSE ARTICLES
EDITORIAL POLICIES
FOR CONTRIBUTORS
REGULAR

새로운 무릎보조 외골격 메커니즘(ACE-Knee) 개념설계 및 인체 무릎 운동분석을 통한 설계 요구조건분석

ACE-Knee, a Novel Modularized Knee Exoskeleton: Concept Design and Analysis of Design Requirements by Knee Motion Analysis

Journal of the Korean Society for Precision Engineering 2019;36(4):373-381.
Published online: April 1, 2019

1 국방과학연구소 제5기술연구본부

1 The 5th R&D Institute, Agency for Defense Development JFIFddDuckydqhttp://ns.adobe.com/xap/1.0/ Adobed     ! 1AQa"q 2#w8B36v7XRr$9bCt%u&Ws'(xy4T5fH  !1AQaq"2B Rbr#u67Ѳ3sTt5v8Sc$4ĂCÔ%UӅFV ?_Aנj- H>>,m*>fzp"TrKkr^r.|_&]|*vPuܶvoQ1mwVJUhu-I"=LniAƕ8"۲ k*ҿ[yu:.vUQ+)%F DHyVBk>Hy8jݹ q~9D4KRmzQ)^ʔ.J%k_tVi5NTjg!'ky|5asOȻ)R۸ߩFMԿ3L4j6dڜ#NIwUF]JqB/(FafJRzq3\G՛ ?~\ 6)6W4m[O^L0E&rRMض*C .]Unl-1 1r#Rj/&QɈ׉˩s6Rj=5Tg.y.·Pӡ:JJS:C8-2u]d&vUz;7p9 5VnL֢"y)">iי(IDDd| Yj0; LRfS:ktYK%*N2^m|&dğth":ey)uPQZW)gcC3Pv&MMWd&Ŵ۲mvTRoժM03*F3Yd6\8,\hݻ kߔi<k NTwSԪmljj[>->ptU%'LR>&EBH$MQAUx[$Z6vi&_a.KIQ{hyƒ j"JOC9eFҝfj;˚Ω<[3_m% lQ@4g=5$(J]Yc-OMq<Ǎ wSzڗ)k$7VIP붾ͯnV+卵*t]iЎD31~SA1éC2u)ʼnQn-Uoi3:grI8ؓWm*G zܕ)ZקJ}Y YlGeJ6cB2I NS3Q>k=KTBT]W6+SOXQgGR? telˊ%-Re\hѯ2TF"C/OJΩ6r[N.0{SpljjX1“jOsӥ;ҭhe}xu`Ք&.)yO̒ Fߑ.$Qw;9Iw2o+RVJMSOj[SoҌZ%;`d$blQ{Ro{Imڌ>3egf\O֝Uzx"䢸g+mv%Gʆ:|V[N'&ס-ޝ'kfE|K,G&˳98Juin/\\Qݿ̋v~Ǩ!rtWU d|E߫R4d}.qPw*Ӭv5YEcn~f5c%MTMkb-F>5JT,})QHg%{("ӔȸWMsYyWNRrkkJr0XドnͫT}r-jj,Ŕʍ\Q2Ri>v$5!]"JB2WɅ)]VԜUc8i|.jeRO6^V.¸ Q&#|ܶ-*uOG%JAtRZRr]FFG\۩w+?'zչSѧt jz>KW&ot{7P&2D;&\\>Q2JzܗAKSfeNn[jRrԕf6,q,F1tRfԗ>vֶևj-&R'Zi2=xv~Elbsvm8=ӛ"ū񕜈BȩlWau[]ٷBߨF~J!|Ipr3R̴#Yp)={7:G{+:\W}n|Q#%)7^-h"Ƒq:M*%J&$T軨I333׎g_- ucBwwjp[6i25$̏bU’ٱRv?G\~#Iͪb7<<}Ezt" q_Inw,7-d,G÷%T* Wg1"䥱kq/A.,_KhqŒxwvo u2ۥۧ.bQ}XκA$֣ +K״ZUNmڸII{.v{5z5ѮRme[moyƾd~cRݾK'j.\i&/S6f|b=5: p!6i_ 4j6=.si˧eƾtS^c.Y^RJVS-Vi3,esi08?H$GvZgg?gi䤟2adw릿:"۪lkSN>q-4kI܋ێe̊qۅgDoѨ9; #T.Q;7#~_Ufstb_'w~Xw1Xk,vcOt._}v}8"(4Z\ۘgk?J?bm_c!g{HZV]Fkk%~gEt)b秴vΰB|꽸}mp~E6ݹv;7P٤v+ri*3Ԣ|'O14_~7nP{7ZU\Vű[ +7󖱅o#:ǥŬ\|3r%TJX]V7ez¨Y]lc|O3V! R zbJ'PnGqVJ"19WVeOF埜EaEJωqCN5Z g-9[S<$sUK5b|7sn\7x qmv##FF\ w[=-43$^ooVSiXօv7iB۴yg>]Vf"r$J3""32!Zh[K%7GvNLs+4nB/B{vlsobJaҺJR:0g%&zR\ S3T[&ִor*ⷳc3ʊO[iozW٨%$gn:ܶWwFBԹjHP&z u&F2\f;ipW73 [; '_̽b;vib!oec dC-tS__$Xs]l9&z$2/N>%'[}b{h/{`{Ji׉׏ YJB/X%}.|+{(S:qz]4_Kѵo`^tY_4S#* ^zvݾMr+TrkQ g.8Ͽ^i>ӈǙvix>$o( ^qt*&t1oJVu-ql5U6jCЉmĻ*"?JT=K'O/|=Vo}l0b}}f?X[?/\JSBe,kP8ETJ==?.p5ފgbU9}ǶdNKk—_$8̸͓ۍ8Di\BԿ-1v{FF]|.^ۅ{vl12׏z7-R7wE?\nh\jN/Kձr_oBw"N QMBZqe-m:ӨSn6j4%!hQ;sv'm4kcM=!8\m[M4{SMliۇ%eֽR&N:{2A8)THLK3Zj[jPBx#BگMf:G1\`edcʮ?|w(-̮vXt,bW2;.ιNHRR#YwTM"<;mk\.foIDjmlJ;vxy7o7i\,KQŊ9d^Mmgc L*.T6tLeIuOH3SJQ3=F/ʿ<9\JM6mN6=<{xkP!F1QR[I$6ُimXu2An2yԒMU q f[IB-'䤯jYm52&JG\zд\~vdg QtHGXw&1Lw+nDEdC1w|YJmvP)HZ>i0BPβә?R:QO["]I_Jʏۍ>QKyu^bycBq4lXF~l [\*N>-J6,Gq(Zr5h]CwYӤU~ʶߑ u*SIv%ZfJ7)! FS*s_\|IŸZ)J ]ܜi4"z[+Z,MOZ))}|Ʀ(RUNIII.S'ˍO~˨rn}M)xxӕ0 eyҵ7YMAB]ӣU:/ѭ*6bcwP͵ "+qēVjŹO|GtY4V j[mLV M -m>",B$ GD1~j6O4|LxnNmqATNR3ε|DŽa[fmn-ڭ+FiK7Pcm;r5 l8r{#-]'nrFh2ruycb;pW=njRqRJ(d mnpckNnʹ+6]tz~E=ʕ l ZZ5jSi3#47.Lcfe`9؏v囜.F\-UZ:*0_<Νu9Lӵm&)_3\^ҹ3"1n1v_|uRʞͫr'iȧN_kH׺8xXrj=\МH)V\ˬ.Xʸ oVRC}ySU9/OBY먌5 ٿwޞ)rw8Ӫi5*5ZΗcGƱ !ZۄlmpjJ -l <R̵/JAպZuq\IdUS 48wXJJtcg4cI~aqߓwŷrm-v)G7yS^7H^-\mŌAq|"m9IBnF㏉9[N+mmy/!KKۉ%n +BdddfFF6FQRN-U5;Sv'm4kcM=Mn)\qιqUd9F%",6MGdT%-+~ f%+y֛^3SrF>6lc(֪vۊN;g._0Sѧ]ETWرkQKzGe9ʨsKA"yC y2\[5 rԭ7Gk5Mzw_4sM3hxЊ'oÍ5jsub )ͪ~tR2H]R͍>̋m6=%(˿(Wrr-܅y5(ܔJ޺YunW̹븹NsqK ]/QR#"ZMDfD|43Qw|._ԡSqTZBg??O Ϥ)/E_U|i}2 9Z?¹0:x'3,whǣ?C y-A~=daJј&M?D1_PS+Oi&;a @;Dž7[ zZC"bv:jjMQk$M RԸ3uA\=wI.AwC"^.{?-\NSiˏ"b}T/}q/ o.1M}R%:-ZniʒL$SgrBW*,Mw'N\ɇ{s\j]VryG'8f`}'N<*/`U숻z CwHq18J+vԕKss4R53/&XTt1bZƟo\=%nO)h$rBi-nKĪ^ ջڜlwkYm[̑+/QrZo%TQ;TLs($2C:s.%+eoNttq۰kK7O0m_t_pZ1SsSM7"mevFZ[w -FJ*T*jФQRg BSu|]g:ɵzjqwmltL.e3sRMچkSmjkmWœިm++¦'tILk*բQ D,PB\lI[9{%Gb R6öۍmX-MaʉA931cs..G4CujQտ[9 }G-xwl)IQz j Ó"rqe&=]꾧֎c)<kӳ+0JrRR3'TnXi^xMF Bު*tIL.[h"2"nKzZe'ZV/RrNYz]8죝n]Ķܩ>^Ժ]u-7^\mZjܣ9+Rmn ߑv?oꋘ?&ƪy^N4o=3-ؔ̿*`}V݁ ƒPu8%$ ݗ]wt;\y\>='OjPIp/nJU8{϶FNMsf"ίNqƹ(+ ݮF2Km |jܴZs%zf*eȫ?]4)I۵nR&FX + [jDh(#哑9q9Eծj8noǕZf\J-l&Z˫}`ӎhyrΉn\űn]9pʌӣ"׮Wt?N4_I_~54#/my1Xr*척aS#DT >q ssΛW;3oUaJSRMDgQnt:Ql,/ ܷfRqiM Ȼ>Cob;A>ڦWقM9X~/!'MW.}Vrߔꔵ!5|iB(0-zF=}okڢE$^wW~nokY߮\6՜̌{i-AF*9)\t9IV6۸5ZUF6R$ŨQIq砳YUZ]eyv >hI櫥N )&l JulwE1GDOuFN2| }馥uC1rޫV+^gdb&W[4<^e4YW,d|htͮsUM)۸8:{3d{AѢ)~ \#J=NdƮꮓ90 |1K$v*?мS ]i$J,C,SG?/_՜pMSƯM|mG1V1$~K>CSvkuj=&) -,yLjuFHK{c駗.SOua;BrSqj-ۍZ#'Jys7[g2z/.u4+XV2VQ.ޕ)$"(%)#Z7suZ%j }BǬݕe)Jvz8zJf:hIN|svO1O#IEcۍjݽ:SdὮvu^@:o^5cs>i/VqmVm]ؔܢn6'vޑ̗J4Wn@OlKbX ;n:hgJ9ŻyǑz8f܌q&Y fN0N;[69 rbׅC2/#kE l&2~èMR.*%g=Ft.%؝e8<.e=Uv{~㻏"EˑnvDѭ͜Lu3u0:U֝$[M5<:oi+V4V9 6nXvx&_ q Qqw3W:uϔ2yb/(ɳ|5zQiJ#r|Hw#.W?4aDŲ\ugWG;Cw鐢K|xg)##=O.dF˟jMUvWĻsr.z]kPc9"]R)mkfOd*uYf١RsB Aîh=k]ʳUrrZsq`d#r$/Ը3o^&lRWȍyuW̦Y4QDUMJ65ƒ[+ygk XK_±k#y:8(TJOSQhJt2.DR}"5[) r)6V6u5k:eXZmv𭤔!푊Q[qQ}ҹLE- 8qIZG|UM4j}Mܕ[Vwm{} Naqµ"ԈM zOpKѰ?IAD3Ir0'/q1itoB5{%wkOBn-ۜduqIzYK60{+DʕܞqIt";r1mG/\/ym[6JƫR \L=S=OT@Ix[TMm{>ݾտ֒ݸӉLYIx>+"JVNzx||5rI?C{oz8۹e\R-^\A2F R+N9 vlT]"ۭ d)t֞i #E2jB@׵=#/N+!ĕhx}I!cM`ąZ*ŻɄҒ߮Y.Z}='/oۙ3IpW̮hT7cTSuz9>B}΄&h!>lӵn~j˅IvU.'v'CSZw8QK3G> ,J59ٷ+HSg䧎hJdzvwv-cvxS5[̊n~ؿ%ַX?O0\6ne 6kn9.ϯ} *h 8_QhLݣ7q +=XBҲ5?[[)+F`=4 }B,sNg==u*Nj9k_GJ)+R~GSPBȒZ:(K]heL=vKPӢwq(NrG^ثϣ?#tC?.ͼ[ۅo؞y#%ǛjVyLSw%T*s92JTM%"YkQО.q)gCͲn8cgi6j1MѾ[{9h^vƘǚםidfi.^RHmg&rׇz:}݃}xT$ضk'5s-狶,\vpbPD،=Okf.c#cdz2FK5T!&)|ntD<+OŹU i-G[EE*FDfeaf2QƤM\UG_{ǹm%\yrGy:.\4wjPGUJޕUV7Do\7Vy_13w;[?c]H\$IJ,*L]3b%L{y.JRKG2sq,B6T}(#nW|km+q5] r㪍bJ@y{byz,b踊3ϻJ,'^xd،)JVw#.Vټc''ÝպWtbRؒJz۠8!o9IۄS95E9ؔ-e9JR{dmnッ<[~n${~Њ$W?&ՐY_? #a.ߑv?oꋘ?&ơ|y^N4o=3t=~7!/M3>n8W홎2M`Qx+ z qy8%]7_~540ۦ彷]Wq CѡwkďyF5Dum_}~P(5.(X,K9vᯐ?leB9;Jhm#3{CxGE-S{;@Fz˙]=O'!ɿ]' r`:7'2bЖ>Iy,/eTy/V<.H?UYY{\^#ѣr9^7?xoRȆ7EoS_&??zϾM?(~Q-K&>"~aߨ t7Emsϛ+?;fCr)fY+>z$tIkjn_>vnrֳki-˹l= t;'EyC¥|/BLwBJdgjۛ$s S1|ɍV%JI6KvəhzIlBYɒ|0"Sy0F>eo5W)O+X˻u';v)2vVq۳kۮws?UʑBǴYO漪e2MIjPAک\b1)DDؚKm6ZWΨgȕ۶yjڳ 2ضN[C[|r@9Jfo<_eI7q.|cÊV߷:i.:$ȋ)1%%)ADZCEBxJ0MJۥy(bNsKM9k43IwNt.\%N簤I'.j|ƃ2$grBEٌ\}9:v*!n7M(ɽ]7c@XxƱԨ37īf62cTTfFK]9wntQHͮvٱI/f|j=7}\_V5U^+:uljSȃY(XI.ȱmo1甅jڎIZ2>#\*:gY|4k\8ZwSqtyA!+];бޞKծË¥e)#5ap.QK^8VdU{*ѽL\=qmjnB5>{ Ӟ`v±5 ^k&O~Oshɷ,;6nOW>u6{RqS`)S%jp\ipdEBLfTWy$GIYw~䲭J.1vSY5z.V>^+Ǎvc.I[R{QsNR3ӎfhd>y?UJ*}~[e\i5U^͛E]G_FS(Iɿ]i8:4zj~շsW,ˆsy:%O}iur]iF5~3M:Ӟ#N06)4ߧgdawIotiz:1r5YDZLHBSi;NQc44la=Y kQIT*ըl:tq2(է9VO4뒳܂~2rq'nrVZŦ[t7\oլfb/mlpc.I8콚q^1iE~䰳mi[dۧw֤ICfdFeCsg:i| 6擣׋* 96lust^{%99UNRvaMܽo ammi$em4D6DD\nA%$$#}۷/ݕr99JMն[oT޲E"KTaP+HGkŴj5TM5xƱOS-k`ۛkٝWz;{kS}F;~q|~^_|euwnE'pSupUP)V]vE+t =ZRaVdG6= *.ϼnj9:UɷbېmF_tޫgHjVS'śǕًdkkѻ_]Kv?nT>)^e=Ar1'3ԔILyD?:-^in):{7.؂\.:V }#뺾.3r̸*xbFM aȵz 6SQ:ײj[ 8nn iFMw rR"5M5I旘35f^j='j:nNW.ʭocZvZKV^ɚJ.cM1ZI7E'6rg탸5oZ=[m Z`\hbMUR١Ȗĉ):Jin!_7Dй+f̷eKҷvͨBPR(V`y6tw*MRΝcB.ڭTnc;P$8nFvm4(D(R#R-L -2:FP lxZKQc6I("Km%$E, 78uXIFA$RQI$JbInG]c[ֹ:ZM+n^')JmJMJRu{e)7jQDw~%yQl}BZujSSf۩QZ+Dzhd5o%BIc'GZ?}΍:>Ɵivז-%݌J5MqGWTVʦh݇ܟ~Օ_6 n'{3~mϬj'J11OȻn߃r Qr\3y٘+WӍ'WxEs^O3 o~[|7>]]H9݇ZomT@]?5B:Z߂'`V_+/MSKX߆ޠk3?o7y:4R/7þ] iG߬aBRU&?r&/} cQߥGj2?C5Yśe7hU=?+ x龳f-܈czW^7p%-(\D4h{UK&ӡn^m]Fݢ:`δvj俜F+) y[{{ 7 tu>gvrěOj'5 iRg[ͶFjGe n~qT$ci ۚ0oԹc*jL[sVWqj\ݻ&6"WoK:cnWmrv)o>66(F>=W^bf#c zzʞtپy%mՉPël e}J.\Zk4ttt>oEM=q)hJjI=ͥ(%]脼_88ф;͛gWG;Cw~˘$4=uWdĜTثNDkiQL9U*O"4XP`02,Ge-k5$h>ܼ]3vr6!9RQPIVSnM(ۓ{>;/Qͱv{3&-[rc)ܚI$n{Sv3[j00)-D3z}MRzVQпj,T[uVs0\}Sid;r(ݝJ>æʺL&c[jPK0~d(FKÝW\m]GTcF|Iׁ)I3~#oX%vҦEݑؼ5Żv2qAZTE^..M{ʐfȏ2##.R}*KʛZz^ӞN*lPťLf\G6[WVQquV]XAi)5J!,$iJ6o$tPZc;Kjx_n3`qIelV~vLy{fn匋Ѿn%;zV.n'-ұdd2߽1bZksPe3TI9)$ԩIN9Vơ\=2885N\ p)/a柛w9g_lױo8ݷ iixJV& ғRi{N^_oAŮE6Y7I$Nk$|Q)-*4Z)^¸%4Qm [I%.c-OV+C֧R#%ѨCe3i;w$G+_dy| Fzj$DI(=OA gj%v/]8qԯNIS*֩',Q%\44ZZ%D|Ǧʴ6&vֵI$%8(ԬƾS&#Z. }6z?b/|Jl{ץv&mpx4Z$”ڝ4-H%dGKfM:sKSRWeJAn]>s6应-W9'H]'uȫYvgK^\czp|My\鏩w/ËQ.)]\QiS`8uL뚛̸=J"ܻi\å'-)54Ue]:K\퓡vK xwBqrH\*֕TnzC.mT=t-H]SČ~Nu╏NÅ3f|͡G~B+Xm[Q7U{9"~jgK Zoʰ7"qJ,ekSeNGgϳ] ^.6:s}_,%eRg<5⿨z{ZPun#jRІ.6g T.!]xa c#jN$Zpl̋H WZu8WmMRýsĮ?Mco~sx TU҆Q :KDG4n42.<3/'^?6/ܠڒ^yrrÿr2\D}}B]^E~^T cɛ7϶Y[<֞[7d}2%QPqOLEQR\CIsj1?\}%tJ0e~ *sk"*)&ۓEi#{1J8Hrt|'ܝRr8)=ƔN'RVz:cf]F7bZyZUȘ4x8,#JG̒?.W9XnO]KO]%]ƻ O5Γ/3qÓj؍/r̺rƵ 5\&m6h.xoeX[=<3%< lZ"2h\Z[&jW3ejm?k&[]ųj+{N{66leu_+lj]q* 7g*knأYv= q ەdxЬZ|%GUrQ3jLŒqET]1% qkXYūYc[7Ś]QY\jko\</Lc7+'hMSUc6qXyؙ~6#ѯv.0$BQi5YyIhɍiy=KD!n3Vm[V%W-B%swa97ajۗ m+9~]fKq|Ddaˑ0A]_v޺mM5* F-BYHJ5}q>ʉ.6hyDmpD׬'-_v5;5[8K[viJ.3dR:oYHHh9I7:۽fi+wm^ [)odPѱ52CZUJicSw\&_s0uBȍh32džzQflcd^m|7GѹE!fO5]]H9݇ZomT@]?5B:Z߂'`V_+/MSKX߆ޠk3?o7y:4R/7þ] iG߬aBRU&?r&/} cQߥGj2?C5Yśe7hU=?+ x龳f-܈czW^7p%5|Y:SJE\U-(a_cƣUǽXXKiȞNlmۊڭڄR!**ܤMeȽ$|X5(Ź\rJ~ܮ]>'HB0cp XFr_c?f?7<ukSgov¥iG>>䙗i.+t+bOjIܶ . i^:nm}s}(3>NZ$2Qg([".>i.ƾ)B̋M8+"- >eE6DݥJnJˣt׻ 5.˅nJGwZD~!i۶a,Db3ZQ3O#KO5/֍ozuK'GbRi᝘NV_ҝcvם ZoX}F6z 7e5_e:ۓj=AB+iܔERadMBq*ԯ DwI/Gy*mĥiRKg6skY/#SN4e$-yXM YL?^ĸNNӪ{$r1JJRSLO]Aqm>V/s[~i/j+m>z}eI"Qvp]{ZԼ:{vPAG2=T͡@ڐ#u"E*>C;o$~C#_d/HBq^YRٽzIKbOm\~żjFFGdiQ(*/i*#.FF]©m=BmpQQQSP&Ҫ!T&^>:y)$ˑÐFčI Bӡ-t!bM WҦŶ'UZ=}zvn~oT/\ǒ'nr8 AJIӆz<^uߖ4eFC1i+v!3qNyߕni?4JZlmYFXFۼO0B\m[ tʄU3s"Sr(NJ;SKW72L4̏BVdf^Ҹj\]ȱ۪(ӷm?J-KEmWڽ^4<8qu%9pŹW~877ܾeVгS(յe^C]yX͹! םm4FGȋ\y'Z FX7e)|Gjt߹#gb\ŧq_([R8[qU$Z (ʻezV2V!iQ,i$JE˂٩ a(GK'O{vnBvryRd-RK4=qxZJMl_CuuIz @Rt㮽޳!|68\-l[џ84-2Pu" RJ_^OL>G1~XnBŬw6J0*Uvlږ1N G1q9IUm*'oWu][&UyYZbBZRZNfEJf"+2nF~Eû7n1xv.RUM$6 lAxSQJ&n5ܞwlEói"#>4׿Q.nEq7Oko[1wg8ZQwZYiqtm&~">Bo?w͡ni2峋NCEy Ҕ+%ZJ ʩq*fpˤl,~^Mχk1+:ݕ z&Y`KLӪУDr3[*Z :(SL&ݻ۬Vqsyԭs x|iI߽zZrg.:mp%6ԜvgmpIUt;QbS.Է) ǨKSV,*lڌ|5Jt3#NP.=+OZ~/G سIgbꥹJnl_DUM\iM!֔wVZuԺ,yV.Q>f v:݇WiaŸN5Ҕ[M7SsrvǣrMW= \8ZW-jsnڕ.ZnF2qt ً[ٻޘY۷Zm"Jxr&NAfA-݌to9s359݆mZ+N1-qS$D=17 x׵+%_ ve4ir6Z$FDڗnFtOr'7'{9C˨ꤡaYoace{Refnft RR"4%ʌm:Sj3)OdInTO>X'vxV#jܮw9Fog;5.~Y5\~18YQܹvj4+~t7S ﬕs %^۵ڴDZV69R^Y+rj$ԇoJKR5wB9C>Y:l+EǎS{ʲ{T6Wi* ^^9k/y/Cs\g*qڵgn4T8mERr|Ti+iPe;;.i\EBEJ 丬i9ɧM-ԼsGDrZ>r#R>~X9y4b棇9JwV۔%m(b[Tjvl}۩~nDԺ{Zo-YuK1vx.nWuO+jN [ٮ0%"΢CdTJK-RަH"$I(*ve &҉FzB,_Vpqp9m8werv')E;o&QE׵^d9˦j\_,ڵugZȻ̧8k+jK{wmr@3ӭ2 wFkzFVqs1؛.v'I%$[iT]D5Dl2 nk7qUxԫLS+sا3/ΖeZYK<["%-g/kRs:f3;*E ت wJ%)5&+&rw*霣i|sMҴ|;R+fm䡩.!**dӶ-6s6,]zAXMWjmnz%SJߴm2UXw7MQ%<!tKys#P,W>s;3IYwx<+i_\\\U6 u7P|xbn_k&ӓVOe䦒 VUr,-㘘"-LZeOSҠթrEvq8Kf%5%&K"#%vD/.ZYYŏ+p$nZkvއuW9㓱Z G wYIFyf)?ƎUm5ԉ/'k84{KO:rQI}XRuԪ|*lu)3qZ[mSm5R3".Xcَ5c®ࢫI*۳~wRϿQWޝ(EJrri&ۥ^ʶ齲Im|[yb;mnm֩uiܘq>E+Ikx߄3r33-5𹻖09ϖ9[Tz~mr5NsWl$oPusޛ^{Z;);sڹf\3oٹZmԉ/'k84{NO:rQIBø8Bݱ3n֤DiK4u& ofSȒܩx<˘|N0Fչ]qsp"}! QWw@t4ӭ+cO5%]'*{eM߲DRO1y*q8w++e!c߶ܪlZWّM欼 CQ̼빶lX{vib/V/ ai;x6~]+z]MWB>re-:lgk}պ!#9?%܋V-c[z!W?c7YNm/jRr[HOzԻefճ0q15Zp#rkQQ0tU-AmڵP/cȕ?0cZYj;:0ZM=D6g ?'UN+ձ[K ܖB2'xq9{|۫N0ku 7xaj;n\ 2[VznMlWiKbSk))f..)Km)&bGZ=>OR܍W:j'rM'wYz&/鶧{Sʵb"vջq[I-ՌZH._x*BagC'T(Q:$ͳQcMCKy?3g'ߝqnT);qs #ؤZ}OOI:cfnc8W~qy.;^pVl]Hԓ>^H^@7-AA܃nmL(uWܻS߿ Td95Bdh4t6*dDh!EhI[iŨ\L.&Nc ܮf^;$R)\rip9I|ٺ?#R.ZDZ;/]nݻqs\QE9M&Bd ]N mN*D>tgbK>+ˏ.!23]BȔR1ɝ^j'k2ƮqBQq[$di]icV/e`޵B.FIIJqbi>Ӥ|p; 6${)RU>_e}^dzdfzi %ekRVUS?6'hׂ)5.\+qUgzE2C˷ecŏ^֔ibk shesFWJ#~> Wk~ݨ}ڶ>ơǚ)׽ZƉo~B-ڼrvoE:Ʃ3ۣK7+Y`WirS):{>ڛ}:wԨ(J_";6R%[u&ƫdZ_\'np| RJwNeTW,=rrbnkڄ[M3ܴz)3- R.?:okۼ0TU'w{6&w7j1z3ON'fGoO?)S_bQ_¿R(^ԴԴG.EtMڇ&RUiW uQjU> Kiu1d<ѥIQ'RQ1:O/lŗᏩiʂv&Jc{D5 Tt)1.n[n۶X}RjqnOʽ(~[Ns{ސ⛌uO,kgo֢dRNQȄ .'6W!׌P朼tdZjFGE"]K@'i۪N;sI[{SOzk>`rRR+!σj8&TjlvA̷Q?HyjyLHNտJMjܶT۽lG?SnKN%<‘ nq[N0Sq[Ta(&t(|HGO~gvkݻTR4&Z$#ViOY1r$6YF?e4U/Mvxų:zbU^gQQ+NW_'4jfz^c'#`rvrڡ(IJ/J ݦ6 ]-CW |_{v*_q3^DZ}Ic6Uڌ8p7{crZq5ki`)mU6|-Z5^iEz3P=:Cu7DF'k%}<C-޹ֲ̱#\,(f88%X-N(ck0VLR~} G"-8ӏ/ϰKq?(#nrVTmZ;zióM4 m |UT'C^_1X.gXM{%ʤd 4\ovN":"y-,T)fLQgۢr=/CƹǨJVr[a+!rT|%Y\ٱzsS>jͱ.oOc6f$q% ǒGo;n[];ߎjrk{~\VۓNIGn:iqxo |~t5)Rxעri{Vi&NUOl_ѮMfsޕkЄay.0P{7N((BaIP$ K"U6Gl ݙqJRu+qN$ m#*p<|{:>-Ev=86N*MM긭U*uѾ?/^o7;'u,h4݌xښRM:5.(/ \իU.{F^rmF-Jɷ.>Q"[4xT^OZ~mK}T0ݛ^SAo9u?lX(' qj%=X}"^e4wˠ|rܫ 6I\Ķ;Ӻw!'ڍWg{ i U_9Avhۣƾ+:vs/MK[ɭīe{`Zgb}r[i'GE2J7Nez579wRq+Un ]J.cJ4M:h箽Wxxm^ pc\wcN%'My $$| :$Fqɏ¾^қP9J6Wxvu}ݵP>Z'FFdg"-; [¢cmWkÎT8nG%ݣ7*\խCLRYZͤiD&J#'ehbSyXK|y*ӞpS̍R`[pTr/Eg)K+92{_ n3zwz'oŸۤ+sOj J:`T>Cf*lwd\fYOP"R E֢̔L4ɥ :;.b(B02rJ蠟9>V'9M%)IqnhP<%,r'P/vNSwr#w"ݨaqc(|{kd=^0jTMR2ULNz|.<|^PfY22##!,K~E BEJۜ&jRNsHަޛg\r,v؜.jK3)[EJ2ii{KEiHP^&]Gn8x=K}Wx/KI9-ϵwQ%spܾ[^R}S3$qvq8M[ ozKxcqmJ/ӿ{_}7&ݨ\f6ZSyQz& 7ۉ[8~UNn|nkiTB+4RI8'Nc%tn{!]Ȋo.nEmʱn𵵥J A+wy#+ikǒڂ;՛s85'KmE:Ђu""Iģ5p=БbTY-ͽڔ詻ngL2Q}$de# fs^o{DUUsfwӶ;s1T,ǤtޒQ\෼J=.tKU,7čJ5 N$y3kdSMQU~mO[03 $zAڟsF5^뜞"Կ QHmrR"ӳηer+ҔZ]hE-6Jmt'ޒ=O[sQj)6K}?e4v_KfZheޓ=BV[bY}lݒTTЬ{ȫvO_qpRApVŗ 6ju=*BR)g "O1yhb=tqJ gtm\b3RY+JQ^Ō֍\յ\>+uSi{=x ^w;uӘ#ĸzLn*$anok߷CBӷ}5Yqvdž<( "_OWit5:EZj2 B ρ1̊fi[n!HQF82q1牙nqnEpT(2RMoM4ϳOu ':֧_Xjsg jP^(ڙ{2%E͖j^}ZU[Q$'U) <܂%!s"m R'G5M0<+zM6qYm$ڕ$3ǧH]?o2N<8F1̻r_my[Rf59NjpzBnl7*{.QP 3N&^BLJPjAHCK2Q}$#~YMq8 k(MFMU)8MEqTy+Tʞ-ar5yܕOXw!e;q-Jqܶ䓊Y:LC UE{/t>r"lI9)3KJjϤA 6SEE$d߇3KG*En|P\ԭTn6I-ƍKTj<1H_zwGr19wF N8ݝ+a9ɫM6mhePi%mmD! """"""*1bRKrD"vnrM۫mmĽm]ӡiG~e"˩ lhRTMk^MX["Jݱk7_ޕ*DqĒ&flՒ}`W}~SմZ{ĕ~wm*/{{ѹ_-0ط#P]xlڱ~Tn5wi*lڪ (JxioϏbqKYR|!|KN53 OS222$jzww%i}>N)E+rۥ7c$Ofl/LNث\6H9: FY󡈾I)fB֔JI_ ֣^: 9mY{66㒢7Uj]:.-os[R&gMF3˸#໹kmjq^8W"PΦURjʄWa˧T!͋ lW48JB2ko+ /Nw QwQzQ ے%$ޓ7^YL|r7!v%Trܥ &|M8~ybrn[RV gSn{{*#2#ԽᢏӴHak" ӌcwҜw&RJ07ױ>Ļ =^ BɆ)v32.M1=#6%̠tҤnzqMwԣ~s*%-j|_m*.Yx9Sz=)qE4 3pk+,`=kNRڥ=B=nŔNAx)Q$ԩȧ4z3t#Z2lҮYn$S%y- JzGpu|LBV7ZW#;Wwipܷ%(6jFG5#{$D"uۭ~]֫SrD܃fҎӾ+Tu>-ZTQ& N|$沸ii>eRWݳu'[O̻j8JۻEѩ[]vni= ڒ,[_%kC7I3Nv$4ɎЈeٸoUu:[}Do5|zNq=Tre%ɧ6&~DȍF]ƞG5q m]/w/ \ʲr8=oʔe9U(W"|S]uZd#?Se[W"ֿh][-7Nu:T=)R}.;ml*5Dlf $fF(̏T hiIUU4Szɕ t(%_|2 ~6eM;TƗK[f&]LK^CE2[ȏBOd;Mi|cx,^6;sیGpQ\NuJIFTJ~đArh* B"$H쉩eXPRj?sl"ԥ)su]xpԴY%VESH"ЋJǰ K&5^Ukzׄ8kEgS2h&Se\ Yl]WҶp-ZUvi7QS:4byqOo+[̺腋[6-_Fo.6[7$p&^ _GZԸߍkc.qqoI[9m߸YxOZЦ1uoiSH)P9Uʄjcq= S>֙NeR><;+ڌk%_qT].srNO?s[=vH[]RZHRMtᩗVؾ:/~u)ԍdg%=edVrISb{6vSu=(ܥ)mTv/J}̇8 S3ad:^hBSf؉OɔLhI_1d8,L><_A0y3rXq"'(۱;mFNII.v5_(^q~X>y{3צ I*Vܛv/jW' T'NR'j%ꔩ:mJ3SB}΋!-H-RJBТQoedi9tjENenPpke.%4]#{:>mkEɱdYWl\\\'nRM4&U>?Ќˉk÷!𴪛]]5}UqG~ݏI"O~s6(Ļ)qO~h}uԕd}Q~G,oE!&G&/]_H-O=o{k\̭bkv.Ô܈+;arZx)m?M\3lU$mk-CFXjTv6u' g:Vn_*qk:VC A%'4JV%EY)#BғO4<e׿jQQ]yUr4=wm[K1r׵%Iũ-O}|kC;/VcݩWZ)EHdžTru]8hgĵ-;=>U_ InvTm_jBM+QiF"9*{DI/iuo(=TzϖmPQl_v4z>T*ȴ>YF;ε\t]EH4ꌇ[VrLzef 2T^V>g2~kg5~Nק;{~Z~W}&ŒBӿS2$J?~(Yœ"˲ߩ\O]: J׉ښT{mmIѩn3˧)4LdFZ/zUG>U> n 5& ϴ-KJi2o]uKljvK3$bԔҚV旧iY5.ίfi96v7!v))FJM4{jG~Jt/lUE%pTAFe4qQk\ve۽/u/Im+W')v{\-E|Pms7߮DZRr۞/mu*1ՙaB܆ -xg3#6ۥtRogʌU)׎]ZҞNnŞr}F1Nnޞ;cZ{N}ۿMiuxʉ*3qi'9KHQ$WJxXyرŔe~[v5~/jN9Q4o6rJv FrdxM*iRjMzUinHdн7ᾞS=S'7 } ̽zt7K|_g J=Lq+/Bw_\ۧx\HJUPzQ<hqF[V0x==CsU7q|^ {)Iq38$_A(VgcKu06Ƅ"%i~_ˉk QCܣB8Ku/񋇵u([w}$F|8TՠI.E !;RJ^}MɒD_q2];Ɖ{5}*n7nEInO{Mwv}&q+v [V}Ĝ@%>#dXQ$f;iep.GquixVt x6bj͵mlKقQ[T]zs/&yەnM'W}!Fp_d^Tu N{ɻ'l{խ2.sTu{W^H&;1s)Pӛ6>$mě;Łnj= fLT)>׸+qReɴ[UR\L*P/!$Ӊ3Q 'K=m~6XqW3^W+ųO_[F$rR*u"T%@O +%# ]˽!aܽz{ͷvQh쩎]hGތ5ɇ*DzJDRNLi 4:{~2FmXY-zzĽ^f=]uū{/+&c:Ma{ĝDp2m܍kHș/(--m_vݮK(V{R}.k&yƴ7i^4@3f sK3^Ř˸B=]?gt5KbZB<e;kQLpxuWC}n 5ҴepB##~q= `x]KWF {GfŲ}?G.I9pjWkU]>={7q{kO/^I3==f1ɏ%nnʫ/Zu_yXN<57ۍ'vy/"8넭M2eԷ&Y,в33%IkjMr7xf nmQkX4踼>a-GcIeތw&U=-:qnW)z¥j :WqSZvԒ#j"KrIU)%qrmRoDGQ~SYRsu*V)  ,/x)MFD6O#]z 96[Ui(JRfw'y$GeUީkdMF-ݻ98F2d[o{Rn0n-xsV6Dh|Eb2E:KCOӪv4SJCr"J!!m,hRLD| ZYFm/X~ΧfrN&4Ƒ=Z9Mh.Mܵw/BdrܥniŪ8ɧ|y%œ[M=_tj?F!z5\evM:\ ~F-sg钬OWq“iiȍ<Gi%%n2rqͻllƑ)okw7}\Uk-:&fj솘XerV9yZuʼşdFC=rmo%~ZN78X(N)_7.Εn1MpJ}62jjJdI";R5&iLԸc:jmqiQj$ujp\{;v5B񥍪Xn Ą4qOERjzN(Ga٠䌡)p*v(J7#ZۻZ8O W uONb+^Qipv9GvֽƼϯrYƖKGJQDNPhRJjᡧC"21"9ѓS1;R_O7/WGz)8fE%F2ukmvSov/iZ&/]~KmI[:^~ͤ\kMi稜\ywJt3W7 8Ʒ~ݥeFgѼw"8VVSج\뻆}ݭ/J6Q)d|)zU3>k\L=;ow֯gN3pKѫ|wmkZ$z^2R:E)f>ς нd|#׆?\ǔpV{;\$ƵE%-ͪm0S6[n< kE[}mvE4DDZ^$OZ0*$~XUv҅B@^?]so#%ojw;Y#SxxueBگy v^i-)s)zV jC{7Gt.w3v,ygg8s]aE_,*E tY5k٨h=o"m泏:\6w噓aiL׎n^c\75AGkЯ0Lf46َ`egZ˓p/k;̛]kq!ݸzpԭG"}R9Ve>ˏHUjJ-&7nrnwG*Xv\˱/vN}O)ʼn&CV͍f̵]r\PMB-6Du-#RͰtRN^)mT _}nSȕC*_xBuTkJW[`ɩ`ejvsngP ڻ.-WUtܑqԹQj)t;vN&RNũT+8%IXӃ5fK՛-d9 ]CƑm|nZ-6=Hz,*aEm W3VzRšdY~Xf׀Xx"]s;)5u*ُHB BRGS6bݶؿ 9j[1*jױga7oX CUI%0v#~\-O-Ꙛuɷ쏪&5mY٦M`LJ2qK~HZbr =N'YobI. (^ ׾{_ ?OJ`S`3BN[}5w6:ǵ/iSlt=4F*d&T4y/#. ɵim5Uֲf 眕6Y7 fơ=3dϕq뚩$qTM-%r!$@A? ޾V0c~{[{;򥧅a~ڵ»&ڄv1ek=wb MLkNAԬw-x>~/r=e73VeVN)K%Sښe"+3uXuچrn ֺVzscJ峻m}vb㶓n\YbIUBT%*,0nov=;z꣓S/nSXSpl##k9mXGrZv^Gde!ŷRԠzQyjC]`gToPov{j~KRBMY}i[߶9KL2ԉO0K#m>wB[ٍ+n[[b٦DX ݲpo] [\m5qdT()mo4Oy9Ie b][wղmM~vmi۱~t \}$яimRk(L c Cvk7r9_r1 ;zv|F@KyZ[&jEji/"6$69ml#e]9s\{ScL}Ȣؿ0q/nZ*t,CLoD߉Njǚy=Pgmu6^]l-["çUʖMlʍp-"qmU>۷uFOJ%Ǔkx 'g=睋k[3u,{³WɘݪF]ՍeFX"Oy\,cچ=w/gn Ļ]#2? vqy-gXnR.^}ݺFs{ŝG]}e|#0mjx"ƬWكm?rgU^xVB":Dt>@LRbun~ݭ,w+v⪕;\U(RYa61>#Jm˞Μ9g9XKaG='u8gf}'qy#ɉw J]We.ʲ-<+&q%s?2dњztҼn`cΤmmqMdz O[-ߩӲ&;[tmܝVnr">{x<8U+p:Ig]zjGkt,uzf}dؠoJaکqEq -(:d<պ=eKy[˗^%ZXkX[C2߱\ITTLGzANM￵i]K>UsOGDDD.ZF6* ҃V Zhz{'xp^`wo8r0h ZmJ5"jb[l=yUu7-;7IT%:jFjߖm0tzU'K)څNۧYJ)4IQ}^KWm7kSP>q;ނ#)'n7&׊r?óM{IwR\j2Qn[v pe#/tAF\ϵ225q֒om6z})6҅*oqDsMf CNIN=T S2t,_ѧ}kveMF0J\Rnnݙܹy[rUc-j{yGtkQ%s]5qB.Nw.JN1LvR Ui5J ZESQԙr):MJ+g}χ!2;q([jAud][ljVK3$ײSJI=/|&tl'*n۽f.frܥ jQO8>&Z];.|7T/C}$ڋUmP2Reҭ8hFF\L 3~e v\۫]ݝNmrnB%*]Z«hKc=BTLG :V74$=Ǘy+EX'4tn(I:Ѝ;Df8c,k1%dJ6.j6ź{N~l6&*fœI7 WAlGOu-ҢH,,(ǔe뿋쩨kM܍ZſgRvQ' 9)?n|er˭|I|-fGK.rΛp8XV1%K6mvG+tc+qE&ǸC_Nm:l=_/m5^[dߌڇ.c<%:)tQ$Ow~-aY;UJ>=F)2[nk؆?훐M=l6[4(O.]2#-H^n#->&mp5~Fӛ+|| S,xag%qkEUzUgæBhߕP(7]kFnq?֖CpruZ6*rEڊtS|*tI*E}7R<,nUU֫^I7Q*mSly%rdȓd8hE<9oHhMfNSRj[i7D[Rj݊+kდq{"$$H?p\̅S?㭻;t~R߁)^/>Qj`yt[w ԛ;²~+ߔ_ YW~|o]?x^ᯛ `ʼn;g)T@vWn]>&4lp+$D̢1l|ȨF%-}.9[}w~ ԠLM9hСablfe&QoW!s?wjLK?s7yO>(=C~_nyǜu?v3vyo oI@qV-jeES^[9WoSܝh"l2C1a͔CiJ@3:Pճw=/7ovuk+\V;lDgն<[A+rX~d;m!_s8ݖ׷;;.0llUC+?i#_crʙ1~C.\–q ul8Hܶ2m`ܻM3Tov|Bs rɵ"oLS- DКw=Tv@f'6|YlD͓Y%׵-#Ѯo%:&!3o%\J<02;K87>^vgƓ# ;ݝmz^Y6=PS39U%~ &f# }o!muH;ʲŇ˷yvP+&.7e[3'vR4Yj̗IZ`e˽3o[WU{ m[sUbۋZǾۆl6~9'V*.\S2<Sd*zY[aŶ`]C$n.v^Ʌ dng>ەZ,Mmϑ :n6nϦezWqUJ4! ۇ4R! =>>Fn|Q[{pRO17ƕ~._I''00k=b՛o}Osðc2'o\3}ݭQ^2 . R1yKȣtAݿ-uܾw!`?1Whn|gzUo[ECWwjUIן)^h#1ɭ!/Z np;o;ΗŻkXs."6E`Z1 עӐ9Kl8qd q} 2Stt;#j>;խabONŗ=fwP1j)l6J̶|gV2`y/0E˛6+ԫ1? 6}KW c\KoKͨ2ۅFw–s*TԞLיuDx .kCzWXhy۶gLu|%TnupǺl-S* PRaLnT+c+*xl.v!.U=|; !_L̎뱚U=4hm:ٯ"y)$:>%(n}X'p[ȴ ^˒4kƓmzDx \ 'NqamP7nyN݅=j7%McSڵj%STy qXymvCg{w/w=wSW5r̹u erծˊsOm=DhEҚRb#n)QOxtվQwe]I}wCa'"[ۂ-z}2UuKP$㜉ԧ:mc<Ý>RoL?wu|%ҷ&K y_!y9 ??:tq3(UU-lkS'ɸ@jdzQˬR] EVPW1DJq2n:,c|ǻ̑;y{X,ۂ.u.b˕u.tKBjQ"[S園S`ٮdNبeJ&9Ơ ~0a(Vm٘L+Jr*vڑE( x0+tp˕ n';wm-ޜMOxX>{#2%jgb2M[`K*\5@8l'e=0u+w ֘鳾{y܀:R*Ya]"Ӧ%ktynlۣ65,3gU}{GYrb;ge'TKwǘ.,rpܚV]Tr,!dp /ԺU,xՉ>s׽~W5oTh yx?xrrx?)?ilbT׬,z$Ԏ.UH٠\U1pU:]JwSrGZq8àd驐,N67QYBӢD㏙W!Q25ϸo9ms-7-%3CihO.J鯽-;MZM8ku-7k9S$8]q2E(}bۏI[DKOK}3KUB^u %Y,u.-&f#]'܆o$x`Yu,dzwM;#oKxn;\[d7}Rb+*Y䛂ZuBӱl{j0O̓}LhK;[aֶaGL{Cb#S.T[>߃F]NK"u^LUʐ_ykW?!GRj29͖qa'0[npcDvV)qz9R)PۨM^aJx W] r>];eN3vxdmĘ(5W2K1䪖weF{mE/QP6\u54x5[hۮ-Nk”i[lUgL]J}5 S:EhiUrgHl!ŒJ$pe=q^b͵Q' ?6|R\,JA ڵ"TDꈭ:ymg`B5t%M] <N_zv2_Ortٵ/i/ReӮ*7[qүqEG* m"[I:6e^p"I$jԴęh!m)]GZkcjS!{e^z}+Cѥ9;R|/ֱeiUԏCNu2Zhcٗg$ݭwvr P8*7/Lk~I'Km1+MW%Bk|oOm>-#qj*|Dbѱkn|n{v#jĮqNpMIUm(7Liz;{ҜݞڝVƚVϬ+sO!OstGvxӉ']uӎ4g_ 1^-8ۦ k!)Ύ5O;YSB#2Zzχ;<.ֵOtge~.(RC#wFZeGZٸ6FFJ4e2ˇpJT$[wgV)q6muDGJ56q\I!̗ y/I~RtJ9kJ]Iy*'FN0s.[l!fw'y(7$œ WƫgyΙdMEU JQJv̋vmrۖ.jWR_M֨djYgSj0^\y'EoECjm$ IƩK>Z28J2TiJ2N#}.s cArl嫶nB.FIJ.)۔\ZiM>/hLĸ=C1s[?YMqp|94- 鮝𦔽/k^#NT(Y LS$6˩}{;5 )B۷W$qpN)qqoot}ZDVә;7TiK|6f3h$dԄ}fqݡ>Nb򗉉+ͶO]>ߡ_VtYf79ڰիF sq~prս|QM)g%l0ocJȨHz V;Bb/kLAcfPJ,ԭ{ƍgpjNR6VSI*$!yV足jᇑ.](EܣqM\qJ2eZT).<9UB/(B0j)mtKEj#׿fDI-=rZړj|'Nڤ]k*i$5qt"ݙPM6E4ke^Z8ۏhz$Q(R Ay2zfRñnpnkbkI:=j &ΝșW?׵d{+ύM'??XqeeĽ.[o=UxFS=ӷdZwenՄ]_X=ĭVa* pKs0ބۍfJ3 gz̚i|wnxtjc¼5${(1fXQ65ȼb̶Zkn>%FQMJXӡ{TZEVNᖣimT/37cNJUPnP҂ZOE~"-Rc4^b- FEͧtf5[)S!OZIښݲ͑;tvܡ+N)AR=hCNn;wL16-:特7M$=Tҕ-.R[HٷnXk sn[ҞD-0WS9p9:-Ϸ-jѬNu{ҹfv)[Ľvwfg(ٷfe+0mYj8Q1\ݧg]Eǎvڿc!4#j5̋C2"}BRriFp7=ô\TZ:\BLfj#I22װ<;صZl j 6:l"6]۸ K'6RTѯ^ئOԓV\?$x7s#r:Oh{ց=MmuHԷd{pN /܅:UE#Yy+(SgQ(Щ)RHzw>^Ѿݻ>mK&^ '$Jۻ&w%F|xfz%˳ L~3N?Cy9 v w/{ƿ kz3x> sXv}vP"@WyC z`'톽Dw%-tt yVY\wmuPYQA0iG-2JP,6/gˢ]u.-n!Zw.N7Q]Df}Q0({a\@=i_X7gFǘ8^⻲}G MZ1)WEfO12G+=-B@z\`||w6ċj߬m}UwRox֢I &c~XGP6Qndpvܻul'V7^FJt^{b^B(L~sѣ6@߿^xqU!ڙ5|Vpvef-uӥ^3  FSDɯKD%0r}FF穛r7 +o"V8tv̖NQU!5uFd"bCr^bJ=֤fM#ʳԷP0O-9xRBm\=`r-:;~3Tl(nXtXi%2Vٛ#vwqƴ`L@"H‹qW.j,JM5B[)WܺUeZFqc'V˷1W7V̾-MHФwn8N;HPSdݷC7&2j.W\τGŎ'Vb]c.x+Rx1%C2T{myg[qU|+m:M:շ8҉yWd)ՋWS%%:iqlʹmGwݹ WnNŤѩ5(9hTٵDdGUi-)vSs2 2{OnT$Xck n:¶(lASLeȔBjμPpTb2~N2~%^k[ܗ[Jzs0ӓHBKq[}JَA-$dFQgjxxFv4r/x*Rm% `4J(&iv7SkԲmSH1YWmx 8n.k']:Z˭_W >ڃXЩ. jTq%Aā[E}amc]D:rmHRiu:uӚӢ\p(5-q%e)(۬ҖȽIf<߽pr&ݫVfY91q2ĭEQgYbTGQ&,yL+N$[q*RVۉQ=FuTܻ>f>f㋳8N6$܌n)9&»iˤsX,݅܍ȩv+sRTpO}d?Wn/Inpȸ%O]StQO|v5\}7Zwb.AIVK^:wb{[uݯcytO߶S<{8KSRׁH̏N7ۚ[xkwYy_'ZӵF+>쌛ZUĦreE9F[24De{}@:ExWs-\ǻ7K-\JNvEk%:s˙#κ].oͳ;լ7wB6nwu:$L; DkI#Wz.:Xp(˅v$Sq,wn\qIN-e<5Oe+vuYTpcojUI_ާP8 O 7&VL8z$_B-H-[uh]T{|8=qVRN-:Ij:7PUtXϷmy鉿:RIM~33ӸS2#׳GdŲ5+/Bx{(WzȨ5Y㞎#|˖+ ط.|e<o/rߔX>7s}VE.OVti׽ .5nNJO"95{#q}Ay9do]R"M6z\tnNS-D!@3N_jicWsy*5uٮRcWv/.,j}=S)j5C^> Ie =gu9ӛqjtz]۪TMoߧI!Ǧ¶m:,"[L!{qAv-o 3{"KʼnrIkfٶj2ƙ؄S`7` k6jzޞ?e5G&6uʷ2%ԒRKE*G\Npom F/V |C0.q_eenƣ<5Oh'67ɪn[SĽ{ڔjǘzs;~׌(ۂ`ܢ1ƣ` _l9Va6%UQWh~P~\F^ZHR@:ۧCJ{ôGeBh;~ۧnU J\O+n2 RҠ)ng}Kh{5+S×ܛ.1ZjG)iRȤIN 4%{oΜ/eO[Nffd ĹK?nnԼMqX'܌nZvq<ķbFnͪaQ`5 s,M_լ?-@_{w{ӺձJ}GF[%v\5[ŒGkOw/ΜM9rjË%2+rd~+󲕛C9U۳r[aJǭm|˒LAʨSCq[XMۺoubfp:t+ΤĻo ][ zt-*67kvS7D·MMCQXm;)܎n_h%]4ܙnRk!]ڵsDUF"`R, &#R_*[z*ZqFXɻ]7|۵w+'pFDەs=r./ᐚm3Hשy yD"jHCr':sA65نѮ^o1V/ f;nFr3VM)e*- s D'H݅fӧ\*޷[k<7u<-]֍Q8R h|p=WlW3s%Q %3l}@U-K6f-NϿu|ڴmWN׮[׸F*mW\%r! C78:޳vBG7ŵ.JթԚ2x)ST!řn~9 W:Wpܢ件{xf8ٳwKE ҰWxVB\qBZ 2wMb[lGSnyԚ~z9ZmያvoN2Afnݽjf>)j3 !;gOYʹK" Wftڎ+׭b*2ϻK>ۢӱeyԪXISUm[z+ugX%0lϏnvg!;t{BqPj>PyvR7Cj]O%+ݲ :qiMj6W}3vC/R=4Som]ŗ=ю, TF6U_-\6MyskwMr&Q\wjKܩyMϣUj0*}RZܷSdY3>Zjqj6TgzpA/M`/Cmл,޻feE[/+uk^Vs1W$G(JsW2ٰu*߻q*Y޵.Wi:ur5T),=0uRmho.twܖiYwrWHntvEj8qhf`Ͻpf(R&>Ki%I7$QӖm-2 ~yߗQ-앑/ x[k8nw.c㩵k}]FkbJl:{.(˩n0Hqvαp7 귎.Gupx[N`Yq'+ruU7[ү+>!xrȫoSo]OC# d^Q]\>!ƛGw^Mx"-+%vdX-:M2UR%d>%l ioSu6lsj7D P>XxHz Ukà(n^Q V>5cVtWj SEiJdznyej[lE' 3kuٌNn4JW)gB {4 j6&]' m-(ZMEz8cz>WZ6#7+[,MR-Z!4ܓtCyE|umj1ƽvƷV\;%>Q :#Le(iVz5 4ũۤUWxX ^(ҔsլB2w-V ^R+; ˂M\z+Uwr+RWY⺧~ Q*JcYSNSλUd8in=v K낫k\IRרSUaCFmϿ5̗P|u ZTԕ}>oYѲ1sfP+sQkX8Gb~6r,s>^\,mGL+7[n-E\.Fqḕcl*Jmjb5 ,m]c}NXfeVlǸJ5eˡ$4%g~N p4Y*WwW٧<8v#;qԩTut,m"#Y D\5V`\\Lȋ];LȇiS6ϝZ l>LruR\v=ǘϔDg=ԈdFZ+M{=|,[;0>RiSi4,S5}yxw&(E7&fݙ4UՕ! ~'Id)]ǽu2K-fޭ \08Vڅ쓬=Vy^^ IhyKR-B#Ըr=]mܻӾ'*Umkoy rTqT_i,/8Q^<ݤ|4ԻO(܄"'5N~#m.(Ҿ2i6Uev&I*<}҄$eNtÛzyWJubW^iBW.܅Wڮg]irO6Ve90sgv.+sV޿aޔ[p?3q*FutUo*eL\KM'EG*ZcAFfG5J 5jj=MJ3OK:k˝'NMB7m3uFҕ\-Ywg%PRqMIyZGY9|μvn߻5cWݷa^+X֥vnݘ\v7m>Fgzv"-;Ew֝}1|RjN𿊀7g#֟*GQQ|#/bo]p$>_Un9гUbn9׃ErQBU-^vDmVh'<R[fdHT]*~}3j;nvjc7s-rӳ Y8[n[1pJx kX[Jk9Mn!_Nю6x:iZ˦U |߉^Ԛ݃hYxk &U^bwKk.[jE+P(˞=9j@snCv7%c_7=xǁ<l {t'酚+1F‹l׭:ݻILruǶkL-L(K0L1&>wXB(pm;1fpnlp֓%Skidkt(U +xulo'/ڕeN r=^pZZ:Pnj8Hf"48ijY[ N[yZٻ+=  ø:3 ?^ܷ^Sr#YK[UF?CuhC b]GM')mڏsNrܗI]ljq6VB. W,UK"YX5{c >Iqā> T:n!,5l2VzCl|+I[*SrjnS6٨y+x,@>П.g+!rn9>N|W>OZT_ut Y""v7|sfި;Pclm EùN,{'fNT%U&LfH8~1v>Il}统u6P˗c(WV~H^bMU.o*oOF0N:_:6Smr_.b+|ݶYY غF,mwjv>f*>QM뭱Sd:`N{l/⎱;n-z~"Gze퇎J5S KG9!Gn;N1 ݎ h6m|S?ɂ5'WOÞ 7|7^ao @mxGmi^jϽ>01Mf0լD3-2T. VXR"ɥV Kl J O7|u?bvа;6.eߓ|[1bmRr,eRz`z 6܎-ͨku͹Fː dPhYgZUj}nvX;z=gVեTv_J }\1n7w2J?ޘγc\E 1Aޑzq;\r]]\Y&[nsNei\uURje*Qk2CSl*xJz-xٶlm+|UjUؓ`Ladqiĩ!Gd\W~fz;Tn*PdRM&T4`չSWq5k훶(N"Ӎ% V]֦wb.nUO!u*J&Oӕ2e|Z=eV쫚΅g#+/RW:طnbi*Wyo)p{:ETKؚR(RY+r웓r(IF) VmȵNB:h Q1ғ|u8E]{,'$-TR[j49l*3"I鯴zhd>Q+\BkNF=.$ZR4Nwհ(IpNi.(Gi33#33e$FXK*NdWrud[r{xnk$v2ıh+J1TQ[#JQl[tRO]LHKٮ NӍnF񨔤֞Em'MILB"ԋ%dBŋ+p̿_17jzT~4pc Vo\ƹb9Rq-'1j;8ܗ)hE%DZKS<璸Bu*%*Yw5ڻ9ۣ^z4U; Ñk\U(o~G?VUĎ:?P?_F_Kߤ~ᓾI |pr.Ok\SklRhҪz{­P .}SktZ7UQ4ڌIM8̈eaӊJZ%FFZu,KZvln廐SNFIVtuNi?CM5]+Ph,{jN JSR$IS^tSUVrORYu.9WyP6 [Kiu m!X|]Y79ӄ)\ģ)pbڳr%*&ꑶ_-H*dzk)1 V3')UAϹٶWRxe'պn۫h7AR9 EAJeGLms!%D| A 5]/Q3eb̄vnVn%za\m kZnv([emqrIҕij|""><hjJשvvǕ|Pޟs}V~2&Z?+2N&Z4w@)4iSڪ_>/JN9Hiۏuf8'It[ȲR.hZ$ȋ_Y ~U<UUO*6b)Ovzڜj\R̋.$FsQuҊj^נ䈈y<zZIuP[}Qm=C?zN(Exqu/kn S-FzKZzOסӽjJ\)F3b!r5ٝ|;6 o=-3*λ]αb\abqRi-w޵⦪~b8Kpo)Z=>)ғ"5/GTZLE-輵f7ݘ۹~+&+w/7GFI:l33fg.N~۲\2|*cnermnnM+Fq"ѪIz%j =YW8@~gc/~?N'?)«qȸs➟n=k" X“m֮VreMh2[uݖ] *FܖN)MȐ`f0 g,C9̑o;ddudJ=In13:ݒvvdMUEJLp^,6t-@͐9'{7m{-3,>hnF;ѰM)->>+Ěz!R* :`e--m7nB\u{b U>[8֪]6^ߤLʦ\DFNo$$dͶlgno8OrsQ\l̯hRo8tuNo+ CTxu!2[>ctFpeޓƻֶR"3QrQuOѳgwQr;S~)6HhZw/GgVTmUf_yt7%$];zLWF̰xy2Ʉu!MCmš_0[W6jf#a-KLi+3Q7c^qg%s<1aYIQeZf+}>;S6L0]Yu_h9߻<ƅpmiM$AVvŚ,*#t2.8Y)-Zhshü97/#Oro"u^/uFgWɺ,p:6a,^x%$Yve^3PƗMnTP&yS}OJ '덫MH^:rXԴJۋ/rI;S*,+yz1hv)Qw^ڍJ2oL׊q(\fDj:^T%vOadɂnS}ZO)N*λdaȜkG_PIEO}нa(^iQX᯦-7^)%g'SJx(.S9zVɴZ{E ))ۅi/s7 VIV-|sj0*UBTHIqRf>FP$KqN0 R̻8j\GcC}IUz\i 6F)Q{Gҧ3qSzKj-Az VЛS-zy:8*mNk|D鿓ND2u+0Yŝ7kqm·?8Ib]u>˗^_>(]vӋzv+ݩ){vZrJ2RQ몋C$z [,pp,8mڊbR]Il .f~d/ݓs㓓mͶ{mgjQwn=Oic9ܚm4Q/6ݨ[TƧ?nԶoytf{@AzT{e{[O'ZRZt~AGD?s3􌿂ՉIw'|~U\ w~di:Kޱ)U/sU%njѩ&GSP^ǝd)..!^U` 1wX[aԇSxoFV6_扐)T 2Mfd=ۖͭiZ7KK Bi9%7@<3<ճԻU,},a}FRqɛr i@ONJvK KLN M, ʖv0n-]DwlI-X6ܶ$Jʴh5O+mOI+Ra瞠\ MG7BفjYo1#͖0V`Ѱ2M?c8>-Crt*JkIGS:e#hPKx[鱼>{5m;wcն&>j-M֥^َ) 6yȜl_w{-ō̱r> U=]iw3)r*]:K]6BdCTZ|>gf}LW}[$'Y5 &c -j.z6R 67MԷFMnÌwI7w5E}o޽+K ֵy4܌ȥW"COyR[q5Ӱ͙f[v"_#q{MV6܍3"u9BK(41ӯqˇc${ߝCi6I(OmθzҜ5k^:>Jzw.>qV8{vU[ڶEm|DžBz].KHjI]x;Mɗ{m,qZXr忇2u^RO2Z}ZێS[2Jen!*NDcrBUً4<ǼMҲs1Zw57c3&ĖڻzmP*FuJG1-dN:|OU}ҵgi2t~F^^Z.VxjvŧnNNh<:]^~NN+ge^g.SԔGFe߯'[vn'(ScJ]kܗ7eJOlRrfziݮq̋S"\*U<*W]k$FջV}? 7g#֟*GQQ|#/bo]p$>_Un9;l S VvQU%OLU{οmU6bZ1MTx%!֙Q7, J=!3 ;Q,ڌ;6ͱ݅q^&ߔ·n #WbwӖX.HtG)N&d̵zpI,n cu ޖUj+VXUp[w]N o.J6Z8Ts&utxln;~HPHS/xw`G\ʡ¿rj Z^vt"[L:SD\h0sUwR,}[x^X,R2Vn< ]2YDr[SRKs8tXb̷G?Ps Tv 3be,zVz D[/I.KOEQrm'$7|[J>r S`5յwT#\w1FTz\Ԛ &"ׅhSHrD\'r]~/>p;:Piuu:"9ő=tTaS7V2rӷk7mb[^WmPp*[y.Þ6f]cizJCgRR@UVl큝.WJP1N{/\whZ ػϧӱE7|E֫Sί.x-Y&pi%v''-x6r'Ws*6=DwwUu]=C?MK [yrtܒG$!WGqJ*%SAz ED[^)/tė/g=#Omd.|^n/sl׉g DZqemqowݮRzUܜ=ڽ-o/Iۖ;qVʘgPp|mm;6zGl9.8pwWgsJ2qPbe}}UpNjٯ}7TMQKrؽtEx%v w߾8%|j;~|}pK]ơ/ w߾8%|j;~|}pK]ơ/ w&~e_H 8PL7:%ʭ5Kw&U2vwR_+rm'}C7#rWoO&HoG?M$UR7{FU]u ;# !Wk`|W>׹潇9Vn)6)*ҹ{%qV4q>W1vi#T"Qk&GwxcJBJ- Ϸ^ˁxkU}ԣ/3.;]J=<*)cS)ROK9H=,r zX @)cS)Da^ԽQ gxJI=w֣gf*TRj

#E-mail: manbok.hong@gmail.com, TEL: +82-42-821-2070
• Received: August 31, 2018   • Revised: November 15, 2018   • Accepted: November 19, 2018

Copyright © The Korean Society for Precision Engineering

This is an Open-Access article distributed under the terms of the Creative Commons Attribution Non-Commercial License (http://creativecommons.org/licenses/by-nc/3.0) which permits unrestricted non-commercial use, distribution, and reproduction in any medium, provided the original work is properly cited.

  • 30 Views
  • 0 Download
  • 1 Crossref
  • 3 Scopus
prev next
  • This study presented a mechanism overview of a novel modular knee exoskeleton, ACE-Knee, and the analysis of the design requirements by observing human knee-motion characteristics. The ACE-Knee exoskeleton consists of 1) base frame at waist, 2) a 3-DOF (degrees of freedom) passive spherical hip, and 3) a knee driving mechanism. The passive hip is designed based on a 3R spherical serial chain such that it has RCM (remote center of motion) capability. For designing a compact and efficient knee driving mechanism, it is realized by two crank-slider linkages where two sliders are coupled with a linear spring. The proposed kinematic structure enables the driving concept of the passive support by the linear spring and the active following by an actuator. In order to setup design requirements, gait experiments were performed for level walking and ascending/descending stairs. From the analysis of experimental results, unique motion and quasi-stiffness characteristics of human knee were identified.

RF

Resistive flexion stage at level walking

PE

Propulsive extension stage at level walking

WB

Weight bearing stage at descending stairs

WT

Weight transferring stage at descending stairs

RCM

Remote center of motion
하지 외골격 로봇에 대한 연구는 재활치료, 일상생활 보조를 통한 인간의 삶의 질 향상, 또는 근로자/병사와 같은 정상인 근지구력 향상을 위해 개발되어 왔다. 지금까지 대부분 하지 외골격 로봇은 등짐 또는 전면부하를 짊어진 상태에서 착용자 근육 부담은 물론 부하 정적하중에 의한 골격계 하중까지 지지할 수 있도록 하지 전체 구조를 구현하는 형태로 개발되어 왔다. Hocoma사에 의해 개발된 Lokomat1은 척수손상 혹은 뇌졸증 환자들 보행재활훈련을 위해 개발되었으며, Rewalk2과 IHMC3 시스템은 척수손상에 의한 마비환자 보행능력 회복을 위해 개발되었다. 환자 재활/보조 이외에 정상인 근골격 힘을 보조하기 위한 외골격 로봇은 BLEEX,4 HULC,5 XOS,6 그리고 APAL7 등과 같이 주로 병사 등짐하중을 지지하기 위한 형태로 개발되었다. Hyun8 등은 입각기(Stance Phase) 상태에서 하중 지지와 더불어 유각기(Swing Phase) 시 빠르게 움직이는 착용자 다리 움직임을 방해 없이 추종할 수 있어야 하는, 정상인 대상 외골격 로봇 보행 및 주행 성능에 대한 연구를 위해 HUMA 외골격 플랫폼을 제안하였다. 또한 Ha9 등은 산업현장에서 고하중 중량물 운반을 위한 전신형 외골격 로봇을 개발하였다.
언급된 하지 전체를 구현하는 외골격 로봇들은 인체에 작용하는 근골격 부하를 모두 보조하려고 할 경우 유리 하지만, 다수의 구동기와 센서 사용에 의해 시스템이 복잡해지며 무겁고 비용이 증가하는 단점을 지닌다.
이를 극복하고자 본 연구팀에서는 하지 전체를 보조하는 형태가 아닌, 병사 산악보행 시 무릎관절 근력보조를 위한 모듈 형태 외골격 로봇, ACE (ADD Compliant Exoskeleton) - Knee, 에 대한 연구를 진행하고 있다. 모듈 형태 착용형 기구는 일반적으로 발바닥 프레임이 존재하지 않기에 기구 자체 정적 하중을 지면으로 내릴 수 있는 힘 전달 경로가 존재하지 않는다. 즉, 모듈형 착용로봇은 하지 전신 보조 외골격 대비 시스템을 단순화할 수 있으며 경량화는 물론 착용감 향상 등 장점을 지니지만, 지면으로의 힘 전달 경로 부재로 인해 기구 자체 무게 모두 착용자에게 부하로 작용한다는 단점을 지닌다. 따라서 로봇 자체 무게를 경량화 하는 것과, 유각기 시 착용자 다리에 작용하는 관성부하를 줄이는 것이 필요하다. 이를 위해 구동부에 대해 효율적인 메커니즘 설계 및 제어전략을 수립하는 것이 모듈형 외골격 로봇을 개발을 위해 중요하다 할 수 있다.
Kim10등은 무릎관절에 회전 구동기를 직접 연결하는 방식으로 무릎 외골격 메커니즘을 제안하였다. 이는 직관적인 구현방식으로 설계가 단순해 질 수 있는 장점을 지닌다. 하지만 무릎 관절에 구동모터를 직접 부착하는 것은 유각기 시 엉덩관절에 대한 기구 관성을 상당히 증가시키므로 저관성 측면에서 불리하다.
다리 관성부하를 줄이기 위해 보우든 케이블(Bowden Cable)을 활용한 모듈형 외골격이 제안되었다.11,12 보우든 케이블을 이용하여 구동모듈을 모두 등판부에 위치시킬 수 있어 다리 관성부하 저감에는 상당히 효과적이라 할 수 있다. 하지만, 보우든 케이블을 통한 동력전달로 인해 효율 및 제어성능 측면에서 약점으로 작용할 수 있다. Pratt13 등은 볼스크류와 직렬탄성구동 개념을 이용한 모듈형 무릎외골격 로봇을 제안하였다. 이는 직접구동 방식으로 보우든 케이블 방식 대비 에너지 전달효율 측면에서 유리하나 크기가 크고 모든 보행주기에서 상시 제어가 필요하기에 에너지소모 측면에서 모듈화 하기에 단점을 지닌다. Dollar14 등은 역시 볼스크류 방식의 무릎모듈 외골격을 제안하였지만, 입각기 에서는 스프링에 의한 지지를 구현하였고 유각기에서는 볼스크류 구동을 통해 스프링 지지점을 뒤로 빼줌에 의해 착용자 무릎의 자유운동이 가능한 구조를 제안하였다. 많은 토크가 필요한 입각기에서 스프링에 의해 전력 소모를 감소 시킬 수 있는 측면에서 장점을 지니나 볼스크류 사용에 의해 크기감소 및 경량화에 한계를 지닌다. 이와 동일한 제어전략을 지니나 볼스크류 대신 클러치를 사용한 방식이 제안되었다.15 하지만 클러치 사용은 보행천이 시점에서 요구되는 빠른 반응속도에 대응하기 힘들며 유각기 시 제어에 의한 기구 중력/관성 보상을 제공하지 못하므로 장시간 사용 시 착용자에게 피로감을 가중시킬 수 있다.
본 논문에서는 새로운 형태 무릎보조 메커니즘을 소개하고, 인체운동분석 수행을 통해 획득한 인체 무릎의 고유한 운동특성에 기반하여 설계를 위한 요구조건 분석을 수행한다. 제안된 무릎구동메커니즘은 Dollar14등에 의해 제안된 방식과 유사하게 입각기 시에는 스프링에 의한 수동지지(Passive Support)를 구현한다. 하지만 본 논문에서 제안된 무릎보조 메커니즘은 볼스크류가 아닌 두 개 크랭크-슬라이더가 스프링에 의해 연동된 구조로 입각기 시 회전 구동기가 연결된 구동 크랭크-슬라이더(Driving Crank-Slider)를 토글(Toggle) 자세로 만듦에 의해 피동 크랭크-슬라이더(Driven Crank-Slider) 및 스프링을 통해 무릎관절 근력의 수동지지를 구현한다. 토글자세에서 기구에 의한 모터 토크 증폭률은 무한대에 근접하므로 이를 통해 입각기 시 전력소모를 최소화할 수 있으며, 볼스크류 및 리니어 가이드 등의 병진운동을 위해 필요한 요소들 사용을 배제함에 의해 기구 크기 감소 및 경량화에 이점을 지닌다.
스프링 및 피동 크랭크-슬라이더 운동에 의한 순응 움직임(Compliant Motion)을 인체 무릎관절의 의사강성(Quasi-Stiffness)와 유사하도록 스프링과 피동 크랭크-슬라이더를 설계함에 의해 착용자의 착용감을 향상시킬 수 있다. 인체 무릎에 대한 운동분석은 많은 연구자들에 의해 수행되었다. Shamaei16 등은 기존 다른 연구자들의 데이터를 기반으로 가반하중 과 보행속도별 무릎강성 변화에 대하여 연구하였고, Such17 등은 인체 무릎강성의 성별/나이/일상생활 상에서의 변화를 연구하였다. 무릎강성이 호핑(Hopping) 동작에서 가장 중요한 인자임을 Hobara18 등에 의해 논의되었으며, Shamaei19 등은 역동역학을 이용하여 무릎강성을 결정하는 주요인자를 식별하였고 몸무게와 키 정보만으로 무릎강성을 예측할 수 있음을 제안하였다. 하지만 본 논문을 통해 제안되는 의도된 굴곡단계의 불변적인 특징과 더불어 계단 하강 시 구분되어 나타나는 두 단계 강성 특성은 제안된 바 없다.
논문 구성은 다음과 같다. 먼저 2절에서 제안된 모듈 형 무릎보조 외골격 시스템 구성 및 무릎구동메커니즘에 대한 개요를 설명한다. 그리고 3절에서 12명 실험자로 평지보행 및 계단 상승/하강 동작에 대해 수행한 실험 결과를 소개하고, 입각기 시 무릎운동의 고유한 특성들을 분석한다. 또한 스프링 설계를 위한 인체 무릎 의사강성 (Quasi-Stiffness) 특성 해석을 수행하고 이런 운동특성 분석 결과에 기반한 제안된 무릎구동메커니즘 설계 요구조건을 제시한다.
2.1 시스템 구성
모듈형 외골격 로봇은 기구 무게를 지면으로 내릴 수 있는 힘 전달 경로가 존재하지 않는다. 이 경우 로봇 자체 무게는 그대로 착용자에게 부하로 작용하게 되므로, 구동기 및 배터리 무게를 줄이기 위한 효과적인 동력전달 메커니즘 구성이 상당히 중요하다. 또한 보행단계 판별을 위한 발센서가 모듈형 외골격에는 일반적으로 존재하지 않으므로, 이를 대신하여 착용자 발움직임의 기구학적 정보가 입각기와 유각기 구분을 위해 중요하게 활용될 수 있다. 이를 위해서는 착용자 엉덩관절의 다자유도 움직임을 보다 정확히 측정할 필요가 있다.
이러한 고려로부터, 보행 시 병사의 무릎관절의 근력보조를 위해 제안된 모듈형 무릎보조 외골격 시스템의 개략적인 구성이 Fig. 1에 제시되었고, 이에 대한 개념 설계안이 Fig. 2에 제시된다. 이는 크게 허리 프레임 부, 수동형태의 3자유도 구형 직렬체인(Spherical 3-DOF Serial Chain)으로 구성된 엉덩관절 부, 그리고 무릎구동 메커니즘 부의 세 부분으로 구성된다.
Fig. 1

Overall structure of the proposed ACE-Knee exoskeleton

KSPE_2019_v36n4_373_f001.jpg
Fig. 2

Concept design of the proposed knee exoskeleton

KSPE_2019_v36n4_373_f002.jpg
허리 프레임 부는 전체 메커니즘의 그라운드 링크(Ground Link) 역할을 하며 제어기를 포함한 전장부 및 배터리가 허리 프레임 뒤쪽에 장착된다.
엉덩관절 부는 수동 3자유도 구형 직렬 체인으로 구성된다. 이에 대한 기구학적 구조가 Fig. 3에 제시된다. 이는 3개의 회전 조인트 Js1, Js2, Js3와 이들을 연결하는 2개의 구형링크 Ls1, Ls2,로 구성된다. 회전조인트 Js1은 허리 프레임에 고정되고 회전조인트 Js3는 허벅지 링크와 연결된다. 구형 직렬 체인을 구성하는 회전조인트 Js1, Js2, Js3의 회전축들은 한점에서 만나며 이 점이 원거리 회전 중심(RCM, Remote Center of Motion)이 된다. 그림에서 α12, (α23)은 두 회전 조인트 Js1, Js2 (Js2, Js3) 회전 축 간의 사이 각을 의미하며, 이들은 각각 링크 Ls1, Ls2의 설계 파라미터이다.
Fig. 3

Kinematic structure of the 3-DOF passive hip joint

KSPE_2019_v36n4_373_f003.jpg
각 회전조인트 Js1, Js2, Js3에는 회전 각도를 측정하기 위한 엔코더가 부착된다. 엔코더로부터 각 회전조인트의 각도가 측정되면, 허리 프레임에 대한 허벅지 링크의 회전 행렬은 공간운동을 하는 일반적인 직렬형 로봇의 순 기구학(Forward Kinematics)해석 방법을 통해서 쉽게 구할 수 있다. 구해진 회전 행렬로부터, 허벅지 링크(또는 착용자 허벅지)의 허리 프레임에 대한 자세 정보를 구할 수 있는 것이다.
제안된 구형 직렬 체인의 RCM을 착용자 엉덩관절 회전중심 근처에 위치시킴으로써 기구 엉덩관절의 움직임을 착용자 엉덩관절의 회전운동과 일치시킬 수 있어 착용감을 향상시킬 수 있음은 물론, 착용자 자세 정보를 보다 정확히 측정할 수 있다. 즉, 엉덩관절은 착용자 자세정보 측정을 위한 센서로서 역할과 다리 기구부 무게를 허리쪽으로 분산하고자 하는 목적으로 사용된다.
Fig. 3에 나타낸 것 처럼, 구형링크를 구성하는 세 개 회전조인트 Js1, Js2, Js3 중 세번째 조인트 Js3 회전축을 엉덩관절 굴곡/신전(Flexion/Extension) 회전축과 일치하도록 설계함으로써 엉덩관절 3자유도 회전운동 중 운동범위가 큰 굴곡/신전을 세번째조인트 독립운동으로 비연성시킬 수 있다. 즉, 구형링크 첫번째/두번째 회전조인트의 연성운동은 착용자 엉덩관절 내/외전(Ad/Abduction)과 내/외회전(Internal/External Rotation)을 구현하며 세번째 조인트는 굴곡/신전만 담당하게 된다.
무릎구동 메커니즘 부는 다음 절에서 상세하게 설명한다.
2.2 무릎구동 메커니즘
Fig. 4에 표현된 바와 같이, 무릎구동 메커니즘은 두 개 크랭크-슬라이더 구조가 하나의 선형 스프링으로 연성된 기구학적 구조를 지닌다. 무릎구동 메커니즘을 구성하는 조인트를 Ji (i = 1,2,...7)라 하면, 회전조인트 J6, J7과 슬라이더 J5로 구성되는 구동 크랭크-슬라이더(Driving Crank-Slider)는 J7에 연결된 모터에 의해 동작한다. 모터 구동은 슬라이더 J5를 통해 선형스프링 J4를 압축시키고 이는 다른 슬라이더 J3J1, J2, J3으로 구성되는 피동 크랭크-슬라이더를 통해 무릎조인트 J1의 움직임을 발생시킨다.
Fig. 4

Kinematic structure of the knee joint driving mechanism

KSPE_2019_v36n4_373_f004.jpg
평지보행에 대해서, 제안된 무릎구동메커니즘 동작원리를 Fig. 5에 나타내었다. 동작방식에 따라 보행주기는 입각기 초기(A단계), 입각기 중기(B단계), 그리고 유각기(C단계), 세 단계로 구분될 수 있다. 입각기 초기(A단계)에 입각기 시작이 감지되면, 모터 구동을 통해서 J5, J6, J7로 구성되는 구동 크랭크-슬라이더를 토글위치로 만든다. 즉 모터구동을 통한 능동모드(Active Mode)로 무릎관절을 신전시킨다.
Fig. 5

Mode of operation of the proposed ACE-Knee exoskeleton

KSPE_2019_v36n4_373_f005.jpg
토글위치에 도달한 후 모터는 이 토글위치를 유지하기 위한 위치제어를 수행한다. 토글위치가 된 후부터 입각기 발을 떼기 전까지인 입각기 중기(B단계)에는, 착용자 무릎 굴곡(Flexion)움직임에 의한 조인트 J1의 회전 운동이 스프링 J4에 압축력을 발생시키지만, 구동 크랭크-슬라이더의 토글위치 유지에 의해, 기구에 의한 모터 토크 증폭률은 이론적으로 무한대가 되고 모터 J7에는 전력소모가 거의 일어나지 않는다. 따라서 입각기 시 하중 지지의 대부분은 수동모드(Passive Mode)로 작동하게 된다. 하지만 입각기 발이 유각기로 천이되면, 유각기 시(C단계)착용자 무릎의 자유로운 움직임 방해를 최소화 하도록 모터는 마찰/중력 보상 등의 제어를 통해 착용자 무릎 움직임을 능동적으로 따라가도록 한다.
제안된 기구학적 구조(Fig. 4)와 구동원리(Fig. 5)로부터, 제안된 무릎구동 메커니즘은 다음과 같은 특징을 지님을 알 수 있다. 먼저, 구동부를 최대한 엉덩관절 측에 놓이게 함으로써 유각기 시 무릎구동메커니즘에 의한 관성부하를 적게 할 수 있으며 이를 통해 착용감 향상을 도모할 수 있다. 둘째, 많은 부하토크가 필요한 입각기를 구동 크랭크-슬라이더의 토글자세 유지를 통해 수동으로 지지할 수 있도록 구현함으로써 구동기 요구토크를 줄일 수 있다. 구동기 크기 및 무게는 요구토크에 비례하여 증가함을 고려할 때 제안된 무릎구동 메커니즘은 기구 경량화를 위해 유리한 구조라 할 수 있다.
계단 상승의 경우 입각기 초기 시 무릎굴곡각도가 크므로 구동 크랭크-슬라이더가 토글위치로 가기 위한 능동모드 구간(A단계)가 입각기 단계에서 많은 부분을 차지할 수 있다. 하지만 계단 하강 시 이와는 반대로 스프링에 의한 수동지지 구간(B단계)이 입각기 대부분을 구성하므로 전력소모는 상당히 적을 것으로 예상된다.
다음 절에는, 제안된 외골격 시스템의 무릎구동모듈 설계를 위하여 수행한 인체 무릎 운동특성 분석과 더불어 강성특성 분석 결과를 소개한다.
3.1 인체 운동분석
제안된 무릎 보조 외골격 로봇 설계를 위한 요구조건 분석을 위해 인체 무릎 관절에 대한 운동분석을 수행하였다. 개발하고자 하는 외골격 로봇은 정상인 병사가 등짐 하중을 짊어진 상태로 보행하는 조건을 고려하므로, 운동분석은 12명 20대 정상인 남성군을 대상으로 실시하였고 평지보행 조건과 계단 상승/하강 조건 하의 무릎운동에 대해 분석을 진행하였다. 데이터의 편향성을 배제하기 위해 Fig. 6에 제시된 것 처럼 실험자들 키는 160 cm 부터 185 cm 범위 내에서, 그리고 몸무게는 60 kg 부터 약 80 kg 범위에서 고르게 분포되도록 선정하였다.
Fig. 6

Body measurement data of twelve subjects participated in the gait experiments

KSPE_2019_v36n4_373_f006.jpg
운동분석실험은 통제된 실내환경 내에서 12대 적외선 카메라(모델: VICON MX-T160) 및 2대의 힘판(Force Plate, 모델: AMTI-OR6-7-200)을 이용하여 진행하였으며, 계단 실험은 높이 18 cm인 다섯 스텝 계단 조형물을 제작하여 진행하였다.
12명의 실험자들은 마커를 부착하고(마커세트모델: VICON Plug-In Gait) 각 동작에 대해 3회 반복 실험을 진행하였고 이들 평균값을 해당 실험자의 대표값으로 하였다. 각 실험자는 30 kg 등짐하중을 짊어진 상태로, 메트로놈을 이용하여 6 km/hr 보행 속도에 맞춰서 평지보행실험을 실시하였으며, 계단실험 역시 30 kg 등짐을 짊어진 상태로 상승/하강 동작을 실시하였다.
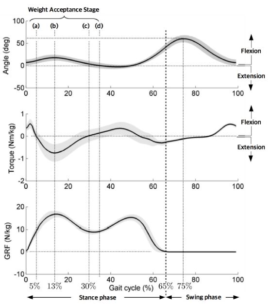
Fig. 7에 평지 보행에 대한 무릎 각도 및 토크 변화와 더불어 지면반력(GRF, Ground Reaction Force)의 변화가 제시된다. 그림에서 x축은 보행 주기를 백분율로 정규화한 값을 의미하며 무릎토크와 GRF는 실험자 몸무게로 정규화된 값을 의미한다. 12명 실험자에 대해 얻은 데이터의 평균값을 굵은 선으로 표현 하였으며 ±1 표준편차를 음영영역으로 나타내었다.
Fig. 7

Torque and angle variations of human knee joint during the level walking experiment (walking with 30 kg of backpack load and 6 km/hr of walking speed)

KSPE_2019_v36n4_373_f007.jpg
GRF데이터로부터 보행주기 약 65%까지 입각기 이고 나머지 35% 구간이 유각기 상태임을 볼 수 있다. Fig. 7의 무릎각도 변화를 보면, 입각기 시작단계로부터 무릎이 완전히 펴지는 단계를 무게수용단계(Weight Acceptance Stage)라 할 수 있는데 보행주기 약 35% 정도임을 알 수 있다. 무게수용단계는 다시 4단계로 나누어 볼 수 있다. Figs. 7(a) 부터 7(b)까지는 무릎 각도는 굴곡(Flexion) 되고 있지만 토크는 신전(Extension) 방향으로 작용하는 저항 굴곡(Resistive Flexion)단계라 볼 수 있고, Figs. 7(b)7(c) 사이는 각도 및 토크 모두 신전방향으로 작용하는 추진 신전(Propulsive Extension) 단계로 볼 수 있다. 입각기 시작부터 Fig. 4(a)까지는 무릎 각도와 토크 모두 굴곡방향으로 작용하는 것을 볼 수 있는데, 이는 입각기 초기시점에서 무게 중심을 앞쪽에 있는 입각기 발로 끌어오기 위한 단계로 볼 수 있다. Figs. 7(a)부터 7(c) 단계는 각각 보행주기의 5%, 13%, 30%에 해당한다.
입각기 구간만 고려할 때, 약 보행주기의 13%에서 최대 무릎토크가 발생하며 무릎굴곡각도 역시 최대가 됨을 볼 수 있다. 이 때 무릎은 약 17.5도 굴곡됨을 볼 수 있다. 전체 보행주기에서 최대 무릎굴곡각도는 유각기로의 천이 구간인 보행주기 약 75%에서 발생하며 이 때 60도 정도로 관찰된다. 보행주기 약 5% 정도인 무게중심을 앞으로 끌어당기는 단계에서 무릎굴곡 각도는 약 10도 정도 됨을 볼 수 있다. 이 구간에서 무릎은 입각기 전체 구간에서 하중지지를 위해 요구되는 토크와 반대 방향, 즉 무릎을 굴곡하기 위한 토크가 필요함을 볼 수 있다. 이는 무게중심을 전진방향으로 끌어오기 위한 의도적인 무릎 굴곡이라 볼 수 있는데, 외골격 로봇의 설계/제어에 있어서 입각기 시작시점부터 하중 지지를 위한 무릎 신전 토크를 작용하기 시작한다면, 착용자의 의도적인 굴곡 움직임과 상충되어 불편함을 초래할 수 있을 것으로 예상된다.
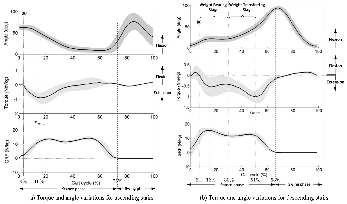
30 kg 등짐을 매고 계단 상승/하강할 경우 무릎 운동분석 데이터가 Figs. 8(a)8(b)에 각각 제시된다. 계단 상승/하강 시 입각기 구간은 각각 보행주기 73% 와 67%로 관찰된다. 평지보행 대비 계단 상승 시 보행주기 한 사이클에서 입각기 시간이 좀 더 긴 것을 볼 수 있다. 의도적으로 무릎 굴곡을 발생시키는 단계 역시 계단 상승과 하강에서 관찰되며 평지보행과 유사하게 각각 보행주기 약 4%와 6% 정도 범위에서 발생됨을 볼 수 있다. 이 단계는 평지 보행에서도 약 5% 범위에서 존재함을 볼 때, 입각기 시작점으로부터 보행주기의 평균 약 5% 내외 구간에서 무게중심을 앞으로 끌어오기 위한 무릎의 의도된 굴곡 움직임은 인체보행의 불변특성처럼 보인다.
Fig. 8

Torque and angle variations of human knee joint during ascending (a) and descending (b) stairs with 30 kg of the backpack load. Torque and GRF data were normalized by the subject’s weight. In the figure, black solid line denotes the mean value of the twelve subjects, and the shaded area represents ±1 standard deviation

KSPE_2019_v36n4_373_f008.jpg
무릎 최대 굴곡각도는 계단 상승/하강 모두 평지보행과 유사하게 유각기로의 천이 직후 발생함을 볼 수 있고 각각 77도 와 94도로 관찰된다. 두 경우 모두 저항굴곡단계와 추진신전단계를 구분하여 관찰하는 것이 쉽지 않다. 하지만 Fig. 8을 보면 계단 하강 시 무릎토크 곡선에 무릎을 신전시키는 방향으로 두개 피크가 보행주기 약 16% 와 51% 에 존재함을 볼 수 있다. 이 때 무릎 굴곡각도는 첫번째 피크점까지 증가하다 약 16%에서 30%까지 각도가 유지됨을 볼 수 있고 이후 다시 굴곡이 일어남을 볼 수 있다. 이런 관찰로부터, 의도적인 무릎굴곡이 발생하는 시점(6%) 이후부터 약 30%까지의 입각기 전반부는 입각기 발에 하중을 싣는 단계(Weight Bearing Stage)라 볼 수 있으며 51%이후에 GRF가 감소함을 볼 때 30%에서 50%까지 입각기 후반부는 하중을 앞으로 옮기는 단계(Weight Transferring Stage)라 볼 수 있다.
무릎에 최대 토크가 작용하는 지점은 계단 상승 시 보행주기 약 16% 정도로 이 때 무릎굴곡각도는 약 49도이며, 계단 하강의 경우 보행주기 약 51%에서 발생하나 이 때 무릎굴곡각도는 동일하게 약 49도 정도임을 볼 수 있다. 이러한 관찰로부터, 사람 무릎 ROM (Range of Motion)은 약 100도 까지 발생될 수 있으나 부하지지를 위한 무릎토크발생은 약 50도 까지 유효하다고 볼 수 있다. 따라서 외골격 로봇을 설계/제어함에 있어서 계단 상승/하강 운동까지 고려한다면 무릎지지를 위한 토크는 전체 ROM이 아닌 약 50도 굴곡까지 발생할 수 있도록 함이 적절하다 볼 수 있다.
3.2 무릎 강성특성 분석
제안된 무릎구동메커니즘은 입각기 시 스프링에 의한 수동지지모드로 동작한다. 따라서 스프링 설계를 위해 입각기에서 인체무릎강성특성이 중요하게 사용될 수 있다. 이러한 수동지지모드는 평지보행과 계단 하강 시 입각기 상당 부분을 차지하므로, 여기에서는 평지보행과 계단 하강에서 인체무릎강성특성을 분석한다.
무릎 운동특성 분석을 통해 얻은 데이터로부터, 무릎 각도 변화에 대한 토크변화 그래프 기울기를 통해 무릎의 의사강성(Quasi-Stiffness) 특성을 분석해 볼 수 있다.
Fig. 7에 제시된 데이터를 기반으로 먼저 평지보행 시 입각기에 대한 무릎각도 대비 토크 변화 곡선이 Fig. 9에 제시된다. 앞에 언급한 것처럼 입각기 초기부터 보행주기 약 5%까지 무릎 운동특성은 하중지지와 연관되지 않는다. 이에 Fig. 9에서는 하중지지단계 중 저항굴곡단계(5 - 15%)와 추진신전단계(15 - 30%)만 나타내었다. 그림에서 볼 수 있는 바와 같이, 평지 보행 시 무릎은 전술한 두 단계에서 각각 분리된 곡선으로 표현되는 것처럼 보이며, 각각의 곡선은 직선으로 선형 근사화하여 나타낼 수 있다. 근사화한 선형 관계식으로부터, 저항굴곡과 추진신전단계에서 의사강성 값은 식(1)식(2) 같이 추정할 수 있다.
(1)
knorm,RF=0.1119 Nm/kgdeg
그리고
(2)
knorm,PE=0.05786 Nm/kgdeg
Fig. 9

The estimation of knee quasi-stiffness of twelve subjects during walking with 30kg of backpack load and 6km/hr of walking speed

KSPE_2019_v36n4_373_f009.jpg
여기서, knorm,RF는 몸무게로 정규화한 저항굴곡단계 의사강성을 의미하며, knorm,PE는 추진신전단계 의사강성을 의미한다. 본 실험 결과로부터 무릎 굴곡을 버티는 저항굴곡단계에서 강성이 무릎을 신전하며 중력반대방향으로 추진하는 추진신전단계 강성보다 약 1.9배 더 크게 관찰된다. 이는 같은 최대 무릎토크(0.75 nm/kg) 에 대해 추진신전 단계에서 좀 더 많은 무릎신전 (Δθ = 11° − 5°= 6°)이 일어남에 의해 기인한다. 각 곡선의 하단 면적은 각 단계에서의 에너지를 나타낸다. 중력반대방향으로 몸을 추진시키기 위한 에너지, 즉 추진신전단계에서 에너지는 저항굴곡 시 흡수하는 포텐셜에너지 대비 약 1.9 배 많은 에너지가 필요함을 볼 수 있다. 저항굴곡단계에서 흡수하는 포텐셜 에너지를 재사용한다면, 추진 신전단계를 위한 에너지는 약 반 정도로 감소될 수 있다.
Fig. 10Fig. 8(b)에 제시된 데이터를 기반으로 계단하강 시 입각기에 대한 무릎각도 대비 토크 변화 곡선을 나타낸다. 계단 하강동작 시 입각기 상태는 전술한 바와 같이 의도된 무릎굴곡 단계(0 - 6%), 입각기 발에 하중 싣는 단계(6 - 30%), 하중을 앞으로 옮기는 단계(30 - 50%) 세 단계로 구분하여 볼 수 있다. 이 중 Fig. 10은 하중지지단계와 하중이동단계에 대한 데이터를 보여준다.
Fig. 10

The estimation of knee quasi-stiffness of twelve subjects during descending stairs with 30 kg of backpack load

KSPE_2019_v36n4_373_f010.jpg
그림으로부터 전술한 두 단계가 분명히 구분되어 나타남을 알 수 있다. knorm,WBknorm,WT를 각각 하중지지단계와 하중이동단계에서 의사강성 값이라 할 때, 각 구간에 대한 선형 근사화를 통하여 식(3)식(4)와 같이 추정할 수 있다.
(3)
knorm,WB=0.06744 Nm/kgdeg
그리고
(4)
knorm,WT=0.02607 Nm/kgdeg
이렇게 추정된 평지보행 및 계단하강에서 의사강성 값이 Table 1에 정리 되었다.
Table 1

Quasi-stiffness of human knee joint

Table 1
Quasi-stiffness (Nm/kg.deg)
Level walking
(load: 30 kg, speed: 6 km/hr)
RF 0.1119
PE 0.05786
Descending stairs
(load: 30 kg, step height: 18 cm)
WB 0.06744
WT 0.02607
Table 1에 제시된 결과로부터, 평지보행 시 저항굴곡단계(RF, Resistive Flexion) 에서 무릎의사강성이 가장 큼을 볼 수 있다. 계단하강 시 하중지지단계(WB, Weight Bearing Stage) 에서 무릎 강성은 평지보행에서 추진신전단계(PE, Propulsive Extension) 강성과 유사하게 관찰됨을 볼 수 있고 계단하강 시 하중이동단계(WT, Weight Transferring Stage) 강성이 가장 낮으며 평지보행에서 저항굴국단계 대비 약 4배, 추진신전단계 대비 약 2배 적음을 알 수 있다.
3.3 설계요구조건분석
제안된 무릎구동메커니즘은 두개 크랭크-슬라이더 구조 및 하나의 선형 스프링 사용으로, 입각기 시 하중지지는 대부분 스프링을 이용한 수동모드로, 그리고 유각기 시에는 모터 구동을 통해 착용자 무릎움직임을 능동 추종하는 방식으로 구현된다.
평지보행 및 계단 상승/하강 시 인체 무릎 운동분석을 통해서 무릎에 요구되는 ROM은 100도 이상이면 충족될 수 있음을 볼 수 있었다.
인체운동분석을 통해 입각기 시 초기 보행주기 약 5%내에서 무게중심을 앞쪽 입각기 발쪽으로 이동시키기 위한 의도된 무릎굴곡 현상이 발생함을 볼 수 있었다. 이는 평지보행, 계단 상승/하강 모든 경우에 대하여 일관되게 관찰되므로 일종의 인체 보행운동의 불변적인 특성이라 볼 수 있다. 이러한 의도된 무릎 굴곡은 무릎이 완전히 신전된 상태에서 약 10도 정도 굴곡까지 발생함을 볼 수 있는데, 만약 입각기 시작부터 무릎 하중을 버티기 위한 제어가 시작된다면 이 구간에서 착용자는 오히려 불편함을 느낄 것으로 예상된다. 따라서 보행주기 약 5% (또는 약 10도) 무릎굴곡각도 이후부터 입각기를 위한 제어가 수행되거나 설계 시 이 구간 이후에 스프링에 의한 압축이 작용되도록 설계하는 것이 바람직 해 보인다.
제안된 무릎구동메커니즘은 구동 크랭크-슬라이더를 토글자세로 만듦에 의해 입각기에서 수동 지지모드로 운용된다. 이 때 무릎 관절 토크의 보조는 피동 크랭크-슬라이더와 스프링의 조합에 의해 구현되는 순응 움직임에 의해 이루어진다. 따라서 가급적 입각기 시 착용자 불편함을 줄이고 인체무릎운동과 동기화된 운동을 만들어내려면 스프링과 피동 크랭크-슬라이더는 입각기에서 인체 무릎강성 특성을 고려하여 설계하는 것이 필요하다. 운동분석 결과 평지보행 및 계단하강에서 인체무릎 입각기 강성특성은 Table 1에 제시된 것처럼 4개 값으로 추정된다. 이 중 평지보행의 추진신전단계(PE)와 계단하강의 하중지지단계(WB) 강성이 유사하므로, 이 둘의 평균값, 0.0626 (Nm/kg.deg), 을 기준으로 스프링과 피동 크랭크-슬라이더를 설계한다. 즉, 피동 크랭크-슬라이더와 스프링의 조합에 의한 순응 움직임은 무릎관절에서의 등가 토션 스프링에 의한 순응 움직임으로 볼 수 있는데, 이 때 무릎관절의 등가 토션 스프링 강성계수를 0.0626 (Nm/kg.deg) 값과 유사하게 나올 수 있도록 피동 크랭크-슬라이더의 기구학적 파라미터와 선형 스프링의 스프링 상수를 설계하는 것이 바람직해 보인다.
제안된 메커니즘을 구동하는 모터 용량이 충분하다면, 구동 크랭크-슬라이더의 자세(Configuration)를 토글이외의 자세로 조절함에 의해 구동 크랭크-슬라이더의 기구적 강성을 조절할 수 있다. 이 경우 구동 크랭크-슬라이더 기구 강성과 스프링 물리적 강성이 직렬 연결 형태가 되므로, 스프링 강성이 일정하더라도 구동 크랭크-슬라이더의 자세제어에 의해 Table 1에 제시된 각 단계에서 강성특성을 구현 가능하다.
본 논문에서는 보행 시 병사의 무릎 근력보조를 위한 새로운 형태의 모듈 형 무릎보조 외골격을 소개하며, 인체운동분석 수행을 통해 획득한 인체 무릎의 고유한 운동특성에 기반하여 무릎구동메커니즘 설계를 위한 요구조건 분석 결과를 제시한다.
제안된 무릎보조 외골격 시스템은 허리프레임, 수동 엉덩관절, 그리고 무릎구동메커니즘으로 구성된다. 수동 엉덩관절은 착용자 다리의 자세정보를 획득하기 위한 센서로서의 역할과 무릎구동메커니즘 무게를 허리 쪽으로 분산시키는 역할을 한다. 엉덩관절 3자유도 회전운동 구현을 위해 제안된 엉덩관절은 엔코더가 부착된 세 개 회전조인트를 지니는 구형직렬체인 구조로 설계된다. 이 구조를 통해 기구는 원거리회전중심(RCM) 을 지닐 수 있다. 기구 RCM을 착용자 엉덩관절 회전중심 근처에 있도록 기구를 설계함으로써 착용성을 높일 수 있으며 또한 착용자 다리 자세 정보를 보다 정확히 측정할 수 있다.
무릎구동메커니즘은 두 개 크랭크-슬라이더 구조가 선형 스프링에 의해 연동된 구조로 설계된다. 이 구조를 통해 무릎구동을 위한 회전구동기를 엉덩관절 근처에 위치시킬 수 있고 이를 통해 유각기 시 다리관성부하를 줄일 수 있다. 입각기 시 모터구동에 의해 구동 크랭크-슬라이더를 토글자세로 제어함으로써 능동전력소모를 최소화하며 스프링 및 피동 크랭크-슬라이더에 의한 수동지지 방식으로 무릎토크를 보조한다. 유각기 시에는 기구 중력/관성에 의한 저항감을 줄이며 착용자 무릎운동이 방해되지 않도록 모터구동에 의해 착용자 무릎운동의 능동추종을 수행한다. 즉, 소개된 무릎구동메커니즘을 통해 에너지 소모를 최소화 하며 착용감을 높이기 위한 수동지지-능동추종(Passive Support - Active Following) 개념을 제안하였다. 제안된 RCM을 갖는 엉덩관절과 더불어 구동기 무게 및 관성을 줄일 수 있는 제안된 무릎구동메커니즘의 구조적인 특징은 착용자의 착용감 향상 및 피로감 저감을 위해 유리한 구조이며, 또한 입각기 시 수동 지지 구현을 통해 모듈형 외골격 로봇 구동을 위한 에너지 소모를 상당히 줄일 수 있는 장점을 지닌다.
제안된 무릎구동메커니즘 설계를 위해 12명 20대 정상인 남성을 대상으로 평지보행과 계단 상승/하강 동작에 대한 인체운동분석을 수행하였다. 실험을 통해 무릎에 필요한 ROM (Range of Motion)은 약 100도 이상 필요함을 제시하였으며, 무릎지지를 위한 근력보조는 전체 ROM이 아닌 약 50도 굴곡까지 제공하는 것이 적절함을 알 수 있었다. 또한 입각기 시작점으로부터 보행주기의 평균 약 5% 내외 구간에서 무게중심을 앞으로 끌어오기 위한 무릎의 의도된 굴곡 움직임이 보행환경에 무관하게 일정하게 발생함을 볼 수 있었다. 이는 입각기 시작부터 보조력을 착용자에게 제공하도록 무릎관절메커니즘을 설계 또는 제어하면 보행주기의 약 5% 정도 구간은 오히려 착용자에게 불편함을 초래할 수 있음을 의미하므로, 이를 고려하여 설계/제어하는 것이 착용감 향상을 위해 요구된다.
제안된 무릎구동메커니즘은 입각기 시 스프링과 피동 크랭크-슬라이더의 순응 움직임에 의한 보조력을 제공하므로, 이에 대한 설계를 위해 인체 무릎의 의사강성(Quasi-Stiffness) 해석을 수행하였다. 이를 통해 평지보행 입각기 및 계단하강 입각기는 각각 명확히 구분되는 두단계 강성특성이 존재함을 보였다. 이중 평지 추진신전단계와 계단하강 시 하중지지단계 에서의 강성 특성이 유사하게 표현되므로, 이 둘의 평균 값 0.0626 (Nm/kg.deg)을 입각기 시 수동지지 모드로 동작하는 스프링 및 피동 크랭크-슬라이더 설계를 위한 기준 무릎강성으로 정의한다. 하지만 제안된 무릎구동 메커니즘의 구조적인 특징으로 인해, 충분한 용량의 구동기를 사용한다면, 입각기 시 구동 크랭크-슬라이더의 자세를 토글자세가 아닌 자세로 제어함으로써 제안된 무릎구동메커니즘은 Table 1에 제시된 인체 무릎 강성 특성을 능동적으로 구현할 수 있는 가변 강성 무릎메커니즘으로도 활용 가능할 것이다.
  • 1.
    Jezernik, S., Colombo, G., Keller, T., Frueh, H., and Morari, M., “Robotic Orthosis Lokomat: A Rehabilitation and Research Tool,” Neuromodulation: Technology at the Neural Interface, Vol. 6, No. 2, pp. 108-115, 2003.
    10.1046/j.1525-1403.2003.03017.x
  • 2.
    Esquenazi, A., Talaty, M., Packel, A., and Saulino, M., “The Rewalk Powered Exoskeleton to Restore Ambulatory Function to Individuals with Thoracic-Level Motor-Complete Spinal Cord Injury,” American Journal of Physical Medicine & Rehabilitation, Vol. 91, No. 11, pp. 911-921, 2012.
    10.1097/PHM.0b013e318269d9a3
  • 3.
    Kwa, H. K., Noorden, J. H., Missel, M., Craig, T., Pratt, J. E., and Neuhaus, P. D., “Development of the IHMC Mobility Assist Exoskeleton,” Proc. of Robotics and Automation International Conference, pp. 2556-2562, 2009.
  • 4.
    Kazerooni, H., Steger, R., and Huang, L., “Hybrid Control of the Berkeley Lower Extremity Exoskeleton (BLEEX),” The International Journal of Robotics Research, Vol. 25, Nos. 5-6, pp. 561-573, 2006.
    10.1177/0278364906065505
  • 5.
    Angold, R., Zoss, A., Kazerooni, H., Burns, J., Amundson, K., et al., “Exoskeleton Load Handling System and Method of Use,” US Patents No. 9504623B2, 2016.
  • 6.
    Jacobsen, S. C. and Olivier, M. X., “Contact Displacement Actuator System,” US Patents No. 8849457B2, 2014.
  • 7.
    Deng, J., Wang, P., Li, M., Guo, W., Zha, F., et al., “Structure Design of Active Power-Assist Lower Limb Exoskeleton Apal Robot,” Advances in Mechanical Engineering, Vol. 9, No. 11, pp. 1-11, 2017.
    10.1177/1687814017735791
  • 8.
    Hyun, D. J., Park, H., Ha, T., Park, S., and Jung, K., “Biomechanical Design of an Agile, Electricity-Powered Lower-Limb Exoskeleton for Weight-Bearing Assistance,” Robotics and Autonomous Systems, Vol. 95, pp. 181-195, 2017.
    10.1016/j.robot.2017.06.010
  • 9.
    Ha, T.-J., Lee, J.-S., Back, S.-H., Kim, S.-H., and Lee, J.-Y., “Wearable Robot Design for Industrial Application,” Journal of the Korean Society for Precision Engineering, Vol. 29, No. 4, pp. 433-440, 2012.
    10.7736/KSPE.2012.29.4.433
  • 10.
    Kim, J.-H., Shim, M., Ahn, D. H., Son, B. J., Kim, S.-Y., et al., “Design of a Knee Exoskeleton Using Foot Pressure and Knee Torque Sensors,” International Journal of Advanced Robotic Systems, Vol. 12, No. 8, pp. 1-14, 2015.
    10.5772/60782
  • 11.
    Asbeck, A. T., Dyer, R. J., Larusson, A. F., and Walsh, C. J., “Biologically-Inspired Soft Exosuit,” Proc. of Rehabilitation Robotics International Conference, pp. 1-8, 2013.
    10.1109/ICORR.2013.6650455
  • 12.
    Cherry, M. S., Kota, S., and Ferris, D. P., “An Elastic Exoskeleton for Assisting Human Running,” Proc. of Design Engineering Technical Conferences & Computers and Information in Engineering Conference, pp.1-12, 2009.
    10.1115/DETC2009-87355
  • 13.
    Pratt, J. E., Krupp, B. T., Morse, C. J., and Collins, S. H., “The Roboknee: An Exoskeleton for Enhancing Strength and Endurance During Walking,” Proc. of Robotics and Automation International Conference, pp. 2430-2435, 2004.
    10.1109/ROBOT.2004.1307425
  • 14.
    Dollar, A. M. and Herr, H., “Design of a Quasi-Passive Knee Exoskeleton to Assist Running,” Proc. of Intelligent Robots and Systems International Conference, pp. 747-754, 2008.
    10.1109/IROS.2008.4651202
  • 15.
    Shamaei, K., Cenciarini, M., Adams, A. A., Gregorczyk, K. N., Schiffman, J. M., et al., “Design and Evaluation of a Quasi-Passive Knee Exoskeleton for Investigation of Motor Adaptation in Lower Extremity Joints,” Transactions on Biomedical Engineering, Vol. 61, No. 6, pp. 1809-1821, 2014.
    10.1109/TBME.2014.2307698
  • 16.
    Shamaei, K. and Dollar, A. M., “On the Mechanics of the Knee During the Stance Phase of the Gait,” Proc. of Rehabilitation Robotics International Conference, pp. 1-7, 2011.
    10.1109/ICORR.2011.5975478
  • 17.
    Such, C., Unsworth, A., Wright, V., and Dowson, D., “Quantitative Study of Stiffness in the Knee Joint,” Annals of the Rheumatic Diseases, Vol. 34, No. 4, pp. 286-291, 1975.
    10.1136/ard.34.4.286
  • 18.
    Hobara, H., Muraoka, T., Omuro, K., Gomi, K., Sakamoto, M., et al., “Knee Stiffness is a Major Determinant of Leg Stiffness During Maximal Hopping,” Journal of Biomechanics, Vol. 42, No. 11, pp. 1768-1771, 2009.
    10.1016/j.jbiomech.2009.04.047
  • 19.
    Shamaei, K., Sawicki, G. S., and Dollar, A. M., “Estimation of Quasi-Stiffness of the Human Knee in the Stance Phase of Walking,” PloS One, Vol. 8, No. 3, pp. e59993, 2013.
    10.1371/journal.pone.0059993
Man Bok Hong
KSPE_2019_v36n4_373_bf001.jpg
He is a senior researcher with Ground Weapon Systems R&D Institute, Agency for Defense Development, DaeJeon, Korea. His current research interests include kinematic geometry of robot mechanism on the basis of the theory of screws, synthesis of robot compliance, the design of surgery robot systems, and the design and control of power assistant exoskeleton.
Gwang Tae Kim
KSPE_2019_v36n4_373_bf002.jpg
He is a senior researcher with Ground Weapon Systems R&D Institute, Agency for Defense Development, DaeJeon, Korea. His research interests include exoskeleton control, nonlinear system, and control application.
Yeo Hun Yoon
KSPE_2019_v36n4_373_bf003.jpg
He is a researcher with Ground Weapon Systems R&D Institute, Agency for Defense Development, DaeJeon, Korea. His main research interests include mechanical design for Exoskeleton Robot and Military Robot.

Download Citation

Download a citation file in RIS format that can be imported by all major citation management software, including EndNote, ProCite, RefWorks, and Reference Manager.

Format:

Include:

ACE-Knee, a Novel Modularized Knee Exoskeleton: Concept Design and Analysis of Design Requirements by Knee Motion Analysis
J. Korean Soc. Precis. Eng.. 2019;36(4):373-381.   Published online April 1, 2019
Download Citation

Download a citation file in RIS format that can be imported by all major citation management software, including EndNote, ProCite, RefWorks, and Reference Manager.

Format:
Include:
ACE-Knee, a Novel Modularized Knee Exoskeleton: Concept Design and Analysis of Design Requirements by Knee Motion Analysis
J. Korean Soc. Precis. Eng.. 2019;36(4):373-381.   Published online April 1, 2019
Close

Figure

  • 0
  • 1
  • 2
  • 3
  • 4
  • 5
  • 6
  • 7
  • 8
  • 9
ACE-Knee, a Novel Modularized Knee Exoskeleton: Concept Design and Analysis of Design Requirements by Knee Motion Analysis
Image Image Image Image Image Image Image Image Image Image
Fig. 1 Overall structure of the proposed ACE-Knee exoskeleton
Fig. 2 Concept design of the proposed knee exoskeleton
Fig. 3 Kinematic structure of the 3-DOF passive hip joint
Fig. 4 Kinematic structure of the knee joint driving mechanism
Fig. 5 Mode of operation of the proposed ACE-Knee exoskeleton
Fig. 6 Body measurement data of twelve subjects participated in the gait experiments
Fig. 7 Torque and angle variations of human knee joint during the level walking experiment (walking with 30 kg of backpack load and 6 km/hr of walking speed)
Fig. 8 Torque and angle variations of human knee joint during ascending (a) and descending (b) stairs with 30 kg of the backpack load. Torque and GRF data were normalized by the subject’s weight. In the figure, black solid line denotes the mean value of the twelve subjects, and the shaded area represents ±1 standard deviation
Fig. 9 The estimation of knee quasi-stiffness of twelve subjects during walking with 30kg of backpack load and 6km/hr of walking speed
Fig. 10 The estimation of knee quasi-stiffness of twelve subjects during descending stairs with 30 kg of backpack load
ACE-Knee, a Novel Modularized Knee Exoskeleton: Concept Design and Analysis of Design Requirements by Knee Motion Analysis
Quasi-stiffness (Nm/kg.deg)
Level walking
(load: 30 kg, speed: 6 km/hr)
RF 0.1119
PE 0.05786
Descending stairs
(load: 30 kg, step height: 18 cm)
WB 0.06744
WT 0.02607
Table 1 Quasi-stiffness of human knee joint