ABSTRACT
Various chemicals are used for semiconductor process. In particular, the most important element in the etching and cleaning process is chemical liquid. An ultrasonic flow meter is used to monitor the supplying amount of chemical solution. If the ultrasonic flow meter contains bubble inside the liquid, measurement cannot be performed or measurement error will be occurred. In this research, the waveform was improved by zero-crossing processing so that the influence on measurement performance is negligible even if the bubble in the chemical solution is included. Consequently, the amplitude of the sound wave is attenuated. Existing flow meters monitor the amplitude value to determine the authenticity of the signal and to filter the noise. The improved method in this study distinguishes noise waves and monitors signal frequency. Flow measurement was carrying out even when the amplitude was resulting only less than 3% of input level volt. The system developed of this study has shown an exact measuring performance compared with the other make’s flow meters.
-
KEYWORDS: Amplitude, Bubble, Chemical, Semiconductor, Transit-time-type ultrasonic flowmeter, Waveform
-
KEYWORDS: 진폭, 기포, 화학용액, 반도체, 전달시간차 방식 초음파 유량계, 파형
NOMENCLATURE
Ultrasonic velocity (mm/sec)
Distance between ultrasonic sensors (mm)
Forward sound wave propagation time (sec)
Backward sound wave propagation time (sec)
Ultrasonic transmission time difference (sec)
1. 연구배경
반도체 제조공정 중 식각(Etching) 및 세정(Cleaning) 등 많은 부분에서 액체 화학약품(약액)을 사용하고 있다. 약액을 사용하는 식각 및 세정 공정에서 유량은 매우 중요한 공정 요소이다. 만약 약액의 양이 적거나 많다면 원하는 정도의 세정 및 식각이 이루어지지 않아 생산된 반도체 제품의 품질은 보장할 수 없을 것이다. 따라서 반도체 공정 설비에는 이러한 약액이 실리콘 웨이퍼(Wafer)에 얼마만큼 공급되고 있는지를 상시 모니터링 하기 위해 각각의 노즐마다 유량계를 사용한다. 강산 및 강알칼리 약액을 계측해야 하는 반도체 공정의 특성상 초음파 유량계가 주로 사용되고 있다. 이중에도 시간차 방식의 초음파 유량계가 많이 사용되는데 이는 초음파 유량계 특성상 유로에 계측을 위한 별도의 구조물이 존재하지 않아 강산 및 강알칼리 약품에 부식되어 고장이 발생되지 않으며, 부식된 파티클(Particle)이 반도체 제품을 2차 오염시킬 위험성이 없고, 비접촉식 유량계 중 전자식 유량계는 전기가 통하지 않는 DIW (Deionized Water) 성분을 계측할 수 없으므로 사용되지 못하기 때문이다.
1,2
초음파 유량계의 치명적인 단점은 계측해야 할 약액 내부 버블이 다량 함유되어 있으면 이로 인해 진폭이 감쇠되어 계측 오차 발생 및 계측 불가 상태가 발생 한다는 점이다.
3-5 근래 메모리 패턴 사이즈 7 nm급 제품이 양산 되고 있으며 패턴의 사이즈 축소를 위해 유량 관리의 중요도는 더욱 증가하고 있다. 그리고 다양한 약액이 신규 개발 적용되고 있는데 이중 과수가 다량 함유되어 있는 약액이 사용되고 있기 때문에 버블에 대한 영향성이 적은 계측 방법으로의 개선은 시급한 실정이다.
본 연구에서는 이러한 초음파 유량계의 단점을 개선하고자 초음파 신호를 진폭에 영향을 받지 않도록 0 V 기준에서 구형파로 변환하였고 계측된 신호의 주파수를 분석하여 노이즈(Noise)와 구별하였다.
6 이러한 신호처리 기법을 적용하여 계측 안정성을 개선하였다. 본 연구에서 명시하고 있는 개선된 신호처리 기법은 반도체 공정 약액 계측용 초음파 유량계에 처음 시도 되는 방식으로 일본 및 미국의 선진 기술이 해결하지 못한 버블에 대한 안정성 향상을 기대할 수 있다. 개선된 계측 방법을 적용한 유량계와 기존방식의 유량계(외산 유량계)를 마이크로버블(Micro-Bubble) 유입 실험을 통하여 계측 성능 개선 여부를 평가 하였으며, 평가 결과 약 30-50%의 정상 계측 시간적 안정성이 개선됨을 확인하였다. 다만, 본 연구는 버블이 함유 되어 있는 약액의 계측 안정성 향상에 대한 것이므로 계측 유량의 정확성에 대한 검증 및 평가는 진행 하지 않았다.
반도체 제조 세정 공정 설비의 챔버 내에는 고정(Fix) 노즐, 백(Back) 노즐, 스윙(Swing) 노즐 등 많은 종류의 노즐로 구성되어 있고 각각의 노즐에는 여러 종류의 약액이 공급 제어되고 있다.
Fig. 1은 개별 챔버 당 설치되어 있는 유량 조절 유닛(Unit)의 모습이며, 노즐 한 개당 초음파 유량계 1개가 설치되어 있어 유량 계측 및 모니터링이 진행되고, 니들(Needle) 밸브에 의해 적정 유량을 조절할 수 있도록 구성되어 있다.
Fig. 1 Flow meter for semiconductor manufacturing process equipment
2. 초음파 유량계 설계
2.1 시간차 방식 유량계의 구조 및 계측 원리
2.1.1 초음파 유량계의 구조
Fig. 2는 초음파 유량계의 블록다이아그램(Block Diagram)이다. 유체 배관에 연결하여 음파를 송수신 하는 검출기와 이 신호를 증폭 및 연산 처리하여 유량으로 변환하는 변환기로 크게 나뉜다. 본 논문에서는 계측 안전성 향상을 위해 초음파 신호 송수신 및 변환을 하는 신호처리 회로 개선과 유량연산을 수행하는 Micro Processor의 알고리즘 개선을 진행 하였다.
Fig. 3은 검출기 분해도이며 검출기 각부의 명칭 및 재질을 명시하였다. 반도체 공정 특성으로 강산, 강알칼리 약액이 사용되기 때문에 약액과 접촉되는 부분의 재질은 불소수지의 일종인 PFA(Perfluoroalkoxy)로 선정하여 설계하였다. 압전세라믹 소자를 보호하기 위해 합성고무(EPDM)를 사용하여 밀폐 시켰으며, End-C-Ring으로 채결 조립할 수 있는 구조로 설계하였다. 그 외 외각 재질은 플라스틱 사출 성형이 자유로운 PP (Ploypropylene) 재질로 제작하였다. 압전세라믹(초음파센서)은 검출기의 양 끝단에 설치하여 초음파의 발신과 수신을 번갈아 가며 진행한다.
7 Fig. 4의 좌측 사진은 본 연구에서 개발한 검출기의 사진이며 양단의 초음파센서는 동축 케이블에 연결되어 변환기로 진동신호를 전달한다.
Fig. 4의 우측 사진은 변환기로 검출기와 한 쌍으로 구성되어 있으며, 검출기에서 전달된 초음파 신호(전압)를 이용하여 유량을 연산하고 유량 데이터를 상위 제어기에 통신을 이용하여 전송한다.
Fig. 2Ultra sonic flow-meter block diagram
Fig. 3Ultra sonic flow-meter detector decomposition
Fig. 4Ultra sonic flow-meter detector and converter developed in this study
검출기는 U자 형태의 배관체이며, 양 측면에 초음파센서가 장착되어 음파를 송수신 하도록 이루어져 있다. 대용량의 경우 클램프온(Clamp-On) 타입의 배관 외부에 센서(Sensor)를 장착하는 형태도 있으나, 반도체 공정 약액은 대 구경의 대 유량이 아니고 최대 2 L/min 의 저 유량으로 U자 형태가 대부분이다.
2.1.2 초음파 유량계의 계측 원리
초음파 유량계란 초음파의 전달 속도 차를 이용하여 유량을 계산하는 계측기이다.
Fig. 5는 초음파 유량계 계측 원리를 설명하기 위한 그림으로 정, 역방향 압전세라믹이 설치되어 있고 유체가 흐르는 방향으로 발진한 음파(정방향파)는 유속과 음속이 더해져 음속보다 빠르고, 유체가 흐르는 역방향으로 발진한 음파(역방향파)는 음속에서 유속을 뺀 만큼 속도가 느려진다. 따라서 정방향파가 발진된 이후 반대편 압전세라믹에 도달한 시간
t1과 역방향 파가 도달된 시간
t2를 계측 하여 유체의 이동 속도를 측정하고 검출부 배관체의 면적을 곱하여 유량을 계산한다.
t1과
t2를 계산하는 식은 아래
식(1)과
식(2)와 같다.
Fig. 5Piezo ceramic and sound wave of ultra sonic flow-meter principle
여기서
L은 초음파센서 간 거리이며,
C는 음속,
V는 유속이다. 유속이
V의 속도로 흐를 때 초음파센서
A,
B에서 발송한 음파의 시간차 Δ
t는
식(3)과 같다.
식(3)에서
V2은
C2에 비해 매우 작은 값이므로 무시하면 유속
V는
식(4)와 같이 표현할 수 있다.
유량
Q는
식(4)에서 구해낸 유속에 검출기 배관의 면적을 곱하여 구하게 된다.
8
2.2 진폭 감쇠 안정화 개선
Fig. 6은 개선된 계측 방법의 구성도이다. 초음파 발신, 수신 회로에서 12 V, 2 MHz의 음파를 발진 시키고 발진된 초음파는 마주보고 있는 초음파 센서에 전달된다. 초음파 센서에서 수신된 진동 신호는 초음파센서에 의해 전압으로 수신되는데 그 크기가 수십 mV로 작기 때문에 증폭회로에서 약 2-3 V로 증폭시킨다. 증폭된 초음파 신호는
Fig. 7의 상부 파형과 같이 사인파(Sine Wave) 형태이다. 사인파 형태로 수신된 초음파 신호는 시간을 계측하기 위하여 구형파(Square Wave) 형태로 변환하는데 이 과정에서 사인파의 0 V를 기준으로 구형파로 변환한다.
Fig. 7의 하부 파형이 제로크로싱(Zero Crossing)에 의해 변환된 구형파를 나타내고 있다. 기존 계측 방법은 구형파로의 변환 과정에서 수신된 신호의 진위 여부를 판단하기 위하여 1.5-2 V 이상의 전압 신호만 정상 파형으로 판단하여 계측에 활용한다. 기준 전압 이하의 신호는 노이즈로 간주하고 필터링하기 때문에 일정 전압 이하로 진폭 감쇄가 발생하면 계측된 신호를 모두 노이즈로 간주하기 때문에 계측 에러(Error)가 발생하게 된다. 하지만 개선된 계측 방법은 진폭이 수십 mV로 수신되더라도 동일한 구형파를 생성 시킬 수 있기 때문에 버블에 의한 계측 오류를 감소시킬 수 있다.
Fig. 6Zero-crossing block diagram of ultra sonic flow measurement
Fig. 7Ultrasonic waveform zero crossing method
개선된 계측 방법에서는 노이즈성 신호 여부를 판단하기 위해 주파수 비교 방법을 적용하였다. 변환기에서 초음파 센서로 2MHz의 진동을 발진 시키고 초음파 센서 또한 2 MHz의 고유 진동수를 갖는 센서를 사용하기 때문에 수신된 신호가 2 MHz의 주파수를 띠고 있어야만 한다. 따라서 구형파 형태로 변환된 신호의 주파수를 계측하여 그 신호의 주파수가 2 MHz의 특정 오차 범위 이내에 계측된다면 그 신호를 활용하여 음파 도달 시간차를 계측할 수 있게 된다.
9
그리고 계측 유량의 정확성을 증가시키기 위해
Fig. 7과 같이 유량계측을 위한 시간차 측정 및 노이즈 판단을 위한 주파수 측정을 A (Positive Edge), B (Falling Edge) 부분에 대한 측정의 평균치로 활용한다. 또한 A, B 부분의 각각 4점 측정하여 연속적으로 3주기의 신호가 모두 정상 범위 이내의 주파수가 측정되어야만 정상 신호로 인식하고 유량 연산에 활용한다.
3. 계측성능 실험
3.1 유체 정지상태 계측 실험
개선된 계측 방식으로 유체가 정지되어 있는 상태에서 계측 성능을 실험하였다.
Figs. 8부터
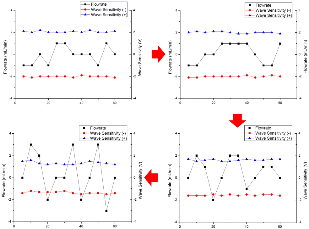
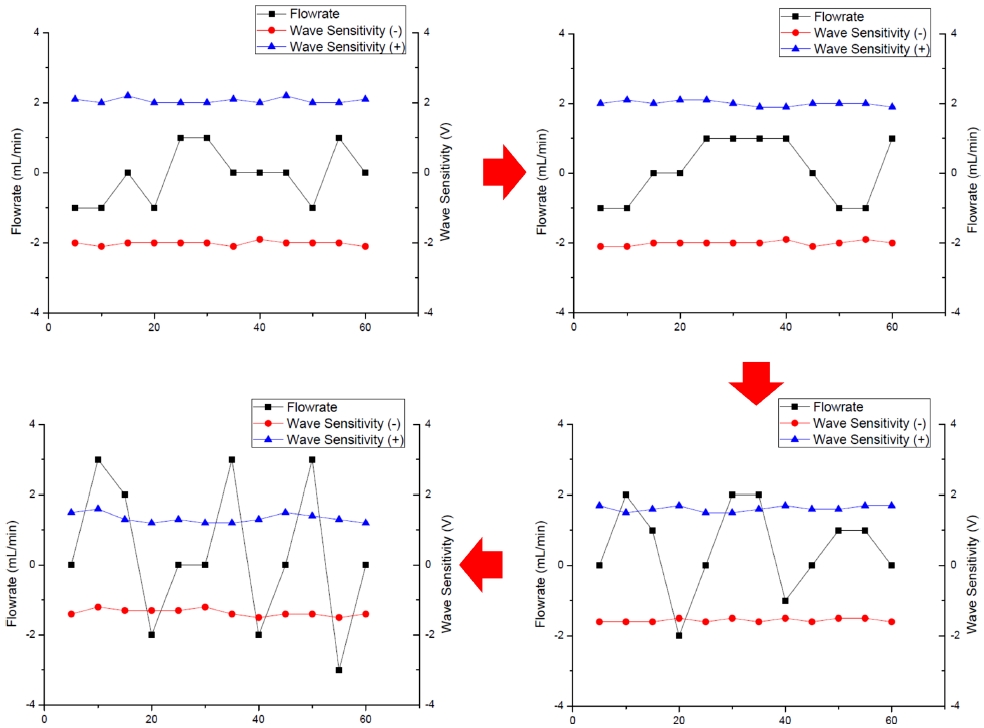
10은 배관 내부에 함유되어 있는 버블의 함유량에 따른 초음파 파형 및 정지 상태 유량계측값에 대한 결과이다. 실험 방법은 개선 개발된 초음파 유량계 배관체 내부에 과산화수소(30%)를 주입하고 시간에 따라 과산화수소에서 발생되는 버블에 의한 정지 상태의 유량 값과 진폭의 변화를 측정하였다. 과산화수소의 산소 분자가 시간이 지남에 따라 결합하여 버블로 변화한다. 시간이 지나면 지날수록 산소의 양이 증가하여 배관내의 버블 양이 증가함을 알 수 있다. 버블이 증가하면 할수록 진폭은 감소하였으며 진폭이 2 V 이하로 감소하여도 개선된 계측 방법은 정지 유량을 정상적으로 계측하였다. 단, 버블 양이 증가할수록 정지 유량(0 mL/min) 계측값이 최대 ±3 mL/min 범위 이내에서 변화하는 결과를 얻었다. 이는 Zero Crossing 과정에서 발생되는 미세한 주파수의 변화 때문으로 판단 된다. 그러나 정지 유량의 Offset 값은 허용 계측 오차 범위(Full Scale 1%)에 비하면 무시할 수 있는 값으로 반도체 제조 공정에 큰 영향을 미치지 않을 것으로 판단된다.
Fig. 8The amount of bubbles in the tube over time
Fig. 9Waveform changes according to bubble amount
Fig. 10Result graph of wave sensitivity and flow rate
3.2 마이크로버블(Micro-Bubble) 유입 계측 실험
개선된 계측 방법을 적용한 유량계의 유체 흐름 시 마이크로버블 유입에 따른 계측 성능 개선 여부를 확인하기 위하여 국내 반도체 제조 설비사(S사)와 마이크로버블 제너레이터 개발 연구원(K연구원), 일본 유량계 제조사(T사)와 함께 공동 실험을 진행하였다. K연구원은 마이크로버블 발생기와 버블 카운터를 제작하여 마이크로버블 유입 실험을 진행할 수 있는 평가 장비를 제작 하였고, T사는 기존 방식의 유량계 시료를 제공하여 개선된 방식의 유량계와 비교 실험을 진행하였으며, S사는 참관 하에 실험을 진행하였다.
Fig. 11은 마이크로버블 유입 실험 장치로 마이크로버블 발생기에서 발생된 마이크로버블은 버블카운터를 통과하여 버블의 크기와 개수를 카운팅 한다. 마이크로버블이 유입되어 있는 유체는 배관을 통하여 유량계 검출부에 전달 되고 유량계는 버블이 유입되고 있는 상태에서 유량을 계측하는 실험을 진행하였다. 유량계로 공급되는 유량은 약 800 mL/min으로 설정하여 공급하였다.
Table 1은 마이크로버블 발생기에 공급된 에어(Air)의 량에 따른 마이크로 버블의 개수를 정리한 것이며,
Fig. 12는 발생된 마이크로 버블의 에어 공급 량에 따른 버블 사이즈 별 개수를 카운팅(Counting)한 결과이다. 실험 결과
Table 2에서 볼 수 있듯이 기존 방식의 유량계 대비 개선된 유량계에서 버블 유입에도 정상 계측 되는 시간이 긴 것을 알 수 있다. 개선된 계측 방법을 적용한 유량계의 경우 100 cc 에어 공급 시에 가장 짧은 정상 계측 시간을 볼 수 있었는데 이는
Table 1,
Fig. 12에서 볼 수 있듯 공급된 마이크로 버블의 양이 에어 량 100 cc일 때가 가장 많았기 때문이다. 본 실험에서 사용된 버블카운터는 마이크로버블의 수를 250 μm 미만의 크기만 계측하였다. 마이크로버블 발생기에 공급된 에어의 량이 100 cc일 때 두 유량계 모두 약 25초까지 정상 계측 후 계측 에러가 발생하였으며, 200 cc에어 공급 시에는 약 2배 이상, 300 cc 에어 공급 시에는 약 30% 이상 길게 개선된 유량계가 정상 계측 됨을 알 수 있었다.
Fig. 11Micro-bubble experiment system
Table 1Number of micro-bubble according to air volume in bubble generator
Table 1
Amount of air (cc) supplied in bubble generator |
0 |
100 |
200 |
300 |
Number of bubble (ea/cc) appeared in flow-meter |
2,860 |
31,500 |
27,500 |
25,000 |
Fig. 12Number of bubble for different bubble size according to the amount of air volume
Table 2Comparison of the maximum measuring time (sec) of ultra sonic flow-meter by the supplied air volume
Table 2
Supplied air(cc) in bubble generator |
100 |
200 |
300 |
|
Developed flow-meter |
25 |
47 |
29 |
|
Japan make T flow-meter |
24 |
20 |
20 |
Fig. 13은 개선된 방법을 적용한 유량계의 버블 유입 실험 시계측된 유량값으로 계측 에러 발생 전 계측 유량의 헌팅이 발생한 후 계측 에러로 인해 계측 값이 0 mL/min으로 떨어지는 것을 확인하였다. 계측 유량의 헌팅 및 에러는
Fig. 15의 적색 원으로 표현한 250 μm 이상의 큰 사이즈의 버블에 의해 발생된 것으로 판단되며 마이크로버블이 배관을 통하여 이동 중 서로 결합하여 버블의 크기가 커져 계측에 영향을 미친 것으로 판단된다. 배관 내 흐르는 버블의 모양은
Fig. 15와 같이 LED등을 활용하여 확인하였다.
Fig. 14는 100 cc의 에어 공급에 의한 마이크로 버블 유입 시 파형의 변화를 나타낸 것으로 버블 유입 시간이 증가하면 할수록 파형의 형태 변화 또한 증가하였다. 이 또한 마이크로버블이 서로 결합하여 그 크기가 커지므로 발생된 것으로 보인다. 비교 실험 시료 관련 유량계측 데이터(Data)는 T 사 기업 비밀로 공개되지 않아 본 논문에는 첨부하지 못하였다.
Fig. 13Flow rate for maximum measuring time by the different supplied micro-bubble air volume (cc)
Fig. 14An example of waveform changing steps due to the micro-bubble inflow until the error signal happen
Fig. 15Micro-bubbles mixed with a large size of bubbles in flow-meter tube
4. 결론
초음파 유량계의 단점인 버블에 의한 계측 에러를 개선하기 위하여 수신된 초음파의 신호를 제로크로싱 기법을 이용하여 구형파로 변환하였으며, 파형의 진위 여부를 판단하기 위해 신호의 주파수를 계측하여 발진 주파수와 비교 분석을 통해 노이즈 여부를 판단하였다. 개선된 계측 방식을 적용하여 계측 실험을 진행 한 결과 유체 정지 상태, 유체 흐름 상태 모두 개선된 계측 성능을 확인할 수 있었다.
반도체 제조 공정에 사용되는 약액이 반도체 패턴의 사이즈 축소에 따라 다양화되고 있고, 버블이 유입되는 약액 또한 지속적으로 개발 및 사용되고 있다. 이로 인한 반도체 제조 공정 관리의 어려움이 발생하고 있는데 본 논문의 연구 결과를 이용하여 유량계를 개선한다면 기존 방식 대비 최대 정상 계측 시간이 약 30-50% 성능 향상을 기대할 수 있었다.
시간차 전달 방식의 초음파 유량 계측의 안정화는 250 μm 이상의 큰 사이즈의 버블의 발생 시점이 중요하게 보이며 최대 계측 가능 시간은 큰 사이즈의 버블이 발생되면서 줄어드는 것으로 나타났다. 마이크로 버블의 사이즈는 약액의 점도에 따라 달라질 것이나 본 연구에서의 방법으로 마이크로 버블이 발생하여도 유량 계측이 가능함을 보였다.
다만, 본 연구는 초음파 유량계에 버블이 유입되었을 때 계측 안전성 향상에 대한 연구로 계측 정확도에 대한 언급은 하지 않았다.
REFERENCES
- 1.
KAIST, “Report for Developing of a Ultrasonic Flow Meter,” Report, pp. 13-19, 42-54, 1988.
- 2.
Central Institute of DaeSung, “Technical Development for application of Ultrasonic Flow Meter,” Report, 1995.
- 3.
Hwang, W. H., “Development of Transit Time Different Method Mult-Channel Ultrasonic Gas Flow Meter,” Proc. of KSPE Autumn Conference, 2003.
- 4.
John Flood, “Ultrasonic Flowmeter Basics,” Proc. of IEEE, Vol. 53, No. 10, 2001.
- 5.
Calzolai, M., Capineri, L., Fort, A., Masotti, L., Rocchi, S., et al., “A 3-D PW Ultrasonic Doppler Flowmeter: Theory and Experimental Characterization,” IEEE Transaction on Ultrasonics, Ferroelelectrics, and Frequency Control, Vol. 46, No. 1, pp. 108-113, 1999.
10.1109/58.741518
- 6.
Djurić, M. B. and Djurišić, Ž. R., “Frequency Measurement of Distorted Signals Using Fourier and Zero Crossing Techniques,” Electric Power Systems Research, Vol. 78, No. 8, pp. 1407-1415, 2008.
10.1016/j.epsr.2008.01.008
- 7.
Vatansever, D., Siores, E., and Shah, T., “Shah Alternative Resources for Renewable Energy: Piezoelectric and Photovoltaic Smart Stuctures,” Global Warming–Impacts and Future Perspective, Vol. 263, p. 266, 2012.
- 8.
Ahn, Y. K., “Technical Trends of Ultrasonic Flowmeters,” Korean Society for Noise and Vibration Engineering, Vol. 19, No. 5, pp. 11-18, 2009.
- 9.
Lee, C.-H., Lee., K.-J., and Hong, Y.-S., “A Design and Implementation of an Ultrasonic Water Meter Using Differential Time-of-Flight Flow Measurement Method,” Journal of Korean Institute of Information Technology, Vol. 13, No. 4, pp.17-26, 2015.
10.14801/jkiit.2015.13.4.17
Biography
- Il Jin Bae
Assistant Professor in the Department of Semiconductor Equipment Engineering, Far East University. His research interest is Flow Controller.
- Eung Suk Lee
Professor in the Department of Mechanical Engineering, Chungbuk National University. His research interest is Machine.
Citations
Citations to this article as recorded by

- Investigation on the influence of wall thickness on the reception signal in a PFA-made ultrasonic flow sensor
Liang Hu, Chengwei Liu, Rui Su, Weiting Liu
Sensor Review.2024; 44(2): 149. CrossRef - Control Speed Improvement of Chemical Liquid Flow Control Device for Semiconductor Manufacturing Process
Il Jin Bae
Journal of the Korean Society for Precision Engineering.2021; 38(6): 405. CrossRef