Skip to main navigation Skip to main content
  • E-Submission

JKSPE : Journal of the Korean Society for Precision Engineering

OPEN ACCESS
ABOUT
BROWSE ARTICLES
EDITORIAL POLICIES
FOR CONTRIBUTORS
REGULAR

테이퍼 롤러의 각오차가 테이퍼 롤러 베어링 특성에 미치는 영향에 관한 연구

Effect of Tapered Roller Angle Error on the Characteristics of Tapered Roller Bearing

Journal of the Korean Society for Precision Engineering 2021;38(5):373-381.
Published online: May 1, 2021

1 금오공과대학교 기계시스템공학과

2 삼성디스플레이 모바일디스플레이레이저그룹

1 Department of Mechanical System Engineering, Kumoh National Institute of Technology

2 Mobile Display Laser Group, Samsung Display Vietnam Co., Ltd.

#E-mail: swhong@kumoh.ac.kr, TEL: +82-54-478-7344
• Received: February 17, 2021   • Revised: March 23, 2021   • Accepted: March 29, 2021

Copyright © The Korean Society for Precision Engineering

This is an Open-Access article distributed under the terms of the Creative Commons Attribution Non-Commercial License (http://creativecommons.org/licenses/by-nc/3.0) which permits unrestricted non-commercial use, distribution, and reproduction in any medium, provided the original work is properly cited.

  • 7 Views
  • 0 Download
prev next
  • This paper presents the characteristics of tapered roller bearings (TRBs) taking into consideration the effects of tapered roller angle error which may occur during manufacturing. To this end, a TRB model including tapered roller angle errors was developed. The effects of tapered roller angle error on the contact load distribution, bearing stiffness and fatigue life were investigated with respect to changes in the tapered roller angle error. A statistical analysis of the fatigue life of TRBs was also provided with respect to tapered roller angle error. Simulation results show that the tapered roller angle error changes the load distribution of the rollers and causes angular misalignment in TRBs, and subsequently, influences the bearing stiffness and fatigue life. The statistical analysis shows that the Weibull distribution is an acceptable method to represent the statistical fatigue life for the practical range of tapered roller angle errors.
테이퍼 롤러 베어링(Tapered Roller Bearing, TRB)은 중장비와 트럭 차축 등 높은 부하를 지지해야 하는 장비에 널리 사용하고 있다. 최근에는 이러한 TRB가 보다 높은 운전속도와 정밀도를 요구하는 장비로 응용이 확대되는 추세에 있어 그 특성 예측이 중요해지고 있다. 베어링은 요소 자체의 정밀도에 그 특성이 크게 영향을 받는다. TRB의 경우에도 레이스와 롤러의 내부 형상 정밀도에 그 특성이 큰 영향을 받는다.1 특히, 베어링 가공 중 불가피하게 발생하는 레이스와 롤러의 기하학적 오차는 베어링의 강성 및 진동 특성 등에 큰 영향을 미치는 것으로 알려져 있다.1
베어링에 발생할 수 있는 형상오차에 대한 특성 변화를 정확히 예측할 수 있다면 베어링 설계 및 공차 최적화, 베어링 제조 등에 유용하게 활용할 수 있기 때문에 많은 연구가 이루어져 왔다. TRB에서 발생할 수 있는 형상오차는 다양하나 본 연구에서는 가장 전형적 오차인 테이퍼 롤러의 각오차가 베어링 특성에 미치는 영향을 분석하였다.
Sunnersjö2은 베어링 구성 요소의 기하학적 결함과 작동 중 발생하는 진동과의 관계를 명확하게 하기 위해 실험과 이론해석 결과를 비교하였으며 베어링의 진동에서 롤러 직경 오차와 내륜의 웨이브 오차가 지배적인 원인이 되는 것을 확인하였다. Tong과 Hong3은 테이퍼 롤러 베어링의 롤러 직경 오차에 따른 베어링의 강성과 피로 수명을 계산하였다. 그들은 TRB의 강성, 중심 궤도 및 피로 수명과 같은 주요 특성이 롤러의 직경 오차에 의해 크게 저하되는 것을 보였다. Upadhyay 등4은 볼베어링에서 결함 볼의 크기와 숫자를 변경하면서 회전 시스템의 진동 특성을 연구하였다. 그들은 결함 볼의 위치와 수에 따라서 진동 특성이 다르게 나타난다는 것을 확인하였다.
Chen 등5은 롤러 직경에 오차가 있는 원통형 롤러 베어링의 정적하중분포, 반경 방향 클리어런스 및 런아웃을 분석하였는데 직경 오차를 가진 롤러가 하중분포에 큰 영향을 미치는 것을 확인하였다. Harsha 등6은 표면 웨이브 오차에 의해 발생하는 비선형 진동 응답에 대한 분석 모델을 제안하였다. 그들은 외부 레이스 표면의 웨이브와 볼요소의 수가 동일한 때에 서브 하모닉 주파수 진동이 발생한다고 주장하였다. 또한, Su 등7은 제조 오차로 인한 표면의 불규칙성을 기초로 롤러 베어링 진동의 주파수 특성을 설명하기 위한 모델을 제안하였다. 그들은 예하중 상태에서 일반 베어링의 진동 스펙트럼을 분석하여 표면 불규칙성을 가진 결함 베어링과 유사한 주파수 분포를 가진다고 발표하였다. Tamura8는 실험적으로 직경이 다른 볼을 가진 볼 베어링의 진동을 연구하였다. 그는 직경 오차로 인해 순간적으로 하중이 인가하는 볼 수의 변화로 인해 축 방향 강성이 베어링 회전에 따라 변화한다고 결론지었다.
이상 검토한 바와 같이 베어링의 기하학적 오차에 관한 연구들은 대부분 볼 베어링에 치중되어 있으며 테이퍼 롤러 베어링에 대한 연구는 찾기 어렵다. 특히 테이퍼 롤러의 각오차가 있는 경우의 TRB 특성에 관한 연구는 찾기 어렵다.
본 연구에서는 5자유도 TRB 모델을 사용한 시간 영역 해석방법을 통해 TRB에서 테이퍼 롤러의 각오차가 있을 때의 특성 변화를 검토하였다. 이를 위해 롤러 각오차에 의한 효과를 모델에 포함시켜 롤러와 내륜, 외륜 사이의 접촉하중의 변화 및 강성 변화를 계산하였으며, TRB 피로 수명을 추정하였다. 또한 TRB 강성 및 피로 수명에 대한 테이퍼 롤러의 각오차의 영향을 통계적으로 조사하였다.
Fig. 1은 테이퍼 롤러의 각오차를 나타낸다. Fig. 1에서 실선은 이상이 없는 이상적인 롤러를 나타내고, 점선은 테이퍼 각오차 결함이 있는 롤러를 나타낸다. 롤러의 D1D2는 롤러의 전면 및 후면 직경이다. 테이퍼 각오차에 의해서 D1D2가 변화되지만, 롤러 유효 접촉 길이인 lw 및 롤러 끝 테두리 반경인 Rf는 변경되지 않는 것으로 가정하였다. 그 밖의 베어링 파라미터는 Table 1에 나타낸 것과 같이 30212-A 베어링의 데이터를 사용하였다.
Fig. 1

Geometry of roller with and without taper angle error

KSPE_2021_v38n5_373_f001.jpg
Table 1

Basic parameters of simulated bearing: TRB 30212-A

Table 1
Parameter Symbol Value
Bore diameter [mm] a 60
Outside diameter [mm] D 110
Total width [mm] B 23.75
Number of rollers z 19
Pitch diameter [mm] dm 84.12
Nominal roller mean diameter [mm] Da 13
Fig. 2는 일반적인 5자유도 베어링 모델의 좌표계 및 외부 하중과 변위를 나타낸다. 베어링의 강성은 내륜 중심점을 기준으로 외부에서 인가되는 힘과 모멘트에 대한 변위를 통해 계산한다. 베어링의 내륜에 작용하는 외부 하중 및 변위 벡터는 다음 식(1)로 나타낼 수 있다.
(1)
FT=Fx,Fy,Fz,Mx,MyδT=δx,δy,δz,γx,γy
Fig. 2

TRB model with loading and displacement

KSPE_2021_v38n5_373_f002.jpg
이상적인 TRB에 대해 접촉하중 및 강성을 계산하는 과정은 Tong과 Hong에 의해 발표된 바9,10 있으며 부록 A1에 개략적인 과정을 기술하였다. 본 연구에서는 특정 롤러에 각오차가 있으므로 해당 롤러에 대해 다음과 같이 모델링하였다. 롤러와 내/외륜 사이의 접촉하중은 롤러의 길이 lns개의 동일한 슬라이드로 나누어 접촉하중을 계산하는 슬라이싱법(Slicing Method)을 사용하였다.9,13 각오차가 있는 롤러의 경우 테이퍼 각오차 Δθr를 고려하면, 각각의 슬라이스에서 롤러와 궤도면 사이의 압축 변형량과 이로 인해 발생하는 롤러와 내/외륜에서의 접촉하중 Qa와 모멘트 Ma를 다음 식(2)와 같이 나타낼 수 있다.
(2)
Qa=k=1nscδk10/9ΔlkMa=k=1nscδk10/9Δlklkδk=δa-hk+lkΔθr
여기서 c는 접촉 상수, δa (a = i, e)는 수직변위에 의한 롤러와 내륜(i) 및 외륜(e)의 접촉 압축변형량을 의미하며, hk는 롤러 형상에 의한 크라운 드롭으로 롤러와 궤도면에서 발생한다. 부록 A1 식(12)식(13)으로 주어진 평형방정식에 결함이 있는 테이퍼 롤러에 대해 식(2)를 적용하여 평형방정식을 푼다.
부록 A1에 설명한 바와 같이 TRB 강성은 베어링에 인가되는 하중과 베어링 반력의 평형방정식을 통해 얻을 수 있으며, 하중 벡터에 대한 변위 벡터의 미분으로 다음 식(3)과 같이 얻어진다.9,10
(3)
K=FδT=kxxkxykxzkxθykxθzkyxkyykyzkyθykyθzkzxkzykzzkzθykzθzkθyxkθyykθyzkθyθykθyθzkθzxkθzykθzzkθzθykθzθz
외부하중 {F}가 변하는 경우는 물론, 일정하다고 해도 내륜의 변위는 테이퍼 롤러의 각오차와 롤러에 미치는 접촉하중 변화로 인해 시간에 따라 변화한다. 따라서 베어링 강성행렬은 회전각의 함수로 나타나게 된다. 즉,
(4)
K=Kϕ
여기서 롤러의 각도 ϕ(t)는 다음 식(5)와 같이 나타낸다.
(5)
ϕt=2πk-1Z+ωct
여기서 kZ는 각각 롤러 인덱스와 롤러의 개수를 나타내고, ωc는 롤러의 공전속도(또는 케이지속도)를 나타낸다. 롤러와 내/외륜 접촉에서 순수 구름 운동이 발생한다고 가정하면 ωc는 다음 식(6)과 같이 계산한다.
(6)
ωc=radm ω
여기서 dm은 베어링의 피치직경, ω는 내륜의 회전각속도를 나타내고, ra는 롤러 중심을 통과하는 직경의 내부 접점 반경이다.
베어링의 설계에서 중요한 고려사항 중 하나는 피로 수명이다. 피로 수명이 긴 베어링은 유지/보수 비용 절감에 실질적 도움이 된다. 베어링의 형상오차를 줄이게 되면 성능은 향상되지만, 이를 위한 가공 정밀도 향상을 위한 비용으로 인해 가격이 높아지는 제한점이 있다. 따라서 베어링의 형상오차에 따른 피로 수명에 대한 정보는 베어링 설계 및 제작에 중요한 의미가 있다.
본 논문에서는 결함을 가진 롤러가 포함된 TRB의 피로 수명을 예측하기 위해 ISO/TS 16281:200814에 제안된 식과 Palmgren-Miner 누적 손상 이론을 적용하여 다음 식(7)과 같은 기본수명식을 사용한다.3
(7)
L10r=m=1NL10rmN
여기서 L10r은 베어링의 기본수명식, N은 기본수명 계산에 사용된 총 하중 적용 케이스 수를 나타내며 여기서는 롤러의 수(Z)가 된다. 피로 수명 계산에 필요한 롤러의 접촉하중은 앞서 설명한 베어링 모델을 통해 계산한다.12,13 롤러 오차에 따른 피로 수명의 상대적 변화를 평가하기 위해 Ref. 3에서 고려한 무차원 피로 수명을 고려하였다. 정의된 무차원 피로 수명은 결함 롤러가 없는 이상적인 수명 L0와 결함 롤러를 포함한 피로 수명 L10r의 비율로 나타내었다.3
(8)
λ=L10rL0
테이퍼 각오차에 의한 통계적 분석을 위해 롤러의 평균 테이퍼 각오차 Δθr은 평균값 0, 표준편차 σr로 정규 분포하는 것으로 가정하였다. 테이퍼 롤러의 각오차에 대해 적합한 확률분포함수를 확인하기 위해 다음 식(9)를 이용한 카이 제곱 검정15,16을 수행하였다.
(9)
χ2=i=1kfi-Ei2Ei
여기서, fiEi는 각각 관측 및 예상 빈도수이며, k는 클래스 수이다. 식(9)에서의 검정을 위한 클래스 수는 13으로, 임계값은 χ13,0.052=22.36으로 두었다.
피로 수명에 대한 확률분포함수로는 직경 오차에 대한 기존 연구13에서와 마찬가지로 정규분포 외에 Weibull 분포와 Gamma 분포를 검토하였으며 부록 A2에 관련 분포함수에 대한 내용을 간략히 기술하였다.17,18
여기서는 테이퍼 각오차를 가진 롤러가 포함된 TRB 모델을 이용하여 샘플 TRB (30212-A)에 대한 시뮬레이션을 통해 얻은 여러 가지 특성에 대해 논의하였다. TRB의 회전속도는 n = 1 krpm로 일정하게 두었다.
3.1 테이퍼 각오차에 의한 롤러 하중 변화
Fig. 3은 테이퍼 각오차를 가진 TRB의 롤러 접촉하중분포를나타낸다. Fig. 3에서 테이퍼 각오차를 가진 롤러가 0°의 #1 위치에서 하중이 롤러의 두꺼운 부분에 편심되어 발생되는 모멘트를 보상하기 위해 다른 롤러들의 하중분포가 롤러의 중심을 벗어나 결함 롤러의 하중분포와 반대 방향으로 오프셋되어 발생한다. 또한 결함 롤러의 반대 위상에 위치한 롤러가 다른 롤러에 비해 상대적으로 더 큰 하중을 받는 원인이 된다. 이러한 결과를 통해 테이퍼 롤러의 각오차가 TRB에 모멘트를 발생시켜 결국 각 어긋남을 유발할 수 있음을 알 수 있다.
Fig. 3

Rollers-inner raceways contact load distributions (Fx = 1 kN, Fy = 0 N)

KSPE_2021_v38n5_373_f003.jpg
Fig. 4는 테이퍼 롤러의 각오차로 인해 발생하는 내륜의 각 어긋남을 나타낸다. 테이퍼 롤러의 각오차에 의한 TRB 각 어긋남은 Fig. 4에 나타낸 것 같이 테이퍼 롤러 각오차 크기의 약 10% 수준으로 나타나고 있으며 고려한 범위 내에서 최대 0.45 mrad로 나타난다. 따라서 테이퍼 롤러 각오차에 의한 내륜 각 어긋남 효과는 제한적일 것으로 생각한다.
Fig. 4

TRB misalignment according to tapered roller angle error (Fx = 1 kN, Fy = 0 N)

KSPE_2021_v38n5_373_f004.jpg
롤러의 형상오차에 의한 결함 롤러와 플랜지 사이의 접촉력도 변화한다. 점 접촉을 기반으로 하는 플랜지와 롤러 끝 사이의 접촉력 Qf는 부록 식(16)으로 나타난다. Fig. 5는 롤러의 직경오차 및 테이퍼 롤러의 각오차로 인한 롤러-플랜지 접촉력 변화를 비교해서 보여주고 있다. Fig. 5를 통해 롤러의 직경 오차가 음에서 양의 방향으로 커지면 Qf가 일관되게 감소하는 것과 달리 테이퍼 각오차는 음의 값과 양의 값에 대해 대칭적으로 Qf가 감소하는 경향을 보이고 있음을 알 수 있다. 이를 통해 롤러의 형상오차가 내/외륜과 롤러 사이의 평형조건을 변화시켜 롤러-플랜지 접촉력에 영향을 주고 있음을 확인할 수 있다.
Fig. 5

Comparison of defective roller-flange contact load distributions for roller diameter error and roller taper angle error (Fx = 1 kN, Fy = 0 N)

KSPE_2021_v38n5_373_f005.jpg
한편 Fig. 6은 결함을 가진 롤러와 내/외륜 사이의 모멘트를 나타낸다. 오차에 따른 모멘트 변화 양상은 Fig. 5의 플랜지 접촉력 변화와 유사하게 롤러 각오차에 대해서는 음과 양의 오차에 대해 대칭적으로 나타나는 반면 직경 오차에 대해서는 음에서 양으로 오차가 증가하면 모멘트 값이 일관되게 감소하는 추세를 보이게 된다.
Fig. 6

Defective roller-inner/outer ring moment load (Fx = 1 kN, Fy = 0 N)

KSPE_2021_v38n5_373_f006.jpg
3.2 테이퍼 각오차에 의한 TRB 강성 변화
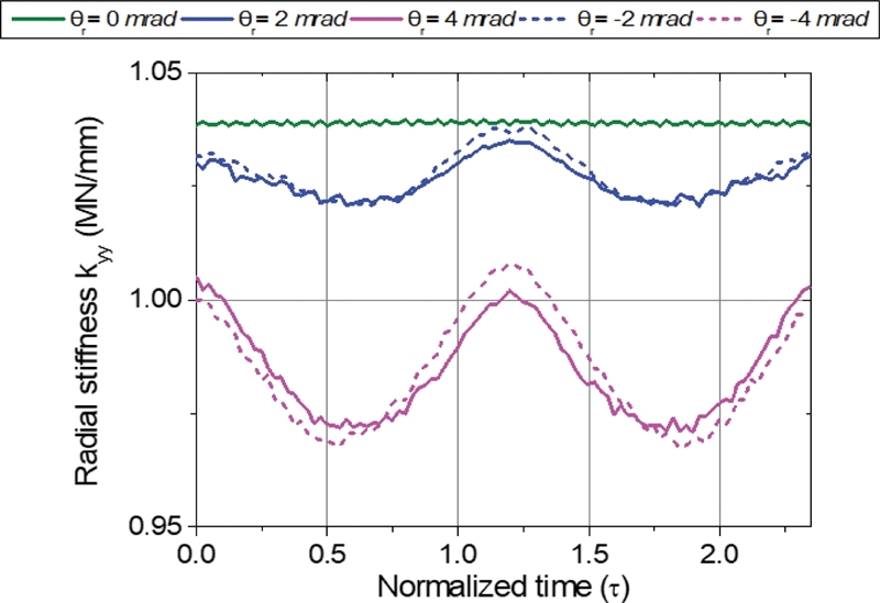
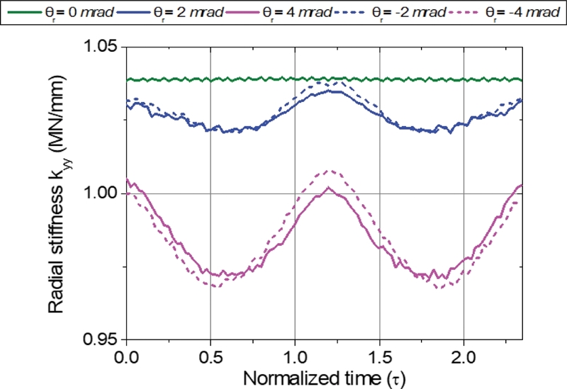
Fig. 7은 테이퍼 각오차를 가진 결함 롤러의 위치에 따른 강성 변화를 나타낸다. 내륜의 회전주기(T)와 시간(t)의 비율로 정의한 무차원 시간 τ(= t/T)에 따른 변화를 나타내었다. 롤러 각오차가 없는 이상적인 경우의 TRB 강성은 시간에 무관하게 거의 일정한 값을 나타내고 있다. 이상적인 TRB의 강성에서 발생하는 미소한 변화는 하중을 받는 롤러의 수가 회전하는 동안 변하는 것과 관련이 있다. 결함 롤러에 의한 강성 변화로 테이퍼 각오차의 절댓값이 증가함에 따라 강성 평균이 낮아지는 것을 확인할 수 있다. 이에 대한 자세한 내용은 Fig. 8을 통해 확인할 수 있다. Fig. 8은 복합 하중을 인가하고, TRB의 결함 롤러와 내륜간에 발생하는 접촉하중을 보여주고 있다. 결함 롤러와 내륜 간의 접촉하중은 각오차의 발생 방향과 관계없이 테이퍼 각오차 롤러가 있는 모든 위치에서의 하중이 이웃한 롤러의 하중보다 매우 크게 나타난다. 이는 테이퍼 각오차로 인해 결함 롤러의 접촉 위치에서의 직경이 이웃한 이상적인 롤러의 직경보다 상대적으로 크게 작용하기 때문이다.
Fig. 7

Stiffness of TRB under combined loads with a defective roller (Fx = Fy = 1,000 N)

KSPE_2021_v38n5_373_f007.jpg
Fig. 8

Roller-inner race contact load for TRB under combined loads with a defective roller (Fx = Fy = 1 kN)

KSPE_2021_v38n5_373_f008.jpg
Fig. 9에서는 결함 롤러의 위치에 따른 접촉하중분포를 보여준다. 테이퍼 롤러의 각오차 Δθr= 1 mrad로 인해 Fig. 9(a)에서 나타난 것과 같이 롤러의 두꺼운 부분에 접촉이 발생하여 이상적인 롤러보다 결함 롤러에서의 직경이 이상적인 롤러보다 상대적으로 크게 작용한다. 하중의 분포도 비대칭적인 양상을 보이고 있음을 볼 수 있다. 이는 롤러 중심에서 멀어질수록 직경편차가 커지는 효과에 기인한다. Fig. 9(b)는 음의 각오차 Δθr= -1 mrad로 인해 테이퍼 롤러의 각오차에 의해 두꺼운 부분에 접촉이 발생하여 Δθr=1 mrad와 같은 영향이 발생한다. 결함 롤러가 ϕ = 180°의 위치에 있을 때에 다른 위치보다 접촉하중이 상대적으로 낮게 나타나는 원인은 경방향 하중에 의한 상부의 롤러 하중이 전체적으로 낮아지기 때문이다. 이상의 결과를 통해 테이퍼 각오차 방향에 관계없이 결함 롤러의 내륜 접촉 위치에서의 하중이 이상적인 롤러보다 상대적으로 크게 작용함을 확인할 수 있다.
Fig. 9

Defective roller-inner raceway contact load distributions for TRB under combined loads (Fx = Fy = 1 kN, n = 1 krpm); (a) Tapered roller angle error: Δθr = 1 mrad, and (b) Tapered roller angle error: Δθr = -1 mrad

KSPE_2021_v38n5_373_f009.jpg
Fig. 10은 테이퍼 각오차에 의한 TRB 중심의 수직변위에 대한 주파수 스펙트럼을 보여주고 있다. 전술한 것과 같이 테이퍼 각오차의 방향과 관계없이 유사한 특성이 나타나기 때문에 양의 테이퍼 각오차 Δθr= 1 mrad에서만 계산하였다. Fig. 10에 나타난 fc는 케이지의 회전주파수를 의미하고 2.334/T이다.
Fig. 10

Frequency spectrums of TRB radial displacement with a defective roller for tapered roller angle error of Δθr = 1 mrad

KSPE_2021_v38n5_373_f010.jpg
축 방향 하중만 적용하였을 때에는 결함 롤러의 공전 주파수와 동일한 단일 성분만이 지배적으로 나타난다. 이는 순수한 축방향 하중에서는 테이퍼 롤러의 각오차에 의해 발생하는 변위가 회전 중에도 그대로 유지되기 때문이다. 그러나 복합 하중조건에서는 결함 롤러의 공전 주파수의 고조파(High Harmonic) 성분들이 나타난 것을 확인할 수 있는데, 이는 경방향 하중이 추가되면서 접촉하중의 분포가 변화되는 특성과 관련된다. 주파수 성분들은 롤러나 볼 직경 오차에 따른 베어링 진동 주파수 분석관련 문헌에 보고된 것과 일치하는 결과를 나타낸다.2,4
3.3 테이퍼 각오차에 의한 TRB 피로 수명 변화
Fig. 11은 테이퍼 롤러의 각오차가 있는 TRB에 대한 무차원피로 수명을 보여준다. 테이퍼 롤러의 각오차가 있을 때 롤러의 접촉하중이 급격하게 증가하기 때문에 피로 수명에 큰 영향을 미치는 것을 볼 수 있다. 이미 살펴본 바와 같이, 롤러의 형상오차는 롤러들 사이에 불균일한 하중분포를 발생시키기 때문에 베어링의 피로 수명이 단축된다. 롤러의 직경 오차에 의한 피로수명에서도 이와 유사한 결과를 확인한 바 있다.13 그러나 직경오차가 양의 오차를 갖는 경우 음의 값에 비해 상대적으로 더 큰 수명 감소를 발생시켜 비대칭적인 변화를 발생시키는 것과는 달리 각오차에 의해서는 음의 값과 양의 값에 의한 차이가 나타나고 있지 않음을 볼 수 있다.
Fig. 11

Non-dimensional fatigue life of TRB with a defective roller having taper angle error (Fx = Fy = 1 kN)

KSPE_2021_v38n5_373_f011.jpg
롤러에 테이퍼 각오차가 있는 TRB의 피로 수명에 대해 통계적 특성을 조사하기 위해 테이퍼 롤러 각오차값에 대한 표준편차를 변경시키면서 매번 10,000회 시뮬레이션을 수행하여 피로 수명을 계산하였다. 테이퍼 각오차 표준편차 범위는 0.35-0.5 mrad으로 선택하였고, 축 방향 하중과 경방향 하중은 1 kN으로 일정하게 유지하였다.
Fig. 12는 피로 수명의 카이 제곱 분포 검정을 위해 계산된 검정 통계량을 보여준다. 피로 수명 확률분포를 적절히 표현하기 위한 분포함수를 확인하기 위해 직경 오차에 대한 분석과 마찬가지로 3가지 확률분포함수 즉, 정규분포, Weibull 분포, 그리고 Gamma 분포를 고려하였다. 시뮬레이션 결과로부터 표준편차 범위에 따라 적용 가능한 분포함수가 달라지는 것을 알 수 있다.
Fig. 12

Goodness-of-fit test results for bearing fatigue life

KSPE_2021_v38n5_373_f012.jpg
Fig. 12로부터 1.5 mrad 이하의 작은 값에서는 Weibull 분포가, 1.1-2.3 mrad의 범위에서는 정규분포가, 1.9 mrad 이상의 큰 표준편차에서는 감마분포가 피로 수명을 적절하게 표현할 수 있음을 알 수 있다. 실제 대량 생산되는 베어링들의 제조오차는 공개되지 않지만 롤러의 테이퍼 각오차가 통상의 결합 각오차 범위로 제시되는 1 mrad 이하의 값을 가질 것으로 추정되므로 Weibull 분포를 이용한 피로 수명 예측이 유용할 것으로 판단한다. 여기서 1개의 테이퍼 롤러의 각오차만을 고려하여 통계적 분석을 하였지만, 모든 롤러에 대한 각오차를 고려한 경우에도 누적되는 효과가 나타나지만 동일한 양상의 통계적 특성을 보일 것으로 예상한다.13
이상 얻어진 통계적 특성을 보면 직경 오차에서 확인된 결과13와 적용 범위에서 약간의 차이가 있을 뿐 동일한 양상을 보임을 알 수 있다. 결국 직경 오차와 각오차로 대표되는 테이퍼 롤러 형상오차에 의한 피로 수명의 통계적 특성이 전체적으로 유사하게 나타나고 있음을 알 수 있다. 한편, 내륜이나 외륜의 형상오차도 롤러들의 하중분포를 변경시켜 피로 수명을 낮추게 될 것으로 생각한다. 본질적으로 롤러 형상오차와 유사한 통계적 특성을 보일 것으로 추정하며, 이에 대한 추가적 연구도 의미가 있을 것으로 판단한다.
본 논문에서는 테이퍼 롤러의 각오차가 강성, 회전오차 및 피로 수명과 같은 TRB 주요 특성에 미치는 영향에 대해 조사하였다. 이를 위해 모델링 및 시뮬레이션을 통해 테이퍼 각오차가 있을 때의 TRB 특성 변화를 검토하였다. 또한 테이퍼 롤러 각오차를 갖는 TRB에 대한 피로 수명의 통계적 분석 결과를 도출하였다. 연구를 통해 다음과 같은 결론을 얻을 수 있었다.
(1) 테이퍼 롤러의 각오차에 의해 TRB의 회전 중 강성이 변화하며 평균 강성과 피로 수명이 감소한다.
(2) 테이퍼 롤러의 각오차에 의해 롤러에 작용하는 하중분포가 변화하며 이로 인해 TRB에 각 어긋남이 발생한다.
(3) 테이퍼 롤러에 각오차가 있는 TRB에서 축 방향 하중만 적용된 경우에는 롤러의 공전 주파수로 진동하고, 경방향 및 축방향 하중이 동시에 가해진 경우 롤러의 공전 주기의 고조파 성분 주파수로 진동한다.
(4) 롤러 테이퍼 각오차에 따른 피로 수명은 오차의 범위에 따라 작은 오차값에서는 Weibull 분포, 큰 오차값에서는 Gamma 분포, 그리고 중간값에서는 정규분포를 나타낸다.
(5) 대량 생산되는 TRB에 대해 테이퍼 롤러 각오차에 따른 피로 수명의 통계적 특성은 Weibull 분포로 표현하는 것이 적절하다.
(6) 테이퍼 롤러 각오차에 따른 피로 수명의 통계적 분석 결과는 베어링 설계와 제조에 기여할 수 있을 것으로 기대한다.
본 연구는 금오공과대학교의 연구비 지원으로 수행하였습니다(No. 202001440001).
A1. 테이퍼 롤러 베어링 모델링

A1.1 TRB 모델링 개요

A1장은 롤러와 레이스 사이의 접촉력 및 강성을 얻기 위해 TRB를 모델링하는 방법을 설명한다. 본 모델은 de Mul 등19,20이 제안한 5 DOF 베어링 모델을 확장하여 얻어진 것으로 세부적인 내용은 Refs. 910을 참조한다.

A1.2 좌표계

베어링 모델링을 위해서 Fig. 13과 같이 글로벌 좌표계(x, y, z)를 도입한다. 이 좌표계에서 z축은 베어링 회전축이고, x축은 수직이며 롤러 중심을 통과한다. y축은 베어링의 수평 방향이다. TRB의 내륜에 외부 하중 벡터 {F} = {Fx, Fy, Fz, Mx, My}로 인한 변위 벡터 {δ} = {δx, δy, δz, γx, γy}가 작용된다.
Fig. 13

Local coordinate systems; loads and displacements

KSPE_2021_v38n5_373_f013.jpg
간편한 모델링을 위해 Fig. 13에서 예시된 직교좌표계와 동일한 원점을 공유하는 (r, ϕ, z)의 원통형 좌표계가 도입된다. r-z평면은 롤러의 중심을 통과하고, r축은 양의 y 방향으로 ϕ 각도로 기울어진다.
롤러 중심이 베어링 축과 각도 κ만큼 기울어져 있기 때문에 쉬운 분석을 위해 보조 로컬 좌표계(ξ, ζ, η)를 사용한다. 축 x는 롤러의 유효 접촉 길이를 2개의 동일한 섹션으로 분할하고, 롤러 중심선과 일치하는 축 ζ에 수직이다. η축은 평면에 (r, z) 수직이다.

A1.3 TRB 평형방정식 및 강성

베어링 특성은 롤러 평형방정식과 내륜에 대한 전역 평형방정식의 두 가지를 이용하여 계산한다. 롤러 변위 {vκ}T= {vξ, vζ, ψ}를 도출하려면 롤러 평형방정식이 필요하며, 전역 평형방정식의 미지수는 내륜의 변위인 {δ} = {δx, δy, δz, γx, γy}이다.
Fig. 14에 표시된 롤러의 자유물체도에서 롤러의 평형방정식을 쉽게 구할 수 있다.
(10)
Fr=Qi-Qecosε+Qfsinμ0+Fccosκ-Qi+Qesinε+Qfcosμ0-FcsinκMi-Me+Qfζcssinμ-Fcζccosκ-Mg=000
Fig. 14

Free body diagram of a roller

KSPE_2021_v38n5_373_f014.jpg
여기서 QiQe는 각각 롤러와 내부 및 외부 레이스 사이의 접촉력을 나타낸다. η축에 대한 모멘트는 MiMe 로 표시된다. 이러한 힘과 모멘트는 슬라이싱 기법을 사용하여 결정한다. 롤러 접촉 길이는 ns개의 슬라이스로 나누고, 각 슬라이스와 함께 접촉력을 평가한다.
(11)
qk=cδk109Δlk;δk>0
여기서 c는 접촉 상수, δk 및 Δlk는 각각 접촉 압축량 및 k번째 슬라이스의 길이를 나타내며 다음 식(11)과 같이 쓸 수 있다.
(12)
c=11.24×10-5lw19
(13)
δk=δa-hk
여기서 δa(a = i, e)는 병진 변위로 인한 롤러 및 레이스 사이의 접촉 압축량을 나타낸다. hk는 롤러 프로파일로 인한 접촉 간격을 나타낸다. 따라서 총 접촉력과 모멘트는 다음 식(14)식(15)와 같다.
(14)
Q=k=1nsqk
(15)
M=k=1nsqklk
롤러 끝과 내륜 플랜지 사이의 접촉력 Qf는 평면 플랜지와 구면 롤러 끝 사이의 Hertz 접촉 공식에 의해 다음 식(16)과 같이 계산된다.
(16)
Qf=cfδf32
상수 cf는 롤러 끝 구형의 반경에 따라 달라진다. df는 롤러 끝과 플랜지 사이의 압축량이다. 롤러 평형방정식을 풀기 위해서 반복해법인 Newton-Raphson 방법을 사용한다. Newton-Raphson 방법의 알고리즘은 아래와 같은 식(17)을 통해 계산한다.
(17)
Fr+Jrνκ=0
여기서 계산 과정에서 증가분{△vκ}은 허용 오차값과 비교하여 수렴 여부를 결정한다. [Jr]은 {vκ}에 대해 {Fr}의 미분을 취하여 얻은 롤러 방정식의 자코비안 행렬로 다음 식(18)과 같이 나타낼 수 있다.
(18)
Jr=FrνκT
롤러 평형방정식을 계산 후 각 롤러에서 내륜의 접촉하중은 다음 식(19)와 같이 구한다.
(19)
Qκ=-Qicosε-Qfsinμ0Qisinε-Qfcosμ0-Mi-Qfζcssinμ
전역 좌표계 하중으로 변환하면 다음 식(20)과 같다.
(20)
f=RΦTκTQκ
여기서, [] 및 [κ]는 변환 행렬을 나타낸다. 모든 등가 하중과 외력의 합산, 내륜의 전역 평형방정식은 다음 식(21)과 같이 표현한다.
(21)
Fb=F+j=1zfj=0
여기서 Z는 롤러 수를 나타낸다. 전역 방정식은 롤러 방정식과 같이 비선형이다. 따라서 반복적인 Newton-Raphson 방법은 다음 식(22)와 같이 활용한다.
(22)
Fb+Jδ=0
자코비안 행렬 [J]는 다음 식(23)과 같다.
(23)
J=FbδT
롤러 방정식과 유사하게 얻은 오차인 {△δ}를 지정된 공차와 비교하여 수렴 여부를 평가하고, 수렴될 때까지 반복 계산을 수행한다.

A2. 통계분석을 위한 확률분포함수

통계적 분석에 널리 사용되는 Weibull 분포함수와 Gamma 분포를 대상으로 테이퍼 각오차와 피로 수명과의 관계에 대한 적합성을 검토하였다. Weibull 분포와 Gamma 분포의 확률밀도함수는 각각 다음 식(24)식(25)와 같다.
(24)
wλ=βαλαβ-1e-λαβ
(25)
gλ=αβλβ-1e-λαΓβ
여기서, Γ(β)는 다음 식(26)과 같이 나타낼 수 있다.
(26)
Γβ=λβ-1e-tdt
여기서 αβ 분포함수의 척도모수와 형상모수를 나타낸다.
  • 1.
    Hong, S. W. and Tong, V. C., “Rolling-Element Bearing Modeling: A Review,” International Journal of Precision Engineering and Manufacturing, Vol. 17, No. 12, pp. 1729-1749, 2016.
    10.1007/s12541-016-0200-z
  • 2.
    Sunnersjö, C., “Rolling Bearing Vibrations-The Effects of Geometrical Imperfections and Wear,” Journal of Sound and Vibration, Vol. 98, No. 4, pp. 455-474, 1985.
    10.1016/0022-460X(85)90256-1
  • 3.
    Tong, V. C. and Hong, S. W., “Study on the Stiffness and Fatigue Life of Tapered Roller Bearings with Roller Diameter Error,” Proceedings of the Institution of Mechanical Engineers, Part J: Journal of Engineering Tribology, Vol. 231, No. 2, pp. 176-188, 2017.
    10.1177/1350650116649889
  • 4.
    Upadhyay, S., Jain, S., and Harsha, S., “Non-Linear Vibration Signature Analysis of a High-Speed Rotating Shaft due to Ball Size Variations and Varying Number of Balls,” Proceedings of the Institution of Mechanical Engineers, Part K: Journal of Multi-Body Dynamics, Vol. 223, No. 2, pp. 83-105, 2009.
    10.1243/14644193JMBD187
  • 5.
    Chen, G., Wang, B., and Mao, F., “Effects of Raceway Roundness and Roller Diameter Errors on Clearance and Runout of a Cylindrical Roller Bearing,” Proceedings of the Institution of Mechanical Engineers, Part J: Journal of Engineering Tribology, Vol. 227, No. 3, pp. 275-285, 2013.
    10.1177/1350650112462312
  • 6.
    Harsha, S., Sandeep, K., and Prakash, R., “Non-Linear Dynamic Behaviors of Rolling Element Bearings due to Surface Waviness,” Journal of Sound and Vibration, Vol. 272, Nos. 3-5, pp. 557-580, 2004.
    10.1016/S0022-460X(03)00384-5
  • 7.
    Su, Y. T., Lin, M. H., and Lee, M. S., “The Effects of Surface Irregularities on Roller Bearing Vibrations,” Journal of Sound and Vibration, Vol. 165, No. 3, pp. 455-466, 1993.
    10.1006/jsvi.1993.1270
  • 8.
    Tamura, A., “On the Vibrations Caused by Ball Diameter Differences in a Ball Bearing,” Bulletin of the Japan Society of Mechanical Engineers, Vol. 11, No. 44, pp. 229-234, 1968.
    10.1299/jsme1958.11.229
  • 9.
    Tong, V. C. and Hong, S. W., “Characteristics of Tapered Roller Bearing Subjected to Combined Radial and Moment Loads,” International Journal of Precision Engineering and Manufacturing-Green Technology, Vol. 1, No. 4, pp. 323-328, 2014.
    10.1007/s40684-014-0040-1
  • 10.
    Tong, V. C. and Hong, S. W., “Fatigue Life of Tapered Roller Bearing Subject to Angular Misalignment,” Proceedings of the Institution of Mechanical Engineers, Part C: Journal of Mechanical Engineering Science, Vol. 230, No. 2, pp. 147-158, 2016.
    10.1177/0954406215578706
  • 11.
    Dragoni, E., “Optimal Design of Tapered Roller Bearings for Maximum Rating Life under Combined Loads,” Mechanics & Industry, Vol. 18, No. 1, p. 112, 2017.
    10.1051/meca/2016025
  • 12.
    Tong, V. C. and Hong, S. W., “The Effect of Angular Misalignment on the Running Torques of Tapered Roller Bearings,” Tribology International, Vol. 95, pp. 76-85, 2016.
    10.1016/j.triboint.2015.11.005
  • 13.
    Tong, V. C. and Hong, S. W., “Statistical Investigation into the Effects of Distributed Roller Diameter Error on the Fatigue Life of Tapered Roller Bearings,” Journal of Mechanical Science and Technology, Vol. 31, No. 12, pp. 5977-5985, 2017.
    10.1007/s12206-017-1142-9
  • 14.
    DD ISO/TS 16281, “Rolling Bearings. Methods for Calculating the Modified Reference Rating Life for Universally Loaded Bearings,” 2008.
  • 15.
    Bendat, J. S. and Piersol, A. G., “Random Data: Analysis and Measurement Procedures,” John Wiley & Sons, 4th Ed., 2011.
    10.1002/9781118032428
  • 16.
    Ang, A. H. S. and Tang, W. H., “Probability Concepts in Engineering: Emphasis on Applications to Civil and Environmental Engineering,” Wiley, 2nd Ed., 2007.
  • 17.
    Genc, A., Erisoglu, M., Pekgor, A., Oturanc, G., Hepbasli, A., et al., “Estimation of Wind Power Potential Using Weibull Distribution,” Energy Sources, Vol. 27, No. 9, pp. 809-822, 2005.
    10.1080/00908310490450647
  • 18.
    Stevens, M. and Smulders, P., “The Estimation of the Parameters of the Weibull Wind Speed Distribution for Wind Energy Utilization Purposes,” Wind Engineering, Vol. 3, No. 2, pp. 132-145, 1979.
  • 19.
    Harris, T. A., “Rolling Bearing Analysis,” John Wiley and Sons, 4th Ed., 2001.
  • 20.
    de Mul, J., Vree, J., and Maas, D., “Equilibrium and Associated Load Distribution in Ball and Roller Bearings Loaded in Five Degrees of Freedom while Neglecting Friction-Part II: Application to Roller Bearings and Experimental Verification,” Vol. 111, No. 1, 1989.
    10.1115/1.3261865
Hyeon-Il Oh
KSPE_2021_v38n5_373_bf001.jpg
Ph.D. candidate in the Department of Mechanical System Engineering, Kumoh National Institute of Technology. His research interest includes bearing modeling and analysis, and acoustic analysis of speaker systems.
Van-Canh Tong
KSPE_2021_v38n5_373_bf002.jpg
Senior Researcher in Samsung Display, Vietnam. His research interest includes modeling and analysis of spindle-bearing systems.
Seong-Wook Hong
KSPE_2021_v38n5_373_bf003.jpg
Professor in the Department of Mechanical System Engineering, Kumoh National Institute of Technology. His current research interest includes modeling and analysis of spindle and bearing, command shaping for positioning systems, and structural vibration analysis for mechanical system.

Download Citation

Download a citation file in RIS format that can be imported by all major citation management software, including EndNote, ProCite, RefWorks, and Reference Manager.

Format:

Include:

Effect of Tapered Roller Angle Error on the Characteristics of Tapered Roller Bearing
J. Korean Soc. Precis. Eng.. 2021;38(5):373-381.   Published online May 1, 2021
Download Citation

Download a citation file in RIS format that can be imported by all major citation management software, including EndNote, ProCite, RefWorks, and Reference Manager.

Format:
Include:
Effect of Tapered Roller Angle Error on the Characteristics of Tapered Roller Bearing
J. Korean Soc. Precis. Eng.. 2021;38(5):373-381.   Published online May 1, 2021
Close

Figure

  • 0
  • 1
  • 2
  • 3
  • 4
  • 5
  • 6
  • 7
  • 8
  • 9
  • 10
  • 11
  • 12
  • 13
Effect of Tapered Roller Angle Error on the Characteristics of Tapered Roller Bearing
Image Image Image Image Image Image Image Image Image Image Image Image Image Image
Fig. 1 Geometry of roller with and without taper angle error
Fig. 2 TRB model with loading and displacement
Fig. 3 Rollers-inner raceways contact load distributions (Fx = 1 kN, Fy = 0 N)
Fig. 4 TRB misalignment according to tapered roller angle error (Fx = 1 kN, Fy = 0 N)
Fig. 5 Comparison of defective roller-flange contact load distributions for roller diameter error and roller taper angle error (Fx = 1 kN, Fy = 0 N)
Fig. 6 Defective roller-inner/outer ring moment load (Fx = 1 kN, Fy = 0 N)
Fig. 7 Stiffness of TRB under combined loads with a defective roller (Fx = Fy = 1,000 N)
Fig. 8 Roller-inner race contact load for TRB under combined loads with a defective roller (Fx = Fy = 1 kN)
Fig. 9 Defective roller-inner raceway contact load distributions for TRB under combined loads (Fx = Fy = 1 kN, n = 1 krpm); (a) Tapered roller angle error: Δθr = 1 mrad, and (b) Tapered roller angle error: Δθr = -1 mrad
Fig. 10 Frequency spectrums of TRB radial displacement with a defective roller for tapered roller angle error of Δθr = 1 mrad
Fig. 11 Non-dimensional fatigue life of TRB with a defective roller having taper angle error (Fx = Fy = 1 kN)
Fig. 12 Goodness-of-fit test results for bearing fatigue life
Fig. 13 Local coordinate systems; loads and displacements
Fig. 14 Free body diagram of a roller
Effect of Tapered Roller Angle Error on the Characteristics of Tapered Roller Bearing

Basic parameters of simulated bearing: TRB 30212-A

Parameter Symbol Value
Bore diameter [mm] a 60
Outside diameter [mm] D 110
Total width [mm] B 23.75
Number of rollers z 19
Pitch diameter [mm] dm 84.12
Nominal roller mean diameter [mm] Da 13
Table 1 Basic parameters of simulated bearing: TRB 30212-A