Skip to main navigation Skip to main content
  • E-Submission

JKSPE : Journal of the Korean Society for Precision Engineering

OPEN ACCESS
ABOUT
BROWSE ARTICLES
EDITORIAL POLICIES
FOR CONTRIBUTORS
SPECIAL

보행 중 신경근 반응을 이용한 뇌졸중 편마비 환자의 하지 운동 장애 평가

Evaluation of Lower Extremity Motor Impairment in Post-Stroke Hemiplegic Patients Using Neuromuscular Response during Gait

Journal of the Korean Society for Precision Engineering 2022;39(9):647-655.
Published online: September 1, 2022

1 한국과학기술연구원 바이오·메디컬융합연구본부 바이오닉스연구센터

2 고려대학교 의과대학 의과학과

3 고려대학교 바이오의공학부

1 Center for Bionics, Biomedical Research Division, Korea Institute of Science & Technology

2 Department of Biomedical Science, College of Medicine, Korea University

3 School of Biomedical Engineering, Korea University

#E-mail: sjkim586@korea.ac.kr, TEL: +82-2-2286-1457E-mail: iyoun@kist.re.kr, TEL: +82-2-958-5913
• Received: May 31, 2022   • Revised: July 29, 2022   • Accepted: August 3, 2022

Copyright © The Korean Society for Precision Engineering

This is an Open-Access article distributed under the terms of the Creative Commons Attribution Non-Commercial License (http://creativecommons.org/licenses/by-nc/3.0) which permits unrestricted non-commercial use, distribution, and reproduction in any medium, provided the original work is properly cited.

  • 4 Views
  • 0 Download
prev next
  • The understanding of impaired neural control of gait after stroke is important to evaluate mobility impairments focused on improving walking function. Previous studies have shown that the central nervous system may control gait via muscle synergies, which modularly organizes multiple muscles. However, there are insufficient studies to evaluate mobility impairments, using muscle synergy during walking in post-stroke patients. Thus, the purpose of this study was to determine if the variability of muscle synergies during gait reflects impaired motor performance. Electromyography (EMG) signals were collected from five persons with post-stroke hemiparesis and five similarly age healthy persons, as they walked on a treadmill at a comfortable speed. EMG signals were decomposed using non-negative matrix factorization and the variability of muscle synergies was calculated using a synergy stability index (SSI). We also investigated correlation between the SSI and Fugl-Meyer assessment and Berg Balance Scale, which are clinical evaluation indicators. Post-stroke patients were found to have variable muscle synergies. We also observed a positive proportional relation, between SSI and clinical motor impair evaluation indicators. These results could yield a quantitative assessment of gait after stroke, and provide a causal relationship between internal neuromuscular mechanisms and functional performance.
뇌졸중은 전 세계인의 사망 원인 2위이며 신체 장애를 유발하는 주된 원인이다[1]. 뇌졸중이 발병하면 편마비와 같은 신체장애를 동반하기 때문에 뇌졸중 환자들은 일상생활에서 낙상과 같은 위험에 항상 노출되어 있다[2,3]. 뇌졸중으로 인한 운동조절 장애, 비정상적인 근 긴장도 및 감각 이상은 비대칭 자세와 같은 문제를 유발하여 환자의 보행 및 균형 능력에 직접적인 영향을 미치게 된다[4]. 낙상이나 골절 등의 추가적인 위험을 예방하기 위해 뇌졸중 재활에 있어 정확한 운동 능력 평가를 수행하는 것이 매우 중요하다. 기존에 임상에서 보행 평가에 사용되는 방법인 Timed Up and Go (TUG)와 10 Meter Walking Test (10MWT)는 보행 속도나 육안으로 보여지는 동작을 바탕으로 한 기능적 지표에 초점을 두고 있다[5,6]. 뇌졸중 환자의 효과적인 맞춤형 치료를 위해서는 환자 개인별 장애를 이해하는 것이 중요하며, 이를 위해서는 운동학적 지표뿐만 아니라 신경근 조절 활성을 평가할 수 있는 새로운 도구를 찾는 것이 필요하다.
Fig. 1

EMG setup on a participant and walking on forceplates mounted treadmill

KSPE_2022_v39n9_647_f001.jpg
신경근 조절 활성도를 평가하기 위한 기존의 연구들은 보행 시 활성화된 개별 근육 분석을 기반으로 진행되었다[7]. 그러나 인간의 신경계는 모든 근육을 개별적으로 제어하는 것이 아니라 보행 시 함께 작용하는 근육 세트를 제어하며 이를 근육 시너지라고 한다[8,9]. 근육 시너지를 통한 모듈식 신경근 조절은 근육 조절에 내재된 협응력의 지표로 널리 받아들여지고 있으며, 보행 불균형 정도를 측정하기 위해 운동학적 측정 지표와 근육 시너지를 결합하여 사용하기도 하였다[10]. 그 결과 더 적은 수의 근육 모듈을 가질수록 보행 속도 저하와 같이 보행 성능에 영향이 있음을 확인하였다.
본 연구에서는 만성 뇌졸중 환자와 건강인의 보행 중 하지 근전도를 측정한다. 이로부터 근육 시너지의 보행 주기 별 변동성을 추출하는 방법을 제시한다. 또한 기존에 임상에서 사용되는 운동기능 평가 지표와의 상관성을 분석하고자 한다. 본 연구의 주된 목적은 보행 시 나타나는 근육 시너지의 변동성이 손상된 운동 성능을 평가하기 위한 생체역학적 지표로 사용할 수 있는지 밝히는 것이다. 이를 통해 뇌졸중 환자의 보행에 대한 정량적 평가를 제시할 수 있고, 내부 근신경계 메커니즘과 운동기능 간의 인과관계에 대한 실험적 증거를 나타낼 수 있다.
2.1 연구 대상자
과거 신경계 혹은 근골격계 질환을 앓고 있지 않은 건강한 고령자 5명(74-78세)과 만성 뇌졸중 환자 5명(49-71세)이 실험에 참여하였다. 만성 뇌졸중 환자의 모집 기준은 뇌졸중 발병 이후 6개월 이상 지났으며 보조기구 없이 독립 보행이 가능한 지원자로 제한하였다. 또한 안정상태에서 혈압이 90/60에서 170/90 mmHg 범위를 벗어난 경우와 심한 통증 및 소통 불능인 경우를 배제하는 기준으로 삼았다. Table 1에 각 참여자에 대한 신체조건을 나타내었다. 연구참여자들은 한국과학기술연구원생명윤리 심의위원회에서 승인한 절차에 따라 사전에 동의를 하였으며, 실험 윤리에 의거하여 모든 실험을 수행하였다(IRB 2021-015).
Table 1

Clinical characteristics of the participants

Table 1
Number Sex Age Height [cm] Weight [kg] Stroke onset [year] Paretic side
Healthy participants
H01 Male 75 161 79.3 - -
H02 Male 78 168 50 - -
H03 Male 77 160.6 66.3 - -
H04 Male 77 165.5 63.2 - -
H05 Male 74 165 70.4 - -
Average±SD - 76.2±1.47 164.02±2.82 65.84±9.59 - -
Post-stroke participants
S01 Female 62 160.5 48 3 Left
S02 Female 57 178 53.1 16 Left
S03 Male 49 173 70 10 Left
S04 Male 71 163.5 72.9 24 Left
S05 Male 68 175 81 9 Left
Average±SD - 61.4±7.86 170±6.79 65±12.44 12.4±7.12 -
2.2 실험 셋업 및 디자인
연구참여자가 선호하는 보행 속도로 트레드밀 위에서 자연스럽게 보행하도록 하였다. 트레드밀은 Motek 사의 장비(CAREN, Motek, Amsterdam, Netherland)를 사용하였고, 연구참여자의 보행 속도에 맞게 실험자가 트레드밀의 속도를 조절하였다. 보행 시작 전 트레드밀의 속도에 적응하도록 2분 정도 연습 과정을 가졌다. 보행 중 낙상의 위험을 방지하기 위하여 하네스를 착용한 상태로 실험을 진행하였다. 건강인의 경우 평균 0.69, 만성 뇌졸중 환자들은 평균 0.22 m/s의 속도로 보행을 수행하였다. 보행은 총 1분씩 수행하였으며 처음과 끝부분을 제외한 중간 30 steps 데이터를 분석에 사용하였다.
2.3 보행 데이터 수집
근전도 신호를 수집하기 위하여 양쪽 다리에 각각 4개의 무선 근전도 센서(Delsys Trigno Avanti, Delsys Inc., MA, USA)를 부착하였다. 센서 부착 위치는 Rectus Femoris (RF), Tibialis Anterior (TA), Gastrocnemius Lateral (GL), Soleus (SOL)이다. 근전도 센서 부착 위치는 SENIAM을 참고하였다[11]. 근전도 신호는 2,000 Hz의 샘플링 레이트로 측정하였고 보행 중 이탈을 방지하기 위하여 센서 겉면에 테이핑을 하였다. 보행 중 운동학적 데이터는 모션 캡처 시스템(VICON, Oxford, UK)으로 측정하였다. 마커의 위치는 하지 모델용 Plug-In Gait 마커셋의 위치에 따라 17개의 마커를 부착하였다. 트레드밀에 힘판(Forceplate)이 내장되어 있어 보행을 할 때마다 발꿈치닫기 기준으로 보행 주기를 나누었다.
2.4 근전도 신호를 통한 근육 시너지 계산
근전도 신호는 20-500 Hz 주파수 대역 사이에서 4차 밴드 패스 필터링(Zero-Lag Butterworth Band-Pass Filter)을 통한 노이즈 제거를 하였다. 이후 평균 차분을 하였고 정류(Full-Wave Rectification)하였다. 이후 4차 저역 통과 필터(Zero-Lag Butterworth Low-Pass Filter)를 10 Hz의 컷오프 주파수대로 수행하였다. 근전도 신호를 100 Hz 주파수로 리샘플링(Resampling)을 수행하였으며 각 근육의 근전도 신호 최댓값을 기준으로 정규화하였다. 전처리된 근전도 신호를 보행 주기별로 나누어 포락선(Envelope)을 계산하였다.
근육 시너지는 Fig. 2와 같이 비음수 행렬분해(Non-Negative Matrix Factorization, NNMF) [12]를 이용하여 계산하였다. 근육 시너지는 각 피험자 별로 4(근육 4개) × 3,000(100 Hz × 30보행) 행렬 크기로 구성된 근전도 데이터셋에서 추출하였다. 비음수 행렬분해를 이용하여 근전도 행렬 M은 Synergy Weights를 나타내는 W와 Activation Signals를 나타내는 H로 분해되며 다음 식(1)과 같이 나타낼 수 있다.
(1)
M=WH+e
Fig. 2

Schematic of the EMG reconstruction example using a combination of muscle synergy weights and activation signals

KSPE_2022_v39n9_647_f002.jpg
M은 근육 시너지의 선형조합[13]으로 m × t 행렬로 구성되며 m은 근육의 숫자이고 t는 샘플 개수이다. Wm × n의 크기를 가지며 n은 근육 시너지 개수이다. Hn × t 크기의 행렬이며 e는 잔차 오류를 의미한다.
최적의 근육 시너지 개수는 1개에서 3개까지의 시너지를 가질 경우를 반복 계산하였고 재건된 근전도 신호가 근전도 원신호와 얼마나 잘 매칭되는지를 기준으로 삼았다. 재건된 근전도가 원신호와 얼마나 잘 매칭되는지 나타내는 정확도는 Variance Accounted For (VAF)로 계산하였다. 비음수 행렬분해 계산 시 국소 최저점에 빠지는 위험을 고려하여 1-3개의 시너지 개수에 따라 20회 반복 수행하였고 모든 경우의 VAF도 계산하였다. 반복 결과 중 VAF가 가장 높은 경우를 채택하였다. 최소 근육 시너지 개수는 VAF > 95%를 만족하며, 시너지 개수 증가 시 5% 미만으로 VAF가 증가할 때의 개수로 선정하였다[14,15].
2.5 개인간 차이 평가
보행 시마다 근육 시너지의 변동성을 측정하기 위해 Synergy Stability Index (SSI) [16]를 계산하였다. 연구참여자별로 30회의 보행마다 근육 시너지를 계산하였고, 보행 회차별 상관성을 계산하여 보행에 따라 Synergy Weights를 나타내는 w가 변하는 정도를 측정하였다. 보행을 거듭할 때마다 계산되는 Synergy Weights가 변하기 때문에 일정하게 유지되는 정도를 Pearson 상관계수 r로 계산하였다. 다음 식(2)에 SSI 계산 방법을 나타내었다.
(2)
SSI=1Ki=1k2pp-1lqprwli,wqi
p는 보행 개수, k는 시너지 개수 그리고 wliwqi는 각각 l번째와 q번째 보행을 나타내며 i번째 시너지의 Weight이다. 피어슨 상관계수는 아래 식(3)과 같이 계산하였다. x, y는 각각 다른 두 벡터이고 x¯y¯는 평균이며 S는 표준편차를 나타낸다.
(3)
rx,y=j=1mxj-x¯yj-y¯mSxSy
계산된 SSI는 뇌졸중 환자 임상평가에 사용되는 지표인 Fugl-Meyer Assessment (FMA)와 Berg Balance Scale (BBS)과의 상관관계를 분석하였다. FMA는 뇌졸중 환자의 감각기능, 관절 운동능력, 통증 등의 평가 항목으로 구성되며[17] 본 연구에서는 하지 운동기능 평가에 해당하는 FMA-LE 점수를 측정하였다(최대 34점). BBS는 균형 능력을 평가하는 항목으로 구성되어있으며[18] 동적 동작으로 구성된 6가지 항목의 점수(최대 24점)를 측정하였다. 평가자 간 편차를 최소화하기 위하여 한 명의 물리치료사가 평가를 수행하였다.
2.6 통계적 분석
연구참여자 그룹별 Synergy Weights를 비교하기 위하여 비모수적 검정 방법인 Wilcoxon Signed-Rank Test를 사용하였다. Kolmogorov-Smirnov 테스트로 정규성을 가지는지 확인하였지만 모든 케이스에서 정규성을 만족시키지 않았다.
그룹별 Activation Signals의 차이를 분석하기 위하여 보행 주기를 20개의 시간 포인트(1-5, 6-10, …, 96-100%)로 나누고 각각의 Bin을 평균하였다. 만성 뇌졸중 환자의 환측과 건측, 그리고 환측과 건강인의 근육 시너지를 비교하기 위하여 각각의 시간 포인트들을 비모수적 통계방법인 Paired Permutation Test로 비교하였다. 이때 계산된 p값을 False Discovery Rate (FDR)로 이용하여 1종 오류를 줄이고 가설검정의 신뢰도를 높였다[19].
3.1 근육 시너지
Fig. 3은 근육 시너지 개수에 따른 VAF를 보인다. 만성 뇌졸중 환자의 환측 다리의 시너지 개수는 2.6±0.49, 건측 다리는 2.8±0.40, 건강인은 3.0±0.44로 계산되었다. 건강인이 상대적으로 많은 수의 근육 모듈 활성화를 가졌지만 통계적으로 유의한 차이는 나타나지 않았다. Figs. 4(a)는 만성 뇌졸중 환자의 환측과 건측에서 각각 계산된 Synergy Weight를, 4(b)는 Activation Signals를 보인다. 건측에 비해 환측에서 Synergy Weights의 연구대상자별 편차가 크게 나타났다.
Fig. 3

Individual (Blurred lines) and participant mean (Dark lines) of the percentage of Variability Accounted For (VAF). Dashed horizontal lines represents the threshold that determines the number of muscle synergies. (a) VAF of non-paretic and paretic legs, and (b) VAF of healthy participants

KSPE_2022_v39n9_647_f003.jpg
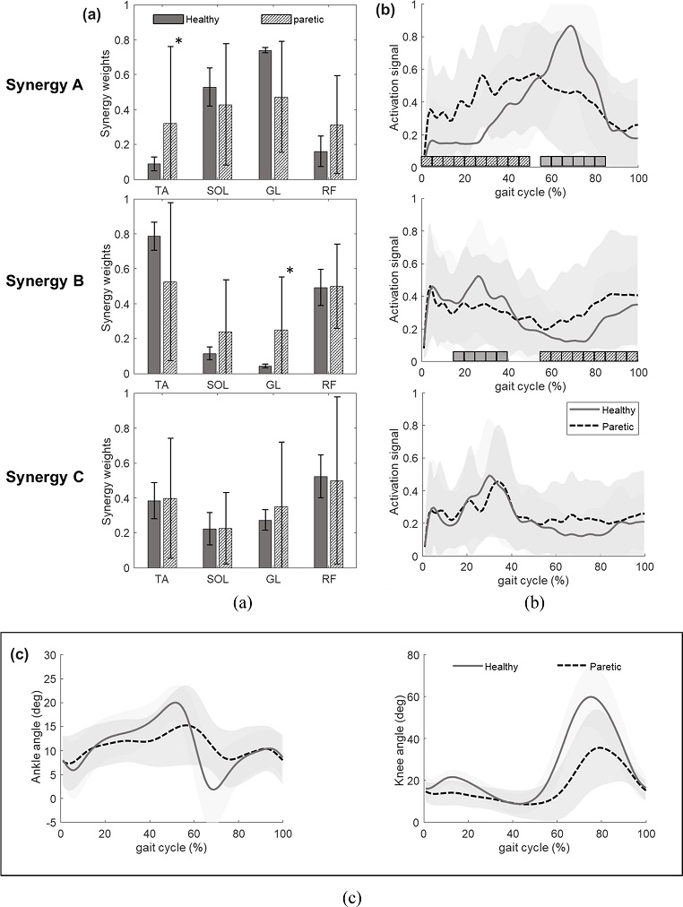
Fig. 4

Synergy weights (a) and activation signals (b) of non-paretic and paretic legs. (a) Asterisks indicate significant differences in the synergy weights (p < 0.05), (b) Red rectangles indicate timing when activation of paretic leg muscles was significantly larger than that of the non-paretic leg muscles. Blue rectangles indicate timing when activation of non-paretic leg muscles was significantly larger than that of the paretic leg muscles, and (c) Ankle and knee joint angles during gait

KSPE_2022_v39n9_647_f004.jpg
시너지 A에서는 주로 SOL과 GL이 환측과 건측에서 모두 활성화된 것을 나타내었고 환측의 TA (p < 0.05)와 RF도 활성화됨을 확인하였다. 부하 반응기인 보행 1-15 구간에서 환측이 더 큰 활성화를 보였으며, 흔듦기인 70-95% 구간에서는 건측이 더 큰 활성화를 나타내었다.
시너지 B에서는 양측 다리 모두 RF에서 활성화를 보였으며 환측에서는 두드러진 TA의 활성화(p < 0.05)를 나타내었다. 중간 디딤기에서 말기 디딤기로 전환되는 30% 구간 부근에서 건측의 시너지 활성이 가장 크게 나타났다.
시너지 C에서 건측의 TA 활성이 두드러지게 나타났다(p < 0.05). 부하 반응기와 말기 흔듦기 구간인 보행 1-20과 95-100% 구간에는 건측 시너지 활성화가 높았으며 나머지 구간에서는 환측 시너지의 활성화가 크게 관측되었다.
두 그룹 모두 발등쪽 굽힘의 발목 관절 각도 최댓값이 60% 부근에서 나타났다. 건강인이 보행 주기 40-50% 사이에서 최댓값을[20] 나타내는 데에 비해 늦은 각도 변화를 보였다. 처음 흔듦기 부근(62-75%)에서 양측 발목의 발바닥쪽 굽힘 각도 변화가 비슷한 범위 내에서 발생하였다.
Figs. 5(a)는 만성 뇌졸중 환자의 환측과 건강인의 우세 다리에서 각각 계산된 Synergy Weights를, 5(b)는 Activation Signals를 보인다. 건강인에 비해 환측에서 Synergy Weights의 연구대상자 별 편차가 크게 나타났다.
Fig. 5

Synergy weights (a) and activation signals (b) of healthy and paretic legs. (a) Asterisks indicate significant differences in the synergy weights (p < 0.05), (b) Red rectangles indicate timing when activation of paretic leg muscles was significantly larger than that of the healthy leg muscles. Green rectangles indicate timing when activation of healthy leg muscles was significantly larger than that of the paretic leg muscles, and (c) Ankle and knee joint angles during gait

KSPE_2022_v39n9_647_f005.jpg
시너지 A에서 건강인의 경우 SOL과 GL의 활성화 비중이 높았다. TA에서는 건측과 환측 비교 결과와 마찬가지로 건강인에 비해 환측이 유의하게 큰 활동 패턴을 나타내었다. 흔듦기 전에서 중간 흔듦기 구간인 55-85% 보행에서 건강인의 시너지 활성화가 높게 나타났다.
시너지 B에서는 건강인의 TA와 RF의 활성화가 높게 나타났고 GL 부위의 경우 환측에서 유의하게 큰 활성도를 보였다. 중간 디딤기에서 말기 디딤기까지의 구간(약 15-40%)에서 건강인의 시너지가 상대적으로 큰 활성을 보였고 흔듦기 구간에서는 환측 시너지의 활동이 크게 나타났다.
시너지 C에서는 모든 부위의 근육에서 유의한 차이가 발견되지 않았으며, 두 그룹 모두 말기 디딤기 구간(약 30-40%)에서 최대 시너지 활성화를 보였다.
발목 관절은 보행 40-60% 기간 중 빠르게 각도 감소를 보이지만 환측에서는 큰 변화를 보이지 않는다. 이 기간 동안의 발목관절의 움직임이 토크를 생성하여 밀기(Push Off)를 발생시킨다. 건강인의 무릎 관절은 초기 15% 구간에서 굽힘이 발생하고, 흔듦기에서 60o 정도로 굽힘을 보인다. 이에 반해 환측의 최대 굽힘은 40o 정도에 그친다.
3.2 임상평가와의 상관관계
근육 시너지 계산 결과 Fig. 4(a)와 같이 환측에서의 보행 별 편차가 크게 발생하였다. 이 결과를 바탕으로 연구대상자별로 SSI를 계산하여 결과를 Fig. 6에 나타내었다. Fig. 6(a)에 보행별 Synergy Weights의 변동성을 반영하는 SSI 결과는 만성 뇌졸중 환자의 환측에서 가장 낮은 수치를 기록하였다. SSI가 높을수록 보행별 변동성이 작고 높은 Synergy Weights별 상관관계를 가짐을 의미한다. 그에 반해 건강인의 경우 보행이 거듭되어도 상대적으로 일정한 Synergy Weights를 보이는 것을 확인하였다.
Fig. 6

(a) SSI of paretic, non-paretic and healthy leg, (b) Relation between SSI and FMA, with linear regression, and (c) Relation between SSI and BBS, with linear regression

KSPE_2022_v39n9_647_f006.jpg
Figs. 6(b)6(c)는 기존 임상에서 뇌졸중 환자들의 운동기능 평가 시 사용하는 지표들과 SSI의 관계성에 대해 분석한 결과이다. Fig. 6(b)에서 FMA와의 관계를 비교한 결과 높은 상관관계를 갖는 것으로 나타났다(r = 0.864, p-value = 3.15 × 10-6). Fig. 6(c)에서 BBS와의 상관관계를 분석한 결과 SSI와의 높은 상관성을 나타내었다(r = 0.809, p-value = 5.57×10-6).
본 연구의 주된 목적은 보행 시 나타나는 근육 시너지의 변동성이 손상된 운동 성능을 평가하기 위한 생체역학적 지표로 사용할 수 있는지 밝히는 것이다. 주목할 점은 첫째, 만성 뇌졸중 환자 하지 근육의 Synergy Weights가 보행에 따라 변동성이 심하고 건강인은 비교적 일정하다는 점에서 차이가 있다. 둘째, 기존에 임상에서 활용되는 운동기능 평가 지표들과 SSI가 유의미한 상관관계를 가지는 점이다.
시너지 A는 Figs. 4(a)5(a)와 같이 환측에서 건측과 건강인에 비해 유의하게 큰 TA의 활성화를 보였다. TA는 흔듦기 동안 발가락이 지면에 걸리지 않도록 발목의 발등쪽 굽힘을 생산한다. 하지만 Figs. 4(c)5(c)와 같이 보행 중 발목 관절의 각도 변화를 보면 환측의 발등쪽 굽힘 변화가 미미한 수준이다. TA가 활성화 되었음에도 불구하고 관절의 변화를 일으키지 않는 것은 경직으로 인해 항진된 근육의 긴장으로 해석이 가능하다. 보행 주기에 따른 근육 모듈의 활성화가 제때 이루어지지 않아 운동학적 변화로 이어지지 않았다.
Fig. 4(a)의 시너지 B는 건측에 비해 환측의 TA 활성도가 높았다. TA가 활성화된 구간인 20-80% 보행 주기에서 발등쪽 굽힘의 각도 변화가 크지 않은 것으로 보아 이 경우도 과한 근육의 긴장 상태라고 판단된다. RF의 활성도는 건측에서 유의하게 높게 관측되었다. 건측의 RF가 가장 활성화된 30-40% 구간은 반대쪽 다리인 환측의 흔듦기 구간을 가리킨다. 좌우가 불균형한 보행 패턴으로 인한 보상 작용으로 환측의 흔듦기 중 모든 체중 부하가 건측에 실리게 된다. 따라서 건측의 RF 활성화가 비교적 크게 나타난 것으로 생각된다.
Fig. 5(a)의 시너지 B는 건강인에 비해 환측의 GL 활성도가 높았다. GL은 발바닥쪽 굽힘 동작의 주요한 근육 중 하나이다. GL은 환측의 흔듦기 동안(55-100%) 활성도가 높게 나타났지만 발목 관절의 큰 변화를 발생시키지 않았다. 환측 GL의 경직으로 인한 과도하게 근육이 활성화된 결과로 해석 가능하다.
시너지 C는 Fig. 4(a)에서와 같이 건측의 TA 활성이 환측에 비해 유의한 차이를 보였다. 뇌졸중 환자들은 보행 중 환측의 불안정한 디딤기로 인한 보상 작용으로 건측의 흔듦기를 최대한 짧게 유지한다. 부하 반응기 중 발꿈치에 실리는 체중으로 인해 유발되는 발바닥쪽 굽힘을 감속시키기 위해 건측 TA의 활성을 유발한 것으로 볼 수 있다.
기존에 근전도 관련 보행 연구에서 단순 주동근과 길항근의 Co-Contraction이 뇌졸중 환자와 건강인 간의 유의한 차이를 보이지 않는다는 결과를 보였다[21]. 이와 다르게 개별 근육의 활성보다 시너지를 활용하여 만성 뇌졸중 환자와 건강인 간의 유의한 차이를 확인한 의미 있는 결과를 나타내었다. 뇌졸중 환자의 환측 근육 모듈의 사용이 건강한 대조군에 비해 더 적게 사용된다는 기존 연구[22]와 마찬가지로 본 연구에서 환측, 건측, 건강인 순으로 평균 2.6개, 2.8개, 3개의 시너지를 나타내었다. 근전도 신호를 취득한 근육이 한 다리에 4개에 그쳐 큰 차이를 보이지는 않았다. 4개 시너지 중 3개가 발목 관절의 동작에 관여하는 부위이다. 따라서 보행 시 무릎관절과 고관절의 동작에 주동근으로 사용되는 근육 그룹의 근전도를 사용하지 않은 것이 제한점으로 남는다. 후속 연구를 통해 보행 시 활성 되는 다양한 하지 근육의 시너지를 이용할 계획이다.
모션 캡처를 이용하여 보행 시 발생하는 하지 관절의 움직임 변화를 확인하였다. 만성 뇌졸중 환자는 보행 시 발목 관절의 발바닥쪽 굽힘이 충분히 이루어지지 않았다. 이 동작과 관련이 깊은 GL의 활성도가 흔듦기에서 상대적으로 부족함을 확인하였다. 보행 속도 및 좌우 불균형에 영향을 주는 밀기 동작에서 추진력을 얻지 못했을 것으로 파악된다. 흔듦기 동안의 발처짐 현상을 방지하기 위해 TA가 활성화된다. 환측의 모든 시너지에서 TA의 활성이 관측되었고, 그로 인해 발목 관절의 과도한 발등쪽굽힘이 발생하지 않았다. 흔듦기 동안에 일어나는 대부분의 무릎 굽힘은 장딴지근의 활성과 관련이 있다[23]. 건강인과 건측에 비해 낮은 GL의 활성을 보인 환측의 다리에서 무릎 굽힘이 작게 발생한 것과 관계가 있을 것으로 생각한다.
한편, 보행 속도에 따른 근육 시너지의 차이가 보고되고 있다. 매우 느린 보행 속도가 평상시 편한 보행 속도에 비해 더 적은 수의 근육 시너지를 사용하며[24] 또한 보행과 러닝 시에 사용되는 근육 시너지 간의 차이가 있다는 연구가 있었다[25]. 이번 연구에서는 연구참여자에게 평상시 보행 속도로 보행할 것을 요청하였고 건강인은 0.5-1, 만성 뇌졸중 환자는 0.12-0.4 m/s 속도로 보행하였다. 보행 속도의 차이에서 비롯된 근육 시너지의 변화가 있을 것으로 생각된다. 후속 연구에서는 연구참여자들의 보행 속도에 따른 영향을 최소화시킬 수 있는 방안을 고안하여 실험을 진행할 예정이다.
이 연구는 만성 뇌졸중 환자와 건강인의 보행 비교 시 신경근 제어 활동 차이를 활용하였다는 점에서 새로운 결과를 보여 주었다. 또한 신경근 제어 모듈이 보행 품질의 측정에 활용할 수 있는 지표가 될 수 있고 뇌졸중 환자의 재활 경과를 이해하는데 도움이 될 수 있는 증거를 제공한다.
이 사업은 2018년 정부(과학기술정보통신부)의 재원으로 국가과학기술연구회 창의형 융합연구사업(No. CAP-18014-000)의 지원을 받아 수행된 연구임.
  • 1.
    Katan, M., Luft, A., (2018), Global burden of stroke, Seminars in Neurology, 38(2), 208-211.
    10.1055/s-0038-1649503
  • 2.
    Olsson, E., Löfgren, B., Gustafson, Y., Nyberg, L., (2005), Validation of a fall risk index in stroke rehabilitation, Journal of Stroke and Cerebrovascular Diseases, 14(1), 23-28.
    10.1016/j.jstrokecerebrovasdis.2004.11.001
  • 3.
    Jalayondeja, C., Sullivan, P. E., Pichaiyongwongdee, S., (2014), Six-month prospective study of fall risk factors identification in patients post-stroke, Geriatrics & Gerontology International, 14(4), 778-785.
    10.1111/ggi.12164
  • 4.
    Jørgensen, H. S., Nakayama, H., Raaschou, H. O., Olsen, T. S., (1995), Recovery of walking function in stroke patients: The copenhagen stroke study, Archives of Physical Medicine and Rehabilitation, 76(1), 27-32.
    10.1016/S0003-9993(95)80038-7
  • 5.
    Podsiadlo, D., Richardson, S., (1991), The timed “Up & Go”: A test of basic functional mobility for frail elderly persons, Journal of the American Geriatrics Society, 39(2), 142-148.
    10.1111/j.1532-5415.1991.tb01616.x
  • 6.
    Tilson, J. K., Sullivan, K. J., Cen, S. Y., Rose, D. K., Koradia, C. H., Azen, S. P., Duncan, P. W., Team, L.E.A.P.S.I., (2010), Meaningful gait speed improvement during the first 60 days poststroke: Minimal clinically important difference, Physical Therapy, 90(2), 196-208.
    10.2522/ptj.20090079
  • 7.
    Den Otter, A., Geurts, A., Mulder, T., Duysens, J., (2007), Abnormalities in the temporal patterning of lower extremity muscle activity in hemiparetic gait, Gait & Posture, 25(3), 342-352.
    10.1016/j.gaitpost.2006.04.007
  • 8.
    Dominici, N., Ivanenko, Y. P., Cappellini, G., D’Avella, A., Mondì, V., Cicchese, M., Fabiano, A., Silei, T., Di Paolo, A., Giannini, C., (2011), Locomotor primitives in newborn babies and their development, Science, 334(6058), 997-999.
    10.1126/science.1210617
  • 9.
    Ivanenko, Y. P., Poppele, R. E., Lacquaniti, F., (2004), Five basic muscle activation patterns account for muscle activity during human locomotion, The Journal of Physiology, 556(1), 267-282.
    10.1113/jphysiol.2003.057174
  • 10.
    Barroso, F. O., Torricelli, D., Molina-Rueda, F., Alguacil-Diego, I. M., Cano-de-la-Cuerda, R., Santos, C., Moreno, J. C., Miangolarra-Page, J. C., Pons, J. L., (2017), Combining muscle synergies and biomechanical analysis to assess gait in stroke patients, Journal of Biomechanics, 63, 98-103.
    10.1016/j.jbiomech.2017.08.006
  • 11.
    SENIAM, Determination of sensor location. http://www.seniam.org/
  • 12.
    Lee, D. D., Seung, H. S., (1999), Learning the parts of objects by non-negative matrix factorization, Nature, 401(6755), 788-791.
    10.1038/44565
  • 13.
    Chevutschi, A., Lensel, G., Vaast, D., Thevenon, A., (2007), An electromyographic study of human gait both in water and on dry ground, Journal of Physiological Anthropology, 26(4), 467-473.
    10.2114/jpa2.26.467
  • 14.
    Rodriguez, K. L., Roemmich, R. T., Cam, B., Fregly, B. J., Hass, C. J., (2013), Persons with Parkinson’s disease exhibit decreased neuromuscular complexity during gait, Clinical Neurophysiology, 124(7), 1390-1397.
    10.1016/j.clinph.2013.02.006
  • 15.
    Frère, J., Hug, F., (2012), Between-subject variability of muscle synergies during a complex motor skill, Frontiers in Computational Neuroscience, 6, 99.
    10.3389/fncom.2012.00099
  • 16.
    Wojtara, T., Alnajjar, F., Shimoda, S., Kimura, H., (2014), Muscle synergy stability and human balance maintenance, Journal of Neuroengineering and Rehabilitation, 11(1), 1-9.
    10.1186/1743-0003-11-129
  • 17.
    Bowden, M. G., Clark, D. J., Kautz, S. A., (2010), Evaluation of abnormal synergy patterns poststroke: Relationship of the Fugl-Meyer Assessment to hemiparetic locomotion, Neurorehabilitation and Neural Repair, 24(4), 328-337.
    10.1177/1545968309343215
  • 18.
    Downs, S., (2015), The berg balance scale, Journal of Physiotherapy, 61(1), 46.
    10.1016/j.jphys.2014.10.002
  • 19.
    Benjamini, Y., Hochberg, Y., (1995), Controlling the false discovery rate: A practical and powerful approach to multiple testing, Journal of the Royal Statistical Society: Series B (Methodological), 57(1), 289-300.
    10.1111/j.2517-6161.1995.tb02031.x
  • 20.
    Schache, A. G., Baker, R., (2007), On the expression of joint moments during gait, Gait & Posture, 25(3), 440-452.
    10.1016/j.gaitpost.2006.05.018
  • 21.
    Banks, C. L., Huang, H. J., Little, V. L., Patten, C., (2017), Electromyography exposes heterogeneity in muscle co-contraction following stroke, Frontiers in Neurology, 8, 699.
    10.3389/fneur.2017.00699
  • 22.
    Clark, D. J., Ting, L. H., Zajac, F. E., Neptune, R. R., Kautz, S. A., (2010), Merging of healthy motor modules predicts reduced locomotor performance and muscle coordination complexity post-stroke, Journal of Neurophysiology, 103(2), 844-857.
    10.1152/jn.00825.2009
  • 23.
    Shiavi, R., (1985), Electromyographic patterns in adult locomotion: A comprehensive review, Journal of Rehabilitation Research and Development, 22(3), 85-98.
    10.1682/JRRD.1985.07.0085
  • 24.
    Kibushi, B., Hagio, S., Moritani, T., Kouzaki, M., (2018), Speed-dependent modulation of muscle activity based on muscle synergies during treadmill walking, Frontiers in Human Neuroscience, 12, 4.
    10.3389/fnhum.2018.00004
  • 25.
    Takiyama, K., Yokoyama, H., Kaneko, N., Nakazawa, K., (2020), Speed-dependent and mode-dependent modulations of spatiotemporal modules in human locomotion extracted via tensor decomposition, Scientific Reports, 10(1), 1-15.
    10.1038/s41598-020-57513-w
Heesu Park
KSPE_2022_v39n9_647_bf001.jpg
Ph.D. candidate in the Department of Biomedical Science, Korea University. His research interest is rehabilitation engineering and biosignal processing.
Sungmin Han
KSPE_2022_v39n9_647_bf002.jpg
Senior Research Scientist in the Biomedical Research Division, Korea Institute of Science and Technology. His research interest is man-machine interface, neuromodulation, neurorehabilitation, biosignal processing, low intensity ultrasound, pain.
Joohwan Sung
KSPE_2022_v39n9_647_bf003.jpg
Ph.D. candidate in the Department of Biomedical Science, Korea University. His research interest is rehabilitation engineering, machine learning based motion analysis, and deep learning.
Soree Hwang
KSPE_2022_v39n9_647_bf004.jpg
Ph.D. student in the School of Biomedical Engineering, Korea University. Her research interest is rehabilitation engineering, mobile healthcare, and machine learning.
Seung-Jong Kim
KSPE_2022_v39n9_647_bf005.jpg
Professor in the Department of Biomedical Science, College of Medicine, Korea University. His research interest is medical robot and human-robot-interface.
Inchan Youn
KSPE_2022_v39n9_647_bf006.jpg
Principal Research Scientist in the Biomedical Research Division, Korea Institute of Science and Technology. His research interest is biomechanics, rehabilitation system development, man-machine interface, and theragnosis.

Download Citation

Download a citation file in RIS format that can be imported by all major citation management software, including EndNote, ProCite, RefWorks, and Reference Manager.

Format:

Include:

Evaluation of Lower Extremity Motor Impairment in Post-Stroke Hemiplegic Patients Using Neuromuscular Response during Gait
J. Korean Soc. Precis. Eng.. 2022;39(9):647-655.   Published online September 1, 2022
Download Citation

Download a citation file in RIS format that can be imported by all major citation management software, including EndNote, ProCite, RefWorks, and Reference Manager.

Format:
Include:
Evaluation of Lower Extremity Motor Impairment in Post-Stroke Hemiplegic Patients Using Neuromuscular Response during Gait
J. Korean Soc. Precis. Eng.. 2022;39(9):647-655.   Published online September 1, 2022
Close

Figure

  • 0
  • 1
  • 2
  • 3
  • 4
  • 5
Evaluation of Lower Extremity Motor Impairment in Post-Stroke Hemiplegic Patients Using Neuromuscular Response during Gait
Image Image Image Image Image Image
Fig. 1 EMG setup on a participant and walking on forceplates mounted treadmill
Fig. 2 Schematic of the EMG reconstruction example using a combination of muscle synergy weights and activation signals
Fig. 3 Individual (Blurred lines) and participant mean (Dark lines) of the percentage of Variability Accounted For (VAF). Dashed horizontal lines represents the threshold that determines the number of muscle synergies. (a) VAF of non-paretic and paretic legs, and (b) VAF of healthy participants
Fig. 4 Synergy weights (a) and activation signals (b) of non-paretic and paretic legs. (a) Asterisks indicate significant differences in the synergy weights (p < 0.05), (b) Red rectangles indicate timing when activation of paretic leg muscles was significantly larger than that of the non-paretic leg muscles. Blue rectangles indicate timing when activation of non-paretic leg muscles was significantly larger than that of the paretic leg muscles, and (c) Ankle and knee joint angles during gait
Fig. 5 Synergy weights (a) and activation signals (b) of healthy and paretic legs. (a) Asterisks indicate significant differences in the synergy weights (p < 0.05), (b) Red rectangles indicate timing when activation of paretic leg muscles was significantly larger than that of the healthy leg muscles. Green rectangles indicate timing when activation of healthy leg muscles was significantly larger than that of the paretic leg muscles, and (c) Ankle and knee joint angles during gait
Fig. 6 (a) SSI of paretic, non-paretic and healthy leg, (b) Relation between SSI and FMA, with linear regression, and (c) Relation between SSI and BBS, with linear regression
Evaluation of Lower Extremity Motor Impairment in Post-Stroke Hemiplegic Patients Using Neuromuscular Response during Gait

Clinical characteristics of the participants

Number Sex Age Height [cm] Weight [kg] Stroke onset [year] Paretic side
Healthy participants
H01 Male 75 161 79.3 - -
H02 Male 78 168 50 - -
H03 Male 77 160.6 66.3 - -
H04 Male 77 165.5 63.2 - -
H05 Male 74 165 70.4 - -
Average±SD - 76.2±1.47 164.02±2.82 65.84±9.59 - -
Post-stroke participants
S01 Female 62 160.5 48 3 Left
S02 Female 57 178 53.1 16 Left
S03 Male 49 173 70 10 Left
S04 Male 71 163.5 72.9 24 Left
S05 Male 68 175 81 9 Left
Average±SD - 61.4±7.86 170±6.79 65±12.44 12.4±7.12 -
Table 1 Clinical characteristics of the participants