Skip to main navigation Skip to main content
  • E-Submission

JKSPE : Journal of the Korean Society for Precision Engineering

OPEN ACCESS
ABOUT
BROWSE ARTICLES
EDITORIAL POLICIES
FOR CONTRIBUTORS
SPECIAL

Steer-by-Wire 시스템 고장 대응을 위한 차량 거동 기반 전륜 조향각 추정

Vehicle-motion-based Front Wheel Steer Angle Estimation for Steer-by-Wire System Fault Tolerance

Journal of the Korean Society for Precision Engineering 2024;41(5):347-353.
Published online: May 1, 2024

1 한국기술교육대학교 기계공학과 미래융합전공

2 한국기술교육대학교 기계공학부

1 Future Convergence Engineering, Korea University of Technology and Education

2 School of Mechanical Engineering, Korea University of Technology and Education

• Received: February 16, 2024   • Revised: March 5, 2024   • Accepted: March 6, 2024

Copyright © The Korean Society for Precision Engineering

This is an Open-Access article distributed under the terms of the Creative Commons Attribution Non-Commercial License (http://creativecommons.org/licenses/by-nc/3.0) which permits unrestricted non-commercial use, distribution, and reproduction in any medium, provided the original work is properly cited.

  • 77 Views
  • 4 Download
prev next
  • The Steer-by-Wire (SbW) system is a system that eliminates the physical connection structure of the steering system. Instead, it steers the tires through electrical communication that transmits the driver's intention to the motor. However, the SbW system poses a significant risk in the event of a system failure. This highlights the need for effective failure backup strategies.In our study, we propose a new estimation technique. This technique accurately predicts the magnitude of the front wheel steering angle, which is determined by the vehicle motion. This prediction is particularly useful when rear wheel steering and differential braking are applied to facilitate vehicle steering in the event of a fatal SbW system failure. The estimation model is derived based on the single track model. To construct the prediction model using only measurable states, we replaced the side slip angle with the lateral acceleration signal. Additionally, we incorporated compensation for changes in cornering stiffness due to differential braking. This enhances the accuracy of the model. We validated the proposed steer angle estimation model in a virtual environment using CarSim SW and MATLAB/Simulink.

δf

Front Wheel Steer Angle

δr

Rear Wheel Steer Angle

Vx

Longitudinal Velocity

ay

Lateral Acceleration

γ

Yaw Rate

β

Vehicle Side Slip Angle

Cf

Front Tire Cornering Stiffness

Cr

Rear Tire Cornering Stiffness

Lf

Length of Vehicle from Front Axle to C.G

Lr

Length of Vehicle from Rear Axle to C.G

Iz

Vehicle Vertical Inertia

m

Vehicle Mass

Mz

Vehicle Vertical Moment of Difference Braking

μ

Road Friction Coefficient

φ

Road Bank Angle

Fx

Tire Longitudinal Force

Fz

Tire Vertical Force
최근 자율주행 기술이 점차 고도화되고 자동차의 전장화가 진행[1,2]되면서 기계적인 연결을 배제하고 순수 전기적 신호를 통해 운전자의 조향, 제동, 구동 기능을 통제하는 X-by-Wire 시스템들이 자동차에 적용되고 있다. 그 중 SbW (Steer-by-Wire) 시스템은 기존의 조향 장치에서 조향 칼럼 등의 물리적 연결을 제거하고, 스티어링 휠 조작에 의한 운전자의 조향 의도를 전기적 통신을 통해 조향 액추에이팅 시스템에 전달한다[3]. 따라서, 기존 조향 시스템에 비해 많은 기계 요소들이 제거되기 때문에 그 공간에 다른 장치를 배치하거나 수납공간으로 활용하는 등 공간적인 이득을 볼 수 있다. 또한, 자율 주행 중에는 스티어링 휠과 차량 바퀴의 조향 연결을 완전히 차단하여 운전자의 오조작으로 인한 사고 위험을 방지할 수 있다.
이러한 장점에도 불구하고, 시스템 고장 시 운전자에 의한 최후의 기계적 백업 수단이 부재하기 때문에 시스템 차원의 고장에 대한 이중화 개념을 포함한 신뢰도 확보와, 더불어 충분한 고장 대응 전략 수립이 필수적이다[3-5].
다양한 이중화 설계에도 불구하고 SbW 시스템의 심각한 Fail이 발생한 경우 휠 조향이 일정한 각도로 Stuck 되거나 혹은, 조향 시스템 모터가 Torque-free 상태가 되어 휠 조향이 Free-rolling 되는 상황이 생길 수 있다. 이 상황에서는 타 샤시시스템의 협조제어를 통해 위험을 최소화하는 조치를 취할 수 있다. 기존의 많은 연구에서 전륜 조향 대신 후륜 조향 시스템을 이용하여 차량을 안전하게 선회시키거나, 편제동(Differential Braking)을 이용한 차선 변경을 통해 위험이 최소화된 안전한 곳, 예를 들어 갓길에 비상 정차하도록 하는 시도를 수행하였다[4,6,7].
본 연구에서는 SbW 시스템의 조향 모터가 완전히 고장이 난 LOA (Loss of Assist) 상태[4]를 고려하며, 특히 이때 전륜 조향 시스템이 Torque Free 상태가[8] 되어 주행 중 타이어 힘에 의해 피동적으로 휠 조향이 발생하게 되는 상황(Free-rolling)에서 전륜 타이어 조향각을 실시간 추정하는 것을 목표로 한다. SbW 모터의 고장으로 인한 Torque Free 상황에서는 노면과 차량의 상태에 따라 자유롭게 조향 되기 때문에, 타 샤시 시스템과의 연계를 통한 성공적인 위험최소화운행 제어를 달성하기 위해서는 실시간으로 전륜 조향각의 정확한 추정이 필수적이다.
본 연구에서는 복잡한 타이어 모델 기반 방법론을 배제하고 휠 속도, 요 레이트, 횡 가속도 등 차량에서 측정되는 상태량들과 선형 차량 횡방향 동역학 모델을 활용하여 전륜 조향각을 실시간 추정하는 방법을 제안한다. 한편, 조향각 예측을 위해 사용된 Single Track Model의 경우 차량 횡방향 동역학 관점에서 모델 정확도를 개선하기 위한 다음의 노력을 시도하였다. 첫째, Single Track Model의 상태 변수 중 하나인 횡 슬립 각의 경우 차량에서 계측이 어렵고 정밀한 추정 또한 매우 어렵기 때문에 모델에 존재하는 횡 슬립 각 미분, 횡 슬립 각 신호를 계측가능한 횡 가속도, 요 레이트 등 신호들의 조합으로 소거하여 전체적인 횡 동역학 모델의 정확도를 개선하였다. 둘째, 본 연구에서 대표적 테스트 시나리오에 해당하는 위험최소화운행은 갓길 정차에 해당된다. 이때, 주 조향 장치인 SbW 고장 상황에서 차량 선회를 위해 후륜 조향과 좌/우 편제동을 실시하기 때문에 제동력에 의한 코너링 강성의 감소가 발생한다. 이러한 제동 시 코너링 강성의 감소량을 적절히 보상하여 해당 상황에서의 차량 횡거동에 대한 모델 예측 정확도를 올리고 이로 인해 조향각 추정 정확도의 개선을 이뤄냈다.
본 논문의 구성은 다음과 같다. 2장에서는 차량 거동을 기반으로 전륜 조향각을 예측하는 추정 모델을 설계하는 과정의 전반을 기술한다. 설계에 기반이 되는 차량 모델, 조향각 추정을 정확히 하기 위한 차량 모델의 정확도 개선을 위한 과정을 다룬다. 3장에서는 CarSim 시뮬레이션 환경을 이용하여 대표 주행 시나리오에서 제안 추정 모델의 성능을 검증하고 4장에서 결론을 맺는다.
2.1 Single Track Model
Single Track Model 은 타이어 횡력을 선형으로 가정하고 조향각을 입력으로 하여 횡 슬립 각과 요 레이트를 출력하는 차량 모델이다. 일반적인 모델 구조는 다음 식(1)과 같다.
(1)
β˙γ˙=Aβγ+BδfA=-Cf+CrmVx-lfCf-lrCrmVx2-1-lfCf-lrCrIz  -Cflf2+Crlr2IzVx, B=CfmVxCflfIZ
본 연구에서는 SbW 시스템 고장 시 후륜 조향과 편제동을 이용한 비상 운행 제어 상황을 고려하므로 Fig. 1식(2)와 같이 후륜 조향각 δr과 편제동에 의한 요모멘트 Mx를 모델에 반영하였다[9].
(2)
β˙γ˙=Aβγ+B'δfδrMzA=-Cf+CrmVx-lfCf-lrCrmVx2-1-lfCf-lrCrIz  -Cflf2+Crlr2IzVx, B'=CfmVxCrmVx0CflfIZ-CrlrIZ1IZ
Fig. 1

Single track model (with rear wheel steer and yaw moment)

KSPE_2024_v41n5_347_f001.jpg
한편, 편제동을 이용하여 선회하게 되면, 선회하는 동안 항상 타이어에 제동력이 작용한다. 선회 중 타이어에 적지 않은 종방향 힘이 계속 작용하므로, 코너링 강성이 마찰원 원리에 의해 제동력이 없는 일반 상황보다 작아지게 된다[10,11]. 본 연구에서는 식(3)과 같이 제동력에 의한 코너링 강성의 감소를 표현하였으며(Ci,nominal 은 제동력이 없을 때 코너링 강성을 의미), 여기서 필요한 종력과 수직력, 마찰계수는 정확히 알고 있다고 가정하고 상세히 다루지 않는다[10,11].
(3)
Ci=Ci, nominal 1-FxiμFzi2i=f,r
식(3)은 타이어에 작용 가능한 종횡 방향 힘의 한계인 최대 종 마찰력에서 종 방향 힘의 비율만큼 크기를 낮추어 반영하여, 종 방향 힘에 의한 코너링 강성의 크기 변화를 산출하여 보상한다. 해당 보상의 유무에 따른 Single Track Model의 정확도 변화를 Fig. 2에 비교하여 나타내었다. CarSim SW를 사용하여 -0.3 g의 제동을 인가하면서 조향하는 시나리오를 적용하였고, 그때 Single Track Model의 요 레이트와 횡 슬립 각을 비교하여 보상 유무에 따른 식(3) 적용에 따른 차량 모델의 정확도 변화를 확인하였다.
Fig. 2

Single track model accuracy comparison w/ and w/o cornering stiffness variation compensation due to longitudinal force

KSPE_2024_v41n5_347_f002.jpg
제동 선회 상태에서 종 방향 힘에 의한 코너링 강성 변화를 식(3)과 같이 보상하면 Single Track Model의 정확도를 상당히 향상되는 것을 확인하였다.
2.2 전륜 조향각 추정 모델
식(2)에서 정리된 Single Track Model로부터 전륜 조향각을 계산하는 모델을 유도한다. 모델은 다음과 같은 연립 미분 방정식의 형태이다.
(4)
β˙=-Cf+CrmVxβ-lfCf-lrCrmVx2+1γ+CfmVxδf+CrmVxδr
(5)
γ˙=-lfCf-llCrIzβ-Cflf2+Crlr2IzVxγ+CflfIZδf-CrlrIZδf+1IzMz
차량에서 계측이 어려운 상태량인 횡 슬립 각을 소거하는 방향으로 수식을 정리하기 위하여 차량에서 측정 가능한 횡 가속도를 고려한다. 이때, 횡 슬립 각 소거와 함께 모델에 대한 도로 횡 경사의 영향을 제거하는 것이 가능하다. 이는 횡가속도 센서가 횡 경사에 의한 중력성분을 함께 계측하기 때문이다. 그 과정은 다음과 같이 기술된다. 식(4)에 횡 경사를 고려한 항을 추가하면 식(6)과 같다.
(6)
β˙=-Cf+CrmVxβ-+CrmVxδr+gsinφVx
횡 경사를 고려해도 모멘트 평형 식(5)는 변하지 않는다. 한편, 횡 가속도 센서가 실제로 계측하는 신호들을 표현하면 식(7)과 같다. 즉, 실제 관성력뿐만 아니라 노면 기울어짐에 의한 중력 성분도 함께 계측한다.
(7)
ay=Vxγ+β˙-gsinφ
식(7)을 횡 슬립 각의 미분에 대하여 정리한 다음 식(6)에 대입하면 다음과 같이 횡 경사에 대한 항이 자연스럽게 소거된다.
(8)
ay=-Cf+Crmβ-lfCf-lrCrmVxγ+Cfmδf+Crmδr
그러므로 실제 횡 경사가 존재하더라도 횡 가속도 계측치를 사용하여 정리된 최종적인 식(8)에서는 횡 경사 성분이 포함되지 않는다. 횡 슬립 각 소거를 위해 횡 가속도를 도입하는 것으로 추정 모델의 횡 경사에 대한 강건성을 확보하는 추가적인 이점을 얻었다.
이제 수식을 결합하는 과정에서 횡 슬립 각을 소거하기 위하여 식(8)을 횡 슬립 각에 대해 정리하여 식(5)에 대입한다. 이를 정리하면 식(9)와 같다.
(9)
δf=IzCf+CrCfCrlf+lrγ˙-mlfCf-lrCrCfCrlf+lray+lf+lrVxγ+δr-Cf+CrCfCrlf+lrMz
목적한 대로 조향각 추정 모델이 계측 가능 신호인, 요 레이트, 횡 가속도와 제어량인 후륜 조향각, 요 모멘트로 구성되었다. 제안된 추정 모델이 위험최소화운행과 함께 작동할 때의 전체적인 블록선도를 Fig. 3에 나타냈다. 한편 식(9)에서도 알 수 있듯이 해당 예측 모델은 일종의 Open-loop 예측 모델이며, 저마찰 노면이나 한계 주행 상황 등과 같이 해당 모델의 정확도가 떨어지는 상황에서는 예측 성능상의 한계가 존재하며 또한, 요 레이트 미분 시에 센서 노이즈에 대한 적절한 필터링도 요구된다.
Fig. 3

Front wheel angle estimation model block diagram

KSPE_2024_v41n5_347_f003.jpg
본 연구에서 제안된 전륜 조향각 추정 모델의 예측 성능을 CarSim SW와 MATLAB/Simulink로 구성된 가상 해석 환경에서 검증한다.
검증 시나리오는 레벨3 이상의 자율주행에서 SbW 시스템의 치명적 고장이 발생하여 전륜 조향 모터가 Torque Free 상태가 되고 후륜 조향 및 편제동을 활용하여 갓길로 차선 변경하여 정차하는 전형적인 위험최소화운행 상황이다.
CarSim SW에서 전륜 조향 Torque를 0으로 설정하여 Torque Free 상태가 되도록 설정했다.
3.1 Open-loop 사인파 후륜 조향, 편제동 입력에서 추정 성능 검증
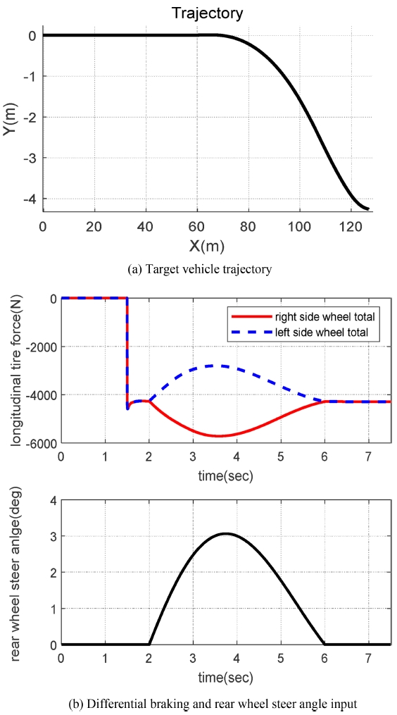
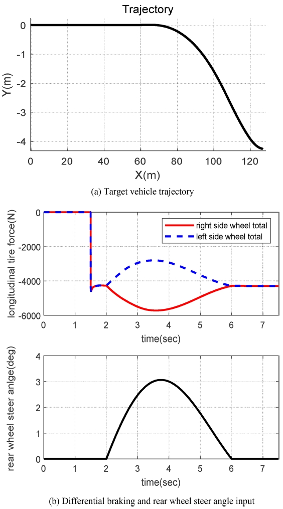
갓길 정차 시나리오에 앞서 우선 후륜 조향과 편제동을 Open-loop 사인파 형태로 입력하였을 때, Torque Free 상태의 전륜 조향각 거동 추정 성능을 검증하였다. 후륜 조향 및 편제동은 감속이 시작되는 순간부터 입력하며, 편제동의 경우 속도 제어 중 토크 분배 단계에서 입력한다. 차량 모델에 입력되는 편제동 모멘트의 범위는 ±1,000 Nm, 후륜 조향의 범위는 ±5 deg로 설정하였다. 전체적인 주행 시나리오 정보를 Fig. 4에 나타냈다.
Fig. 4

Driving scenario for open-loop rear wheel steer and differential braking input

KSPE_2024_v41n5_347_f004.jpg
제안된 전륜 조향각 추정 모델이 SbW 시스템 고장 상황을 모사한 사인파 형태의 후륜 조향 및 편제동 입력상황에서 차량 거동 및 타이어 힘 등에 의해 피동적으로 결정되는 실제 전륜 조향각을 잘 추정하는 것을 Fig. 5에 나타낸 결과와 같이 확인하였다.
Fig. 5

Front wheel steer angle estimation result

KSPE_2024_v41n5_347_f005.jpg
3.2 종방향 힘에 의한 코너링 강성 변동 보상 효과 검증
앞서 2장에서 편제동에 의한 코너링 강성 감소를 모델에 적용하여 보상하는 방법을 제안하였다. 본 절에서는 3.1절의 주행 시나리오에서 해당 방법의 효용성을 검증한다.
Fig. 6에 제동력에 의한 코너링 강성 저감 효과를 추정 모델에서 보상한 경우와 보상하지 않고 코너링 강성을 종 방향 힘이 없는 경우에 맞춰진 Nominal 값을 사용한 경우를 비교하여 나타냈다.
Fig. 6

Compensation result of cornering stiffness variation due to longitudinal force

KSPE_2024_v41n5_347_f006.jpg
종 방향 힘에 의한 코너링 강성 변화를 보상한 제안추정 모델이 보상하지 않는 추정 모델보다 Peak치 기준 10% 개선된 오차율로 예측하는 것을 확인하였다. 따라서, 제동 상황에서 코너링 강성 변화 보상이 유의미하게 추정 모델의 정확도와 추정 결과를 개선시킴을 확인했다.
3.3 갓길 정차 시나리오에서 추정 성능 검증
본 연구의 최종 검증 단계에서는 갓길 정차 시나리오에서 전륜 조향각이 잘 추정되는지 검증한다. 차량의 속도는 Fig. 4(a)에 나타난 100 kph에서 5초간 감속하여 정차하는 시나리오를 그대로 적용하며, 목표한 궤적에 따라 갓길로 이동한다. 외곽 차로 중심에서 갓길로 완전히 벗어날 때까지의 횡방향 변위는 4 m로 가정한다. Fig. 7(a)는 정차할 때까지 차량의 목표 궤적이며, Fig. 7(b)는 해당 주행을 위해 차량에 입력된 후륜 조향각과 좌우 제동력을 나타낸다. 제안 추정 모델의 예측 결과는 Fig. 8에 나타내었다. 추정 결과에는 코너링 강성 변화를 보상하지 않은 경우도 함께 나타내어 추정 성능을 비교하였다.
Fig. 7

Driving scenario for minimum risk maneuver

KSPE_2024_v41n5_347_f007.jpg
Fig. 8

Front wheel steer angle estimation result for minimum risk maneuver

KSPE_2024_v41n5_347_f008.jpg
실제 자율주행 상황에서 SbW 시스템 고장 시 발생 가능한 갓길 정차 시나리오에서도 매우 작은 추정 오차를 보이며 전륜 조향각이 효과적으로 추정되는 것을 확인하였다. 정확히 추정된 전륜 조향각 정보는 실제 갓길로의 차선변경을 하는 상위 제어 로직에 전달되어 전체 차량 거동 제어 폐루프 제어 성능에 큰 도움이 될 것으로 예상한다. 한편, 3.2절의 결과와 마찬가지로 종 방향 힘에 의한 코너링 강성 변화를 보상하는 것이 효과적으로 전륜 조향각 추정 성능을 개선함을 확인했다.
본 연구에서는 레벨 3 이상의 자율주행에서 SbW 시스템이 심각한 고장을 일으켜 전륜 조향 모터가 Torque Free 상태로 된 경우에 휠 조향각이 차량 거동 및 타이어 힘에 의해 피동적으로 결정되는 Free-rolling 상황에서 전륜 조향각을 실용적으로 추정하는 모델을 제안하였다.
차량 거동을 효과적으로 표현하는 Single Track Model을 기반으로 전륜 조향각 추정 모델을 유도하였다. SbW 고장 상황에서는 차량을 선회시키기 위한 편제동을 고려하기 때문에 큰 제동력에 의한 코너링 강성의 변화를 조향각 예측 모델에 반영하였다. 또한, 실제 차량에서 측정이 어려운 횡 슬립 각을 모델에서 소거하기 위해 횡 가속도와 횡 슬립 각 사이의 기구학적 관계를 고려하여 횡가속도로 치환하여 결과적으로 횡 경사에 무관하고 측정이 용이한 센서 신호들로 구성된 전륜 조향각 추정 모델을 도출하였다.
제안된 전륜 조향각 추정 모델은 CarSim SW와 MATLAB/Simulink를 활용하여 검증하였다. 실제 자율주행에서 SbW 고장 시 실행해야 하는 갓길 비상 정차 주행상황에서 의도한 대로 전륜 조향각이 효과적으로 잘 추정되는 것을 확인하였다. 또한, 종방향 힘에 의한 코너링 강성 변화 보상이 유의미하게 추정 성능을 개선한다는 것을 확인했다.
한편, 제안 추정 모델은 일종의 Open-loop 모델이기 때문에 차량 모델의 오차, 파라미터의 변동, 외란 등에 취약할 수 있는 한계가 존재한다. 따라서, 향후 모델 오차가 커지는 저마찰로와 같은 조건에서 제안 조향각 예측 모델이 상위 위험최소화운행 제어기와 함께 동작할 때 전체 폐루프 제어 성능을 분석해 보고 개선점을 도출해보도록 할 예정이다.
본 연구에서 제안된 전륜 조향각 추정 모델이 SbW 시스템의 고장 상황에서, 통제 불가능한 Torque Free 상태의 전륜 조향각을 효과적으로 추정하여 SbW 시스템 고장 시 전체 차량 거동 제어 시스템의 신뢰도 향상에 도움이 되기를 기대한다.
이 연구는 2024년도 산업통상자원부 및 산업기술평가관리원(KEIT) 연구비 지원에 의한 연구임(No. 20015831). 이 논문은 2024년도 정부(과학기술정보통신부)의 재원으로 한국연구재단의 지원을 받아 수행된 연구임(No. 2022R1A2C1004405).
  • 1.
    Bang, S.-H., Park, S.-M., Chu, M.-G., Song, J.-H., Lee, D.-R., (2021), Smart design of rotor and permanent magnet considering torque and torque ripple of interior permanent magnet synchronous motor of electronic vehicle, Journal of the Korean Society for Precision Engineering, 38(8), 605-612.
    10.7736/JKSPE.021.043
  • 2.
    Bang, S.-H., Lee, D.-R., (2021), A study on the smart design and cooling performance of electric vehicle motor using metal-hybrid materials, Journal of the Korean Society for Precision Engineering, 38(8), 595-603.
    10.7736/JKSPE.021.039
  • 3.
    Kim, K., Kim, J., Koo, T., (2021), New steering system for future vehicle, Steer-by-Wire into product development, Journal of the Korean Society of Automotive Engineering, 43(2), 13-19.
  • 4.
    Ryu, J. H., Kim, J. S., Cho, Y. G., Ko, S. J., (2023), A method of front wheel steering motion estimation according to differential braking and rear steer for Steer-by-Wire failover system developing, Proceedings of the Korean Society Automotive Engineering 2023 Annual Autumn Conference, 1500-1501.
  • 5.
    Kim, M. Y., Lee, J., Jeong, J., (2022), Driver behavior simulation considering crash condition of an automated vehicle, Journal of the Korean Society for Precision Engineering, 39(3), 187-192.
    10.7736/JKSPE.021.122
  • 6.
    Sung, J., Choi, S., Huh, K., (2024), A differential brake-actuated steering system for redundancy of Steer-by-Wire, Institute of Electrical and Electronics Engineers Transactions on Intelligent Vehicles, 9(1), 993-1004.
    10.1109/TIV.2023.3337531
  • 7.
    Kwon, B.-S., (2023), Fault-tolerant control strategy for Steer-by-Wire vehicles using rear-wheel steering, Journal of Institute of Control, Robotics and System, 29(4), 289-293.
    10.5302/J.ICROS.2023.22.8008
  • 8.
    Yeo, S. H., Seo, J. W., Ko, J. N., Lee, M. J., (2022), A study on the development of validation technology reflecting complex failure combination for SbW system robustness, Proceedings of the Korean Society Automotive Engineering 2022 Annual Autumn Conference, 417-423.
  • 9.
    Nagai, M., Hirano, Y., Yamanaka, S., (1997), Integrated control of active rear wheel steering and direct yaw moment control, Vehicle System Dynamics, 27(5-6), 357-370.
    10.1080/00423119708969336
  • 10.
    Gillespie, T. D., (2021), Fundamentals of vehicle dynamics, SAE International.
    10.4271/9781468601770
  • 11.
    Brach, R., Brach, M., (2011), The tire-force ellipse (friction ellipse) and tire characteristics, (Report No. 2011-01-0094), SAE International. https://saemobilus.sae.org/content/2011-01-0094/
    10.4271/2011-01-0094
Seungyong Choi
KSPE_2024_v41n5_347_bf001.jpg
M.S. candidate in the Future Convergence Engineering, Korea University of Technology and Education. His research interest is vehicle chassis control.
Wanki Cho
KSPE_2024_v41n5_347_bf002.jpg
Professor in the School of Mechanical Engineering, Korea University of Technology and Education. His research interests include integrated chassis control systems, and intelligent vehicle control.
Seung-Han You
KSPE_2024_v41n5_347_bf003.jpg
Professor in the School of Mechanical Engineering, Korea University of Technology and Education. His research interests include control systems, state estimations, parameter estimations, and their applications in future vehicles.

Download Citation

Download a citation file in RIS format that can be imported by all major citation management software, including EndNote, ProCite, RefWorks, and Reference Manager.

Format:

Include:

Vehicle-motion-based Front Wheel Steer Angle Estimation for Steer-by-Wire System Fault Tolerance
J. Korean Soc. Precis. Eng.. 2024;41(5):347-353.   Published online May 1, 2024
Download Citation

Download a citation file in RIS format that can be imported by all major citation management software, including EndNote, ProCite, RefWorks, and Reference Manager.

Format:
Include:
Vehicle-motion-based Front Wheel Steer Angle Estimation for Steer-by-Wire System Fault Tolerance
J. Korean Soc. Precis. Eng.. 2024;41(5):347-353.   Published online May 1, 2024
Close

Figure

  • 0
  • 1
  • 2
  • 3
  • 4
  • 5
  • 6
  • 7
Vehicle-motion-based Front Wheel Steer Angle Estimation for Steer-by-Wire System Fault Tolerance
Image Image Image Image Image Image Image Image
Fig. 1 Single track model (with rear wheel steer and yaw moment)
Fig. 2 Single track model accuracy comparison w/ and w/o cornering stiffness variation compensation due to longitudinal force
Fig. 3 Front wheel angle estimation model block diagram
Fig. 4 Driving scenario for open-loop rear wheel steer and differential braking input
Fig. 5 Front wheel steer angle estimation result
Fig. 6 Compensation result of cornering stiffness variation due to longitudinal force
Fig. 7 Driving scenario for minimum risk maneuver
Fig. 8 Front wheel steer angle estimation result for minimum risk maneuver
Vehicle-motion-based Front Wheel Steer Angle Estimation for Steer-by-Wire System Fault Tolerance