Skip to main navigation Skip to main content
  • E-Submission

JKSPE : Journal of the Korean Society for Precision Engineering

OPEN ACCESS
ABOUT
BROWSE ARTICLES
EDITORIAL POLICIES
FOR CONTRIBUTORS
REGULAR

MCNP 활용 듀얼에너지 포터블 X-ray개발

Development of Dual Energy Poteobeul X-ray Using MCNP

Journal of the Korean Society for Precision Engineering 2024;41(11):905-912.
Published online: November 1, 2024

1 송원대학교 자율전공학과

1 Department Undeclared Majors, Songwon University

#E-mail: jia789@songwon.ac.kr, TEL: +82-062-360-5729
• Received: September 11, 2024   • Revised: September 13, 2024   • Accepted: September 13, 2024

Copyright © The Korean Society for Precision Engineering

This is an Open-Access article distributed under the terms of the Creative Commons Attribution Non-Commercial License (http://creativecommons.org/licenses/by-nc/3.0) which permits unrestricted non-commercial use, distribution, and reproduction in any medium, provided the original work is properly cited.

  • 4 Views
  • 0 Download
prev next
  • Recently, X-ray images through chest radiography (CXR) can distinguish gas, fat, soft tissue, bone, and metal based on their densities. It is the most basic chest imaging technique. With advancement of technology, CXR is becoming safer by lowering the radiation dose. It has become the first examination performed on patients with thoracic abnormality syndrome for early diagnosis of various chest diseases worldwide, accounting for up to 26% of all diagnostic radiology examinations. Despite its various advantages, CXR can distinguish only a few densities. Various thoracic anatomical structures can overlap in a single 2D image and various pathologies can show the same density, making accurate interpretation at various densities difficult. Errors in CXR interpretation have been present since the mid-20th century, with 10-20% of tuberculosis cases being interpreted differently by various radiologists and 19% of lung cancer cases being misinterpreted. To address these issues in interpreting chest CXR and to increase its usability in emergency situations and various environments, the quality of CXR images needs to be improved. In order to improve the quality of these images, this study aimed to establish a portable multi-energy X-ray field technique using MCNP with dual energies of 40 and 70 keV.
최근 흉부 방사선 촬영을 통한 X-선 영상(CXR)은 가스, 지방, 연조직, 뼈, 금속등 5가지를 기본적으로 구별 가능한 밀도로 정의되며 가장 기본적인 흉부 영상 촬영 기법이다. 기술의 발달로 CXR은 디지털화 되어 PACS (Picture Archiving and Communications System)에서 판독하며 저장하며 방사선량을 낮추어 점점 안전해지고 있다[1-3].
이러한 요인으로 인해 CXR은 전 세계적으로 다양한 흉부 질환을 조기 진단하기 위해 흉부 이상 증후군 환자에서 실시하는 1차 검사로 자리 잡았으며 전체 진단 방사선 검사의 최대 26%를 차지한다[4,5].
CXR의 다양한 장점에도 불구하고 CXR은 소수의 밀도만 구별할 수 있고 단일 2D이미지에서 다양한 흉부 해부학적 구조가 중첩되며, 다양한 병리가 동일한 밀도를 나타내기에 다양한 밀도에서의 정확한 해석에는 여전히 의사의 경험에서 판독되는 부분이 많다. CXR 해석의 오류는 20세기 중반부터 결핵 사례의 10-20%가 다양한 영상의학과 전문의에 의해 다르게 해석되고, 폐암 사례의 19%가 잘못 해석되는 등 오류가 인정되고 있다. 오류를 줄이기 위해서 수동 방사선 연구에서는 CXR의 체계적인 분석을 사용하여 환부의 위치, 종격침투, 구조의 선명도, 폐 용적 및 인공물의 존재에 따라 판독하고 있으나 아직 판독에 대하여 경험에 의존하기에 판독오류가 존재한다.
이러한 흉부 CXR 판독에 대한 문제와 응급상황 및 다양한 환경에서의 활용성을 증가시키기 위하여 CXR 영상의 질적 향상이 필요하다. 이러한 영상의 질적 향상을 위하여 본 연구에서는 MCNP를 활용하여 40, 70 keV의 듀얼 에너지를 같는 포터블식 다중에너지 엑스선장기법에 대하여 정립하고자 한다.
듀얼 에너지 시스템을 이용하여 물질을 구분하는 것은 서로 다른 레벨의 두 에너지(HE, LE)의 감쇠를 이용해 원자번호 Z를 찾는 방법이다. 물질의 원자번호에 대한 듀얼 에너지 함수의 의존성은 Fig. 1에 과 같으며 총 3가지의 영역으로 나눌 수 있다. 영역 1은 낮은 Z (Z<=10)의 영역으로 이 영역에서의 F(Z)는 거의 일정하다. 따라서 이 영역의 물질의 불변이 힘들다. 반면 영역 2(10<Z<=46)에서는 F(Z)가 단조적으로 변화하기에 물질의 결정이 가능하며 다른 영역과 비교된다. 영역3은 원자번호 Z>46에 대응하며 F(Z)는 서로 다른 Z에 대해 비슷한 값을 가지며 물질 결정에 어려움이 있다.
Fig. 1

Change of dual energy function F(Z) according to atomic number (Z)

KSPE_2024_v41n11_905_f001.jpg
일반적으로는 위에서 설명한 두께에 독립적이지 않으며 듀얼 에너지 함수 F(Z)는 물질의 원자번호뿐만 아니라 두께에 의존적인 특성을 갖는다[6-9].
(1)
FZ=μlowZμhighZ=E=0EmaxWE1e-E1tdE1E=0EmaxWE2e-E2tdE2
Fig. 2를 보면 위 식은 물질의 원자번호보다 두께에 더욱 크게 의존하는 모습을 확인할 수 있다.
Fig. 2

Changes in dual energy function F(Z,t) according to atomic number (Z) and thickness (t)

KSPE_2024_v41n11_905_f002.jpg
2.1 포터블식 Dual Energy X-ray 설계
현재 시판되고 있는 포터블/이동형 의료용 X-ray 발생장치의 경우 Tube Voltage의 범위가 최소 40 kV에서 최대 150 kV의 넓은 범위를 가지고 있다. 또한 물질의 크기에 따라 X-ray의 Target을 단일 Target과 Triple Target으로 나누어진다. Table 1은 Triple Target과 Dual Target을 비교하였다. 단일 Target의 투입된 kV보다 X-ray 생성량이 낮고 많은 에너지가 열로 변환되는 단점이 있으며, Triple Target은 Target의 경우 튜브 자체의 반경이 커지고 타깃 사이의 거리가 멀어져 강한 자기장이 요구된다. 강한 세기의 자기장을 위해서는 전자석의 부피가 증가해, 자기장이 Focal Spot Size에 영향을 주어 에너지에 따라 균일한 Focal Spot Value를 얻는 것이 어려워진다. 이러한 문제를 고려하여 Target수를 2개로 줄인 Dual Target X-ray Tube를 개발하였다.
Table 1

Comparison of triple target and dual target

Table 1
Modle Triple Target Dual Target
Number of targets 3 2
Target’s location Upper, middle, lower Upper, middle
Strength of magnetic field > 200 Gauss < 200 Gauss
Special feature Conventional Model
Large tube radius due to number of targets High intensity magnetic field required Increased electromagnet volume
Large Focal Spot Value
Newly optimized model
Small tube radius Weak magnetic field strength
Reduced electromagnet volume Small and uniform
Focal Spot Value even with different energies
설계의 목표는 Toshiba D-045 X-ray Tube의 Focal Spot Value에 해당하는 f = 0.4를 40, 70 keV 두 에너지에 대해 만족하는 것이다[9-12].
2.2 Dual Target X-ray Tube를 위한 전자선 궤적 시뮬레이션
튜브의 기본적인 설계는 Toshiba D-045 X-ray Tube를 참고하여, 40, 70 keV의 Dual Energy & Dual Target X-ray Tube를 위한 Focusing Cup, 캐소드, 애노드 등을 디자인하였다.
70 keV의 전자선은 전자석의 전원을 끈 상태로 자기장 없이 직진하여 정면에 있는 타깃에 조사되며, 40 keV의 전자선은 전자석의 전원을 킨 상태에서 수평방향 자기장의 영향으로 궤적이 애노드의 상단으로 입사하여 70 keV와 서로 다른 타깃에 조사된다. 70과 40 keV의 경우 기계 가공의 한계 및 전자 궤적의 분해 가능 여부를 고려하여 약 2 mm의 분리거리를 가지며, 전자석은 자기장의 세기로 인한 전자선 궤적의 뭉개 짐을 막기 위해 자기장의 세기를 200 Gauss 이하가 되도록 설계하였다. 또한 D-045의 경우 X선의 해상도를 결정하는 Focal Spot Value가 f = 0.4의 값을 가지고 이를 기반으로 최적화 목표를 40, 70 keV 각각의 경우에 f = 0.4를 만족하도록 Focusing Cup, 캐소드, 애노드를 설계하였다.
디자인 및 최적화 과정은 3D 전자기장 계산, 데이터 포맷 변환, 전자 궤적 시뮬레이션의 총 3단계로 나누어져 있으며, 3D 전자기장 계산에 있어서는 X선 장치 개발 분야 및 고주파 장치 개발 분야에서 널리 사용되는 소프트웨어인 CST (Computer Simulation Technology)를 사용하여 계산된 3D 전자기장을 MATLAB 코드 데이터 포맷으로 변환하여 가속기 분야에서 전자 빔 동역학 계산에 표준에 준하게 사용되는 ASTRA (A Space Charge Tracking Algorithm)를 이용하여 전자 궤적 시뮬레이션 수행하였으며, 결과 분포를 분석하고, 이를 고려해 Focusing Cup, 캐소드, 애노드를 다시 디자인하고, 처음의 단계로 돌아가는 과정을 반복해 목표로 하는 성능을 만족하는 디자인을 도출하였다. 도출된 디자인은 Table 2와 같다.
Table 2

Dual target design goals

Table 2
Design goals
Number of targets 2
Target separation distance 2 mm
Energy and Position 40 keV, Anode top
70 keV, Anode center
Magnetic field strength < 200 Gauss
Focal Spot Value 40, 70 keV, f=0.4
설계 목표를 만족하는 Dual Energy X-ray Tube의 기하 구조는 Figs. 45에 나타내었다.
Fig. 3

design process

KSPE_2024_v41n11_905_f003.jpg
Fig. 4

Optimized geometry - cathode

KSPE_2024_v41n11_905_f004.jpg
Fig. 5

Optimized geometry

KSPE_2024_v41n11_905_f005.jpg
전자빔의 경로를 휘어 두 개 이상의 타깃 물질이 전자를 입사시키기 위해서는 강한 자기장이 요구되고, 이를 위해 전자석이 필요하다. 하지만 일정 세기 이상의 자기장은 전자빔의 궤적을 왜곡시킬 수 있고, 이로 인해 Focal Spot Value가 커질 수 있고 Focal Spot Value를 일정 수준(f = 0.4)로 유지하면서 전자빔의 경로를 충분히 크게 휘어지게 하기 위해 캐소드-애노드 사이의 거리와 자기장의 세기에 대한 최적화를 하였다. 최적화 결과 필라멘트 중심-애노드 중심 사이의 거리가 15 mm, 중심부 자기장의 세기가 188 Gauss로 설정되었다. Figs. 6은 전자석 모델 및 자기장 측정 위치를 나타내고 있으며, 7은 자기장에 의한 40 keV 전자빔의 회절을 모사하고 있다.
Fig. 6

Electromagnet model and magnetic field measurement location

KSPE_2024_v41n11_905_f006.jpg
Fig. 7

40keV electron beam bent by the magnetic field of an electromagnet

KSPE_2024_v41n11_905_f007.jpg
2.3 전자 분포 및 Focal Spot Value 평가
자기장을 끈 상태로 진행한 70 keV 전자선과 자기장을 킨 상태로 진행한 40 keV 전자선이 타깃에 도달했을 때의 z-y 방향 및 x-y 방향 전자 분포는 Figs. 89와 같다.
Fig. 8

Electron distribution in z-y direction at target plane

KSPE_2024_v41n11_905_f008.jpg
Fig. 9

Electron distribution in x-y direction at target plane

KSPE_2024_v41n11_905_f009.jpg
자기장의 영향으로 인해 40, 70 keV 전자의 궤적이 분리되었음을 확인할 수 있으며, 이때의 분리 거리는 y 방향으로 약 2 mm로 확인되었다.
x방향 전자의 분포는 Fig. 10의 그래프에 나타나있으며, 표준(의료용 전기기기-진단용 X선관 장치-초점의 특성)에 따르면 f = 0.4의 X-ray Tube의 최대 허용 너비는 0.60 mm이다. 전자 분포도 평가 결과 40, 70 keV의 두 경우 모두 입사 전자선의 너비가 0.60 mm 이하로, f = 0.4의 조건을 만족함을 확인할 수 있다.
Fig. 10

x-direction charge density distribution

KSPE_2024_v41n11_905_f010.jpg
y방향 전자의 분포는 Fig. 11의 그래프와 같다. 표준(의료용 전기기기-진단용 X선관 장치-초점의 특성)에 따르면 f = 0.4의 X-ray Tube의 최대 허용 높이는 0.85 mm이며, Angle = 12.5°를 고려한 길이는 3.83 mm이다. 전자 분포도 평가 결과 두 경우 모두 입사 전자선의 높이가 3.83 mm 이하로 기준을 모두 만족한다.
Fig. 11

y-direction charge density distribution

KSPE_2024_v41n11_905_f011.jpg
MCNP는 몬테칼로 방법에 기반한 입자 수송 시뮬레이션 코드입니다. 본 연구에서는 MCNP의 Radiography Tally를 활용하여 다중에너지 X-ray 이미지 전산모사를 수행하였다. Fig. 12는 MCNP 전산모사 과정을 나타내고 있으며, Fig. 13은 X선 스펙트럼을 나타내었다.
Fig. 12

MCNP computerized simulation procedure

KSPE_2024_v41n11_905_f012.jpg
Fig. 13

X-ray spectrum generated from selected target material

KSPE_2024_v41n11_905_f013.jpg
효율적으로 X-ray를 발생시키기 위한 예비 타깃 물질로 텅스텐(W), 몰리브데넘(Mo), 로듐(Rh)을 선정한 후 MCNP 전산모사를 통해 70, 40 keV 전자빔이 타깃과 충돌했을 때 방출되는 X-ray 스펙트럼을 계산하였다.
선정한 타깃 물질 중 텅스텐의 경우 원자번호가 높아 X-Ray 발생 효율이 높으며 녹는점(Melting Point)이 3,410℃로 높아 고열에 강인하다. 몰리브데넘과 로듐 역시 각각 2,623℃, 1,964℃의 높은 녹는점을 갖고 있으며 20 keV 부근에서 특성 X-ray가 매우 많이 방출되므로 이러한 특성을 다중에너지 X-ray 적용하였다. 다중에너지 X-ray 기술의 핵심인 서로 다른 에너지 영역에서 생성된 이미지 대비를 활용하기 위해서는 필터를 활용해 겹치는 에너지 영역이 최소화되도록 X-ray 스펙트럼을 변경하기 위하여 선형감쇄계수를 고려한 필터를 선정하였다.
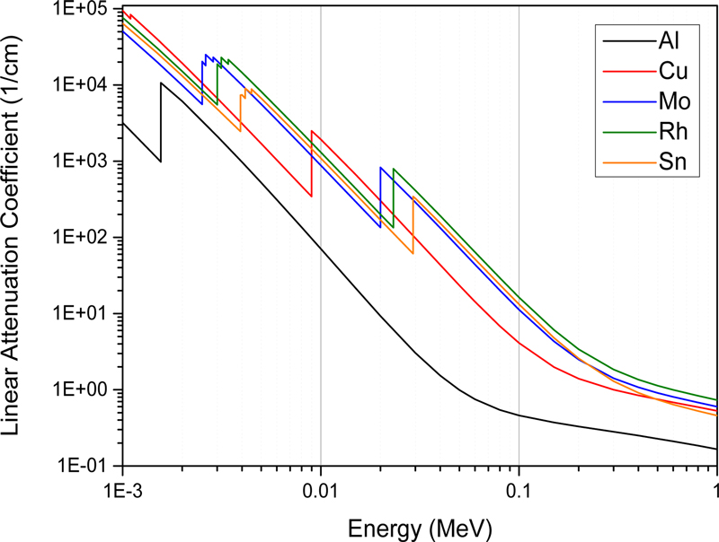
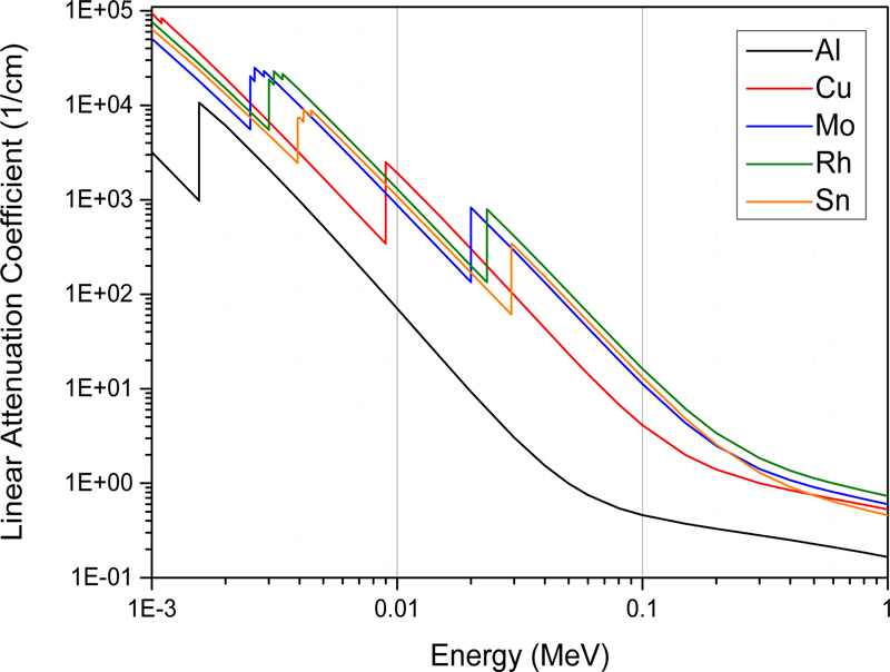
X-ray Tube에서 발생하는 스펙트럼을 조절해 환자의 피복선량을 줄이고 영상 형성에 유용한 광자의 비율을 높이기 위해 X-ray의 진행 방향에 필터가 사용하였다. 필터 후보 물질은 Al, Cu, Mo, Rh, Sn로 선정하였으며 각 물질의 선형감쇄계수는 Fig. 14와 같다.
Fig. 14

Linear attenuation coefficients of filter candidates

KSPE_2024_v41n11_905_f014.jpg
모든 에너지 영역에서 알루미늄(Al)의 감쇄 효과가 가장 적은 것을 확인할 수 있으며 구리(Cu), 몰리브데넘(Mo), 로듐(Rh), 주석(Sn)의 경우 각각 10, 20, 25, 30 keV 전후에서 감쇄 계수가 크게 변화하며 이 성질을 활용하여 여러 가지 필터를 조합하여 계산을 수행하였고 최종적으로 알루미늄, 몰리브데넘, 구리, 주석으로 구성된 필터를 구성하였다. Figs. 15부터 19는 각 타깃 물질별 X선의 스펙트럼이다.
Fig. 15

X-ray spectrum using an aluminum 1.0 mm filte

KSPE_2024_v41n11_905_f015.jpg
Fig. 16

X-ray spectrum using a Cu 0.1 mm filter

KSPE_2024_v41n11_905_f016.jpg
Fig. 17

X-ray spectrum using a Mo 0.1 mm filter

KSPE_2024_v41n11_905_f017.jpg
Fig. 18

X-ray spectrum using an Rh 0.1 mm filter

KSPE_2024_v41n11_905_f018.jpg
Fig. 19

X-ray spectrum using an Sn 0.1 mm filter

KSPE_2024_v41n11_905_f019.jpg
알루미늄 필터의 경우 전 에너지 영역에 거쳐 스펙트럼을 감쇄시키는 효과가 있으나 각 타깃의 스펙트럼의 중첩되는 부분이 많고 저에너지 영역의 특성 X-ray가 크게 감쇄되지 않아 다중에너지 X-ray의 필터로 부적합하다.
구리 필터의 경우 저에너지 영역의 특성 X-ray가 눈에 띄게 감쇄된 것을 확인할 수 있으나 로듐 타깃을 제외한 나머지 스펙트럼 들이 70 keV 전자빔과 텅스텐 타깃이 사용된 경우의 스펙트럼과 중첩되는 부분이 많아 다중에너지 X-ray의 필터로 적합하지 않다.
로듐, 몰브리데넘 필터의 경우 저에너지 영역과 고에너지 영역의 스펙트럼이 확실하게 구분되어 구리와 알루미늄 필터보다 좋은 성능을 보였으며, 주석 필터의 경우 고에너지 영역의 스펙트럼이 과도하게 감쇄되는 특성을 확인하였다. 따라서 듀얼 에너지 X-ray의 필터로는 로듐 또는 몰브리데넘 필터로 최종 선정하였다.
전산모사로 얻어진 두 가지 에너지영역의 데이터에 이미지 후 처리 기술을 적용시켜 다중에너지 X-ray Radiography를 비교를 위하여 연조직(Soft)과 경조직(Hard)을 더 명확하게 구분할 수 있게해주는 다중에너지 이미지 기술 중 Simple Log Subtraction (SLS) 방법을 사용하였다. SLS 방법은 저에너지, 고에너지 영역에서 얻은 X-ray 이미지 데이터에 가중치를 곱한 뒤 빼주는 방법이며, 다음 식(2)식(3)을 전산모사 결과에 적용시켜 수행하였다.
(2)
ISoftx,y=-ωHardILx,y+IHx,y
(3)
IHard x,y=-ωSoft ILx,y+IHx,y
앞서 선정한 타깃과 필터 후보물질에 대한 X-ray Radiography를 생성하기 위해 임의의 물(연조직 모사)과 알루미늄(경조직 모사)으로 이루어진 팬텀을 모델링 하였다.
Radiography Quality 평가는 식(4)을 이용해 Contrast to Noise Ratio (CNR)를 계산하여 이미지의 Quality를 평가하였다.
Figs. 20은 MCNP를 이용한 방사선 계산 시스템을 나타내며, 21은 시뮬레이션에 사용된 팬텀 구조이다.
Fig. 20

Radiography calculation system structure using MCNP

KSPE_2024_v41n11_905_f020.jpg
Fig. 21

Phantom structure used in MCNP computer simulation

KSPE_2024_v41n11_905_f021.jpg
(4)
CNR=MPVRoi-MPVBKGVARROI-VARROI
전산모사 결과 로듐 필터를 사용한 경우에 다중에너지 X-ray 이미지의 Quality가 가장 향상된 것으로 확인되었다. 단일 에너지 X-ray의 분석 결과 Figs. 22과 같이 팬텀 구조의 8번까지 확인이 되었지만 듀얼에너지 X-ray는 23과 같이 팬텀 구조의 9번까지 확인이 가능하여 X-ray 이미지의 Quality가 듀얼에너지 활용시 더욱 뛰어나다.
Fig. 22

W target+70 keV electron beam (single energy, single target used)

KSPE_2024_v41n11_905_f022.jpg
Fig. 23

Mo target+40 keV / W+70 keV (multi-energy, multiple targets used)

KSPE_2024_v41n11_905_f023.jpg
본 연구에서는 다중에너지를 활용한 X-ray의 설계를 MCNP 전산모사를 기반으로 진행하였다.
다중에너지 X-ray를 이용해 좋은 Quality의 Radiography를 얻기 위해서는 X-ray Tube에서 발생하는 저에너지와 고에너지 스펙트럼의 차이가 확실해야 한다. 전산모사에서는 CNR 값을 비교해 봤을 때, 70 keV 전자빔일 때 로듐 필터와 텅스텐 타깃, 40 keV 전자빔일 때 몰리브데넘 타깃의 경우의 다중에너지 X-ray Radiography가 가장 뛰어난 성능이 확인됨으로 40 keV-몰리브데넘 타깃, 70 keV-텅스텐 타깃, 로듐 필터의 조합이 Dual Energy X-ray Tube를 위한 최적의 조합으로 확인되었다.
이 논문은 2024년도 송원대학교 학술연구비 지원을 받아 연구되었음(No. C2024-01).

Fm

Main Cutting Force

Fr

Radial/Thrust Cutting Force

Fa

Feed Cutting Force

N

Shape Function

a^

Parameter

BKG

Background

ROI

Region of Interest

MPV

Mean Pixel Value

ωHard

Soft Tissue Weighting

ωSoft

Hard Tissue Weighting

IH

Images Obtained Using High Energy Electron Beams

IL

Images Obtained Using Low-energy Electron Beams

VAR

Variance
  • 1.
    Puddy, E., Hill, C., (2007), Interpretation of the chest radiograph, Continuing Education in Anaesthesia Critical Caca & Pair, 7(3), 71-75.
    10.1093/bjaceaccp/mkm014
  • 2.
    Kelly, B., (2012), The chest radiograph, The Ulster medical Journal, 81(3), 143.
  • 3.
    World Health Organization, (2016), Chest radiography in tuberculosis detection, World Health Organization.
  • 4.
    United Nations Scientific Committee on the Effects of Atomic Radiation, (2008), Sources and effects of Ionizing radiation: UNSCEAR 2008 Report. https://www.unscear.org/unscear/en/publications/2008_1.html
  • 5.
    Hwang, E. J., Park, S., Jin, K.-N., Kim, J. M., Choi, S. Y., Lee, J. H., Goo, J. M., Aum, J., Yim, J.-J., Cohen, J. G., Ferretti, G. R., Park, C. M., (2019), Development and validation of a deep learning-based automated detection algorithm for major thoracic diseases on chest radiographs, JAMA Network Open, 2(3), e191095.
    10.1001/jamanetworkopen.2019.1095
  • 6.
    Anis, S., Lai, K. W., Chuah, J. H., Ali, S. M., Mohafez, H., Hadizadeh, M., Yan, D., Ong, Z.-C., (2020), An overview of deep learning approaches in chest radiograph, IEEE Access, 8, 182347-182354.
    10.1109/ACCESS.2020.3028390
  • 7.
    Kolkoori, S., Wrobel, N., Dersesch, A., Redmer, B., Ewert, U., (2014), Dual high-energy X-ray digital radiography for material discrimination in cargo containers, Proceedings of the 11th European Conference on Non-Destructive Testing, 19(12), 1-10.
  • 8.
    Ferreira, J. R., Cardenas, D. A. C., Moreno, R. A., de Sá Rebelo, M. d. F., Krieger, J. E., Gutierrez, M. A., (2020), Multi-view ensemble convolutional neural network to improve classification of pneumonia in low contrast chest x-ray images, Proceedings of the 42nd Annual International Conference of the IEEE Engineering in Medicine & Biology Society (EMBC) 1238- 1241.
    10.1109/EMBC44109.2020.9176517
  • 9.
    Salehi, M., Mohammadi, R., Ghaffari, H., Sadighi, N., Reiazi, R., (2021), Automated detection of pneumonia cases using deep transfer learning with paediatric chest X-ray images, The British journal of radiology, 94(1121), 20201263.
    10.1259/bjr.20201263
  • 10.
    Geyl, R., (1994), Design and fabrication of three-mirror flat-field anastigmat for high-resolution earth observation, SPIE, 2210, 739-746.
    10.1117/12.188135
  • 11.
    Kim, J.-Y., Kim, Y.-S., Kwac, L.-K., Ma, S. D., Han, J.-H., (2000), Control performance evaluation of ultra precision servo apparatus(II), Proceedings of the Korean Society of Precision Engineering Conference, 617-620.
  • 12.
    Shiraishi, M., Uehara, K., (1979), In-process control of workpiece dimension in turning, Annals of the CIRP, 28(1), 333- 337.
Gyung-Il Lee
KSPE_2024_v41n11_905_bf001.jpg
Assistant Professor in the Department of Undeclared Majors, Songwon University. He is majoring in mechanical engineering and system engineering. His current research Dual servo system for nano-level processing, and Lightweight Design by Jointing of Meterogeneous Materials.

Download Citation

Download a citation file in RIS format that can be imported by all major citation management software, including EndNote, ProCite, RefWorks, and Reference Manager.

Format:

Include:

Development of Dual Energy Poteobeul X-ray Using MCNP
J. Korean Soc. Precis. Eng.. 2024;41(11):905-912.   Published online November 1, 2024
Download Citation

Download a citation file in RIS format that can be imported by all major citation management software, including EndNote, ProCite, RefWorks, and Reference Manager.

Format:
Include:
Development of Dual Energy Poteobeul X-ray Using MCNP
J. Korean Soc. Precis. Eng.. 2024;41(11):905-912.   Published online November 1, 2024
Close

Figure

  • 0
  • 1
  • 2
  • 3
  • 4
  • 5
  • 6
  • 7
  • 8
  • 9
  • 10
  • 11
  • 12
  • 13
  • 14
  • 15
  • 16
  • 17
  • 18
  • 19
  • 20
  • 21
  • 22
Development of Dual Energy Poteobeul X-ray Using MCNP
Image Image Image Image Image Image Image Image Image Image Image Image Image Image Image Image Image Image Image Image Image Image Image
Fig. 1 Change of dual energy function F(Z) according to atomic number (Z)
Fig. 2 Changes in dual energy function F(Z,t) according to atomic number (Z) and thickness (t)
Fig. 3 design process
Fig. 4 Optimized geometry - cathode
Fig. 5 Optimized geometry
Fig. 6 Electromagnet model and magnetic field measurement location
Fig. 7 40keV electron beam bent by the magnetic field of an electromagnet
Fig. 8 Electron distribution in z-y direction at target plane
Fig. 9 Electron distribution in x-y direction at target plane
Fig. 10 x-direction charge density distribution
Fig. 11 y-direction charge density distribution
Fig. 12 MCNP computerized simulation procedure
Fig. 13 X-ray spectrum generated from selected target material
Fig. 14 Linear attenuation coefficients of filter candidates
Fig. 15 X-ray spectrum using an aluminum 1.0 mm filte
Fig. 16 X-ray spectrum using a Cu 0.1 mm filter
Fig. 17 X-ray spectrum using a Mo 0.1 mm filter
Fig. 18 X-ray spectrum using an Rh 0.1 mm filter
Fig. 19 X-ray spectrum using an Sn 0.1 mm filter
Fig. 20 Radiography calculation system structure using MCNP
Fig. 21 Phantom structure used in MCNP computer simulation
Fig. 22 W target+70 keV electron beam (single energy, single target used)
Fig. 23 Mo target+40 keV / W+70 keV (multi-energy, multiple targets used)
Development of Dual Energy Poteobeul X-ray Using MCNP

Comparison of triple target and dual target

Modle Triple Target Dual Target
Number of targets 3 2
Target’s location Upper, middle, lower Upper, middle
Strength of magnetic field > 200 Gauss < 200 Gauss
Special feature Conventional Model
Large tube radius due to number of targets High intensity magnetic field required Increased electromagnet volume
Large Focal Spot Value
Newly optimized model
Small tube radius Weak magnetic field strength
Reduced electromagnet volume Small and uniform
Focal Spot Value even with different energies

Dual target design goals

Design goals
Number of targets 2
Target separation distance 2 mm
Energy and Position 40 keV, Anode top
70 keV, Anode center
Magnetic field strength < 200 Gauss
Focal Spot Value 40, 70 keV, f=0.4
Table 1 Comparison of triple target and dual target
Table 2 Dual target design goals