Skip to main navigation Skip to main content
  • E-Submission

JKSPE : Journal of the Korean Society for Precision Engineering

OPEN ACCESS
ABOUT
BROWSE ARTICLES
EDITORIAL POLICIES
FOR CONTRIBUTORS
REGULAR

다양한 속도의 리칭동작에서의 상지 근육간 동적 및 정적 협응

Phasic and Tonic Coordination among Upper-limb Muscles in Different Speeds of Reaching Movement

Journal of the Korean Society for Precision Engineering 2025;42(2):105-120.
Published online: February 1, 2025

1 건국대학교 대학원 의학공학과

1 Department of Biomedical Engineering, Graduate School, Konkuk University

#E-mail: gmeom@kku.ac.kr, TEL: +82-43-840-3764
• Received: September 12, 2024   • Revised: November 9, 2024   • Accepted: November 16, 2024

Copyright © The Korean Society for Precision Engineering

This is an Open-Access article distributed under the terms of the Creative Commons Attribution Non-Commercial License (http://creativecommons.org/licenses/by-nc/3.0) which permits unrestricted non-commercial use, distribution, and reproduction in any medium, provided the original work is properly cited.

  • 5 Views
  • 0 Download
prev next
  • In the rehabilitation of upper limb function impaired by stroke, facilitating the coordinated activation of multiple muscles is desirable. This study aims to analyze the coordination patterns of the tonic and phasic components of EMG during a reaching task and to investigate how the phasic component changes in relation to reaching speed. The analysis focused on the shoulder and elbow joints. EMG was recorded at five different speeds, with the slowest speed selected to represent the tonic component. The tonic component was then removed from the total EMG at the other four speeds to extract the phasic component. Correlation coefficients were calculated between the tonic component and joint angles, as well as between the phasic component and joint angular accelerations. For the tonic component, as joint angle increased during reaching, muscle activation also increased to counteract gravitational moments and enhance joint stiffness. For the phasic component, as reaching speed increased, the correlation between acceleration-deceleration patterns and muscle activation also increased. This suggests a greater synergistic contraction for enhanced acceleration and deceleration, as well as increased antagonistic contraction to ensure dynamic stability during faster movements.
뇌졸중은 뇌경색이나 뇌출혈로 인해 뇌가 손상되는 뇌혈관질환으로[1,2] 전 세계적으로 주요한 사망 원인이며, 생존자에게는 장기적인 장애를 남긴다. 뇌졸중으로 인해 발생하는 대표적인 후유증은 손상된 뇌의 반대편 상하지에 운동 및 감각기능의 마비가 발생하는 편마비 증상이다[3,4]. 이는 개인의 삶의 질과 사회 경제적 비용도 크게 증가시키므로, 효과적인 재활을 통한 신속한 기능회복이 필요하다. 환자의 효과적인 기능 회복을 위해서는 뇌 가소성을 촉진하는 것이 중요하다. 뇌의 가소성으로 인해 뇌에서 손상된 부분의 기능을 대신하며, 새로운 연결을 형성하거나 기존 연결을 재조정함으로써 뇌가 기능적으로 회복하게 된다[5].
이때, 하지에 비해 상지의 완전한 기능회복이 어렵고 회복속도도 느리다는 것이 보고되었으며[1], 일반적으로 상지의 운동 기능 회복은 근위부에서 원위부 순으로 회복되므로[6], 상지의 근위부인 어깨의 효과적인 재활이 중요하다. 한편, 물건 집어 옮기기, 식사하기, 옷 입기 등을 수행하는데 동반되는 리칭동작 [7,8]은 일상생활에서 매우 중요한 동작이며, 어깨 관절의 재활에 있어 필수적인 동작이다. 리칭동작은 많은 근육들의 협응(Coordination)으로 발생하므로, 근육간 협응에 대한 이해는 효과적인 재활에 큰 도움이 될 수 있다.
어깨관절의 운동방향은 굴곡(Flexion)/신전(Extension), 외전(Abduction)/내전(Adduction), 외회전(External Rotation)/내회전(Internal Rotation)으로 구성되어 있으며[9], 일상생활 활동을 수행하기 위해서는 어깨관절의 3축 운동이 동시에 이루어져야 하며, 여러 근육이 서로 협응(Coordination)하여 목표하는 운동을 수행한다. 이러한 근육간의 협응은 순간적으로 큰 힘이 발생할 수 있게 하며, 또한 저크(Jerk)를 최소화하여 부드러운 동작을 가능하게 하고, 관절의 안정성(Stability)을 확보하기 위해서도 필수적이다[10,11].
근육간의 협응을 파악하기 위해서는 여러 근육의 근전도 패턴을 분석하고, 이를 운동학(Kinematic) 데이터와 연관지어 해석하는 것이 바람직하다. 선행연구로서, 어깨의 굽힘동작과 신전동작에서의 EMG분석[12], 올림 동작에서 어깨의 피로에 따른 EMG 분석[13], 팔뻗기 동작에서 속도와 정확성에 따른 EMG 패턴의 변화 분석[14]이 있었다. 그러나, 이 연구들에서는 근전도 패턴만을 분석했을 뿐 운동학 데이터와의 관련성을 해석하지 못했다.
또한, 근육의 활성화도를, 동작의 가속과 감속을 수행하기 위한 동적(Phasic) 성분과, 중력에 대항하거나 대항작용을 수행하기 위한 정적(Tonic) 성분으로 나누면 [15-18], 근육간의 협응을 보다 심층적으로 분석할 수 있다. 빠른 동작에서는 관절의 가감속이 크게 되므로, 이러한 가감속을 달성하기 위해 근육간의 동적 협응이 동작속도에 따라 변화할 가능성이 있다. 또한, 정적성분은 관절각도가 증가하여 중력모멘트가 증가하면 이에 저항하기 위한 증가와 더불어 관절의 강성도를 높이는 방향으로 변화할 가능성이 있다.
따라서 본 연구에서는 리칭동작을 대상으로 어깨관절 근육의 동적 및 정적 성분의 협응패턴을 운동학 데이터와의 관계를 통해 조사하는 것을 목적으로 한다. 정적 성분에 대해서는, 근전도와 관절각도의 상관관계를 조사하고 동적 성분에 대해서는, 근전도와 각가속도와의 상관관계가 리칭속도에 따라 변화하는 양상을 조사하고자 한다.
2.1 피험자
피험자로는 건강한 20대 성인 남성 8명을 대상으로 하였고 (Table 1), 어깨관절에 대한 정형외과적/신경외과적 병력을 보유하고 있는 자, 3개월 이내에 상지 수술의 이력이 있는 자는 제외하였다. 모든 피험자는 일상생활활동에 필요한 운동범위[19]를 정상적으로 수행할 수 있었다. 피험자는 실험을 시작하기 전 연구 내용에 대해 충분한 설명을 들은 후 동의서에 서명을 하였으며, 이 연구는 건국대학교 기관생명윤리위원회의 승인(7001355-202110-HR-475)을 받았다.
Table 1

Subject characteristics

Table 1
Characteristics Subjects (n = 8)
Age 25.73±1.73
Height [cm] 174.17±4.98
Sitting height [cm] 140.26±6.24
Arm length [cm] 76.71±4.32
Gender male
2.2 실험 방법
속도에 따른 상지의 리칭동작을 계측하기 위해, 운동학 데이터는9대의 카메라(Kestrel 300 and Eagle, Motion Analysis, CA)를 사용하여 120 Hz로 측정되었다. 반사마커는 Modified Upper-limb Helen-Hayes 마커셋을 사용하여 Fig. 1과 같이 부착하였으며, 13개의 무선근전도 및 심전도 측정 센서(Avanti/Trigno, Delsys, MA)를 사용하여 Fig. 1과 같이 피험자의 상지부분에 12개의 무선근전도 센서와 1개의 무선심전도 센서를 부착하였다. 무선근전도 센서는 전면에는 대흉근(UPM, LPM), 전면 및 중간삼각근(AD, MD), 이두근(BL), 후면에는 승모근(LT, MT, UT), 광배근(LD), 극하근(IF), 후면삼각근(PD), 삼두근(TL)에 부착하였다. 모든 무전근전도 센서는 명확한 근육활동을 감지할 수 있는 운동점(Motor Point)에 부착하였다. 이 때, 피부 임피던스를 최소화하기 위해 피험자의 피부를 소독용 알코올로 닦은 후 근전도/심전도 센서를 부착하였다.
Fig. 1

EMG and ECG sensors and reflective marker attachment locations front: UPM = Upper Pectoralis Major, LPM = Lower Pectoralis major, AD = Anterior Deltoid, MD = Middle Deltoid, BL = Biceps Longhead; Back: LT = Lower Trapezius, MT = Middle Trapezius, UT = Upper Trapezius, LD = Latissimus Dorsi, IF = Infraspinatus, PD = Posterior Deltoid, TL = Triceps Longhead

KSPE_2025_v42n2_105_f001.jpg
동작의 시작 자세는 Fig. 2(a)와 같이 팔꿈치 각도가 90o가 되도록 한 후 끝부분에 둥근 반사마커가 부착된 스타일러스(Stylus) [15]를 쥐고 의자의 팔걸이 부분에 있는 압력센서(FSR)에 팔을 올려놓았다. 피험자는 자연스럽게 팔을 들어올려Fig. 2(b)와 같이 전방에 있는 기둥의 압력센서에 스타일러스의 반사마커를 터치하는 리칭동작을 수행하였다. 팔걸이와 기둥의 압력센서로부터 추출된 리칭(Reaching)구간을 0-100%로 하고, 동작시간은 USB-6001 DAQ(782604-01, NI, TX)를 사용하여 100 Hz에서 수집되었다. 또한, 동일한 시간을 리칭구간의 전후로 설정하여 각각 준비(Preparation)구간(-100-0%)과 완료(Completion)구간(100-200%)라고 명명하였다.
Fig. 2

Experimental postures of reaching task. Initial (a) and final (b) postures

KSPE_2025_v42n2_105_f002.jpg
Table 2와 같이 리칭속도는 5가지 리칭구간의 소요시간(4, 2,1, 0.5초, 가장빠르게)으로 지정하였다. 이중, 가장 느린 속도의 동작은 정적이라고 간주하여Tonic이라고 명명하고, 나머지 속도는 Speed 1-4로 명명하였다. 리칭시간은 동작직후 피험자에게 즉각적으로 피드백 되었다. 준비구간과 완료구간의 데이터를 얻기 위해 리칭전후로 Fig. 2의 시작자세와 종료자세를10초간 유지하도록 하였다. 리칭속도별로 충분한 연습 후에 3번씩 동작을 수행하였으며, 매 동작 후 동작시간만큼의 휴식시간이 주어졌다.
Table 2

The speed of the experimental movements instructed to the subject.

Table 2
Speed Tonic Speed 1
Reaching time (s) Target 4 2
Actual 4.13±0.20 2.16±0.14
Speed Speed 2 Speed 3
Reaching time (s) Target 1 0.5
Actual 1.10±0.08 0.53±0.03
Speed Speed 4
Reaching time (s) Target The fastest
Actual 0.34 ±0.03
2.3 분석 및 통계
모션캡쳐 카메라를 통해 측정한 데이터로부터 Cortex Software(Motion Analysis, CA)를 사용하여 각 구간별 어깨관절과 팔꿈치관절의 각도, 각가속도를 계산하였다.
EMG 데이터에서는 혼입된 ECG를 제거하기 위해 LabView(National Instruments, TX)가 제공하는 적응필터를 사용하였다 [20]. 실험시작 후 적응필터의 적응 시간 1분을 기다렸으며, 심전도 센서를 통해 얻은 ECG로부터 근전도에 혼입된 ECG 잡음을 생성하고, 이를 근전도로부터 제거하였다. 이후 근전도의 고주파잡음을 제거하기 위해 Butterworth 4차 저역통과필터(차단 주파수 30 Hz)로 필터링하고 Offset 보정 후 전파정류를 통해 EMG포락선을 추출하였다.
모든 속도의 근전도의 시간적 해상도를 일치시키고 데이터 손실을 최소화하기 위해, EMG 포락선을 가장 빠른 속도의 데이터 사이즈에 맞추는 선형보간을 수행하였다.
EMG 정규화(Normalization)는 다양한 근육, 시간 변화, 피험자 간의 활동을 비교하기 위해 필수적이다[21-25].
EMG 정규화에 일반적으로 사용되는 방법은 MVC (Maximum Voluntary Contraction) EMG를 기준으로 한 정규화이며[26-29], 이 방법은 각 참여자의 최대 근육 활성 수준을 기준으로 상대적인 근육 활성도를 비교하기 용이하다는 장점이 있다. 그러나 피험자 간의 MVC EMG 변동성이 크고[30,31], 근육의 최대 활성화 능력을 충분히 반영하지 못한다는 한계가 있다[32].
연구[23,33]에 따르면, 운동 중에 발생하는 최대 EMG 값을 기준으로 데이터를 정규화 하는[23,33,34] Dynamic Peak Method는 피험자 간 변동성을 줄이고 다양한 속도와 근육 길이 변화가 포함된 동적 운동에서 MVC 정규화의 한계를 극복할 수 있다 [23,33]. 또한 이 방법은 신경학적 장애를 가진 환자의 EMG를 정규화하는 데 유일하게 사용되는 방법으로 알려져 있다[25].
따라서 본 연구에서의 EMG 정규화는 선형보간된 EMG 포락선을 각 근육의 동작 중 최대 측정값으로 정규화하는 Dynamic Peak Method를 사용하였다.
가장 느린 속도에서의 동작은 거의 정적이므로 팔을 중력에 대항해 자세를 유지하는 데 필요한 정적 구성요소로 생각하고, 이 속도에서의 EMG를 정적(Tonic)성분으로 설정하였다[15]. 이를 서로 다른 속도에서의 전체 EMG에서 제거하여 식(1)과 같이 동적(Phasic)성분을 추출하였다[15,17,18].
(1)
EMGPhasic =EMGtotal -EMGTonic 
정적 근전도에 대해 어깨굴곡각도 및 팔꿈치신전각도와의 상관관계분석을 진행하였다. 동적근전도에 대해서는 다음의 분석을 수행하였다. 먼저, 동적근전도를 동작분석 데이터의 각가속도를 기준으로 어깨굴곡 및 팔꿈치신전의 가속구간과 감속구간으로 분리하였다. 각 구간별로 각가속도와 동적근전도와의 상관계수를 신출하고, 리칭속도에 따른 변화를 분석하였다.
모든 통계처리에는 SPSS26 (IBM, New York)를 사용하였다.
3.1 운동학데이터
Fig. 3은 리칭동작중의 어깨관절 각도(a)와 팔꿈치관절 각도(b)를 나타낸다. 어깨관절의 경우, 관상면에서는 약 5o의 외전이 발생한 후 다시 복귀되었고, 시상면에서는 동작전반에 걸쳐 약 90o의 굴곡이 진행되었으며, 횡단면에서는 약 30o의 내회전이 동작 중후반에 걸쳐 발생하였다. 따라서, 주된 동작은 시상면에 서의 굴곡이었다.
Fig. 3

Shoulder and elbow joint angles. Solid line and gray area represent the average and SD of all subjects’ trials, respectively

KSPE_2025_v42n2_105_f003.jpg
팔꿈치관절의 경우, 동작 전반에 걸쳐 관상면에서 약 15o의 외전이 발생하였으며, 시상면에서는 약 50o의 신전이 발생하였다. 또한, 횡단면에서는 약 5o의 외회전이 발생하였다. 따라서, 주된 동작은 시상면에서의 신전이었다.
Fig. 4는 각도변화가 가장 크게 일어난 시상면에서의 어깨관절(a)과 팔꿈치관절(b)의 각가속도를 나타낸다. 두 관절 모두 리칭속도가 증가함에 따라 가속과 감속이 커지는 것이 확인된다. 어깨관절의 경우, 리칭구간 직전에 굴곡을 위한 가속이 먼저 발현되고, 동작의 중간(50%) 부분에서 신전을 통한 감속 성분이 발현된다. 팔꿈치관절의 경우, 리칭구간의 시작시점 직후에 신전을 위한 가속이 먼저 발현되고, 동작의 후반(약70%) 부분에서 감속 성분이 발현된다.
Fig. 4

Angular acceleration on the sagittal plane of shoulder joint(a) and elbow joint(b) in different reaching speeds

KSPE_2025_v42n2_105_f004.jpg
3.2 정적근전도
Fig. 5는 근전도의 정적 성분이다. 리칭구간에서 대부분의 근육의 근전도가 증가하였으며, 이러한 경향은 특히 후면근육인 LD, IF, 3개 승모근(UT, MT, LT)와, 전면과 측면근육인 AD, MD, BL에서 두드러졌다.
Fig. 5

Tonic component of EMG

KSPE_2025_v42n2_105_f005.jpg
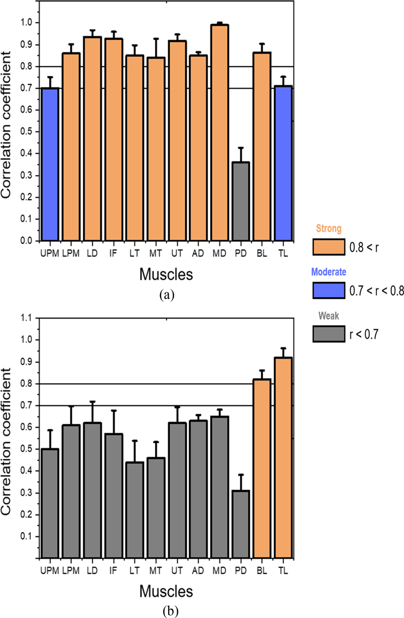
Fig. 6은 어깨관절 및 팔꿈치관절의 시상면 각도와 근전도의 정적 성분과의 상관계수를 나타낸다.
Fig. 6

Correlation between shoulder flexion angle and tonic EMG(a), elbow extension angle and tonic EMG(b)

KSPE_2025_v42n2_105_f006.jpg
어깨관절(a)의 경우, 대부분 근육의 정적근전도가 어깨굴곡각도와 중도 및 강한 상관을 보였으며, 특히, LD, IF, UT, MD에서 강한 상관을 보였다(r>0.8). 또한, PD를 제외한 나머지 모든 근육, 즉, UPM, LPM, LT, MT, AD, BL, TL에서는 중도의 상관을 나타냈다(0.7 < r < 0.8).
팔꿈치관절(b)의 경우, TL에서 강한 상관을 보였으며(r > 0.8), BL에서도 중도의 상관을 보였다(0.7 < r < 0.8).
3.3 동적근전도
Fig. 7은 모든 피험자의 평균적인 동적근전도의 속도별 패턴을 나타낸다. 모든 근육에서 속도가 증가함에 따라 동적근전도가 커지는 경향을 보인다. 또한, PD와 TL을 제외한 대부분의 근육에서 두개의 피크(동작시작0% 직후와 동작완료 100% 직전)를 보인다. PD와 TL은 동작의 중간(50%) 부근에서 한 개의 피크를 보인다.
Fig. 7

Phasic component of EMG

KSPE_2025_v42n2_105_f007.jpg
Fig. 8은 어깨관절의 굴곡 각가속도와 동적근전도의 상관관계이다. 동작속도증가에 따른 상관계수의 변화량(Δr)에 따라 세가지 그룹으로 분리하였다. 0.5 < |Δr|인 근육은 UPM, LPM, LD, IF, AD, MD, BL이었다(Fig. 8(a)). 0.2 < |Δr| < 0.5인 근육은 승모근(LT, MT, UT)이었다(Fig. 8(b)). |Δr| < 0.2이면서 상관계수 자체가 유의하지 않았던(p > 0.05) 근육은 PD, TL이었다(Fig. 8(c)).
Fig. 8

Correlation between shoulder acceleration and phasic EMG

KSPE_2025_v42n2_105_f008.jpg
Fig. 9는 어깨관절굴곡의 감속도(음의 각가속도)와 동적근전도의 상관관계이다. 동작속도증가에 따른 상관계수의 변화량(Δr)에 따라 세가지 그룹으로 분리하였다. 0.5 < |Δr|인 근육은 PD, TL이었고(Fig. 9(a)), 0.2 < |Δr| < 0.5인 근육은 IF, UT, AD, MD, BL이었다(Fig. 9(b)). 나머지 근육에서는 상관계수 자체가 유의하지 않았다(p > 0.05, Fig. 9(c)).
Fig. 9

Correlation between shoulder deceleration and phasic EMG

KSPE_2025_v42n2_105_f009.jpg
Fig. 10은 팔꿈치관절의 신전 각가속도와 동적근전도의 동작속도 증가에 따른 상관관계이다. 팔꿈치 관절에 직접적인 영향을 미치는 근육그룹(a)과 직접적인 영향을 미치지 않는 근육그룹(b)으로 분리하였다. 팔꿈치 신전근인 TL은 동작속도가 증가함에 따라 상관계수 또한 증가(Δr = 0.57)하였으나, BL은 변화가 없었다 (Fig. 10(a)). 직접적인 영향을 미치지 않는 근육그룹(b)의 평균적인 상관계수의 변화량(Δr)의 평균은 0.07이었다(Fig. 10(b)).
Fig. 10

Correlation between elbow acceleration and phasic EMG

KSPE_2025_v42n2_105_f010.jpg
Fig. 11은 팔꿈치관절의 신전 감속도(음의 각가속도)와 동적근전도의 동작속도 증가에 따른 상관관계이다. 팔꿈치 관절 굴곡근인 BL은 동작속도가 증가함에 따라 상관계수가 증가(Δr = 0.46)하였으며, TL은 동작속도가 증가함에 따라 상관계수가 감소(Δr = -0.21) 하였다(Fig. 11(a)). 직접적인 영향을 미치지 않는 근육그룹(b)의 평균적인 상관계수의 변화량(Δr)의 평균은 0.00이었다(Fig. 11(b)).
Fig. 11

Correlation between elbow deceleration and phasic EMG

KSPE_2025_v42n2_105_f011.jpg
4.1 정적 근전도와 어깨굴곡각도
리칭동작중의 어깨관절의 ROM은 시상면에서의 굴곡이 가장컸다. 어깨의 굴곡각도가 커지면 상지의 하중에 의한 중력모멘트의 증가하고 이것이 어깨관절의 신전모멘트로서 작용하므로, 이를 상쇄하기 위한 굴곡근의 활성화가 필요하다. 또한, 굴곡근의 수축으로 인한 관절의 불안정성을 줄이기 위한 길항수축도 필요하다. 따라서, 정적 성분에서는 어깨관절에 작용하는 모든 근육들의 공동수축이 필요할 것으로 예상되며, 실제로 각도의 증가에 따라 대부분 근육의 근전도가 증가하는 패턴을 보였다 (Fig. 5).
즉, 신전모멘트를 발생시키는 PD를 제외한 모든 근육의 정적 근전도와 굴곡각도와의 평균 상관계수가 0.7 이상이었으며, 특히 12개 중 9개의 근육에서(LPM, LD, IF, LT, MT, UT, AD, MD, BL)에서 굴곡각도와의 강한 상관성을 보였다(r > 0.8, Fig. 6).
이러한 결과는 우선, 시상면에서의 어깨굴곡각도의 증가에 따라 증가하는 중력모멘트를 상쇄하기 위해 어깨굴곡의 작용을 가지는 AD, UPM, BL의 활성화를 통해 굴곡모멘트를 유발하는 것으로 해석된다.
또한 리칭동작에는 관상면에서의 어깨관절의 안정성을 유지하는 것이 중요한데, 어깨굴곡각도가 증가함에 따라 외전근(Abductor)인 MD, 이에 길항작용을 하는 내전근(Adductor)인 LPM과 신전, 내전, 외선(External Rotator)의 작용을 동시에 수행하는 LD의 동시적인 수축이 증가하는 것으로 판단된다.
또한, 리칭을 위해서는 견갑골의 안정성을 유지하는 것도 중요한데[35,36], 견갑골의 거상 및 상방회전을 위한 UT, 견갑골 Retraction과 하강을 유도하는 MT 및 LT[37]의 동시적 수축이 굴곡각도의 증가에 따라 증가하는 것으로 보아, 굴곡각도가 커지면 견갑골 안정의 필요가 커지는 것으로 보인다. 이러한 결과는 굴곡각도 증가에 따른 견갑골의 상방회전에 따라 UT, MT, LT에서 79-101% MVIC범위의 EMG가 관찰되었다는 연구결과 [38], UT에 의해 발생하는 견갑골 거상(Scapular Elevation)을 안정화하기 위한 견갑골Retraction 및 Depression이 동시에 발생하는 것에 의해서, UT, MT, LT의 EMG가 비슷하게 증가한다는 연구결과[39], UT와 LT의 근력 불균형이 있을 경우 비정상적인 견갑골 움직임을 초래한다는 연구결과[40], 손에 잡은 부하의 무게증가에 따라 UT 및 AD의 활성이 증가하고, 이에 대항하는 LT의 수축이 정상적인 견갑골 운동학을 가능하게 한다는 연구 결과[41]들에 의해 지지된다.
또한, 회전근개 근육은 어깨관절에서 상완골과 견갑골 사이의 안정성을 제공하는데[42], 특히 상완골두를 내측으로 당겨서 어깨관절을 안정화하는 IF의 필요성도 어깨굴곡각도의 증가에 따라 증가하는 것으로 보인다. 이러한 IF 활성도의 증가는 다음의 연구들에 의해 지지된다. 즉, 어깨 굴곡시 후방 회전근개(Rotator Cuff)인 IF의 활성화가 어깨 관절의 전후방향[43]과 회전(Rotation)방향[44] 안정화에 중요한 역할을 한다는 연구결과, 어깨굴곡각도가 증가하면 IF의 활성화도 따라서 증가하는 연구 [45,46]들이 그것이다.
4.2 정적 근전도와 팔꿈치 신전각도
팔꿈치신전각도와 강한 상관을 나타내는 정적근전도는 BL과 TL이었다.
TL은 팔꿈치 관절의 신전모멘트, 어깨관절에서 작은 신전 및 내전모멘트를 유발하며[47], BL은 어깨관절의 굴곡과 동시에 팔꿈치 관절의 굴곡모멘트를 유발한다. 리칭과정에서 팔꿈치신전의 증가와 더불어 전완(Forearm)의 중력에 의한 팔꿈치신전 모멘트가 증가하므로, 이에 저항하기 위해서 팔꿈치 굴곡작용을 하는 BL의 활성도가 증가하여 팔꿈치 신전각도와의 상관이 크게 나타난 것으로 보인다. 또한, 팔꿈치신전 과정에서 팔꿈치 관절의 안정성이 낮아지므로 [48,49], TL과 BL의 길항수축으로 팔꿈치 관절의 강성도를 높이는 것으로 보인다. 실제로 BL과 TL 모두팔꿈치관절신전각도와강한상관성을보였다(r > 0.8, Fig. 6(b)).
Fig. 6(b)의 TL 근전도와 어깨관절 각도의 0.7의 moderate상관은, TL과 팔꿈치신전각도와의 큰 상관(r > 0.9)이, 팔꿈치신전 각도와 어깨굴곡각도의 높은 상관관계(r = 0.95 ± 0.008)에 의해 투영되어 부수적으로 나타나는 것으로 해석된다.
4.3 동적근전도와 어깨관절 가감속
어깨관절 굴곡가속과 동적근전도와의 상관성이 리칭속도에 따라 크게 증가하는(0.5 < |Δr|) 근육은 7개 (UPM, LPM, LD, IF, AD, MD, BL)였다 (Fig. 8(a)). 이중, UPM, AD는 리칭속도에 따라 굴곡가속과의 상관성이 가장 크게 증가하였는데(0.7 < |Δr|), 이 근육들은 어깨굴곡의 주동근[50-54]이므로 동작속도의 증가에 따른 급가속을 위해 굴곡가속도와의 상관성이 크게 증가한 것으로 판단된다. 이 두 근육은 내회전(Internal Rotation)의 기능도 가지며, AD는 외전동작에도 관여하는 것으로 보고되었다 [12,55,56]. BL도 어깨굴곡가속을 유발하므로, AD, UPM과 함께 높은 리칭속도에서 가속도와의 커플링이 증가하는 것으로 이해 할 수 있다.
AD, UPM, BL 세 근육의 동심성협력수축에 의한 급가속에 따르는 상완골두의 이동[60,61]과 같은 어깨관절의 불안정성을 해소하기 위한 길항근의 동시수축이 요구되는데, 신전과 외회전 (External Rotation), 그리고 내전, 외전 모멘트가 길항적으로 작용할 수 있다. 따라서, 신전과 외회전 모멘트를 발생[12]하는 LD, 내전모멘트와 신전모멘트를 발생[12]하는 LPM, 외전모멘트를 발생하는 MD, 상완골두가 과도하게 이동하는 것을 방지[12]하고 관절에 밀착시키며 외회전 작용을 하는 IF들이 가속구간에서 활성화되어 가속도와의 상관이 증가한 것으로 판단된다.
또한, BL은 어깨관절의 동적안정성을 유지하기 위해서도 작용하는데[57-59], 리칭속도의 증가에 따라 동적안정성의 필요성도 증가하는 것으로 해석할 수 있다. BL의 동적안정성 유지 기능에 대해서는, BL이 회전근개 병변이 있을 때, 상완골두를 관절와에 고정하여 동적 안정화에 중요한 역할을 한다는 연구결과[57,58], BL이 손상되었을 때 상완골 두부가 위쪽으로 이동한다는 연구결과[59]에 의해 지지된다.
승모근(LT, MT, UT)의 동적근전도는 리칭속도가 증가함에 따라 굴곡가속도와의 상관성이 소폭 증가하였다. 어깨굴곡동작에는 견갑골의 상방 회전(Upward Rotation)이 수반되는데[12,37], 이때 견갑골의 안정성을 위해서, 상방회전을 유발하는 UT, LT와 하방회전(Downward Rotation)을 유발하는 MT의 동시적 수축이 발생한다[62]. 따라서 리칭속도의 증가에 따른 견갑골 안정성의 필요가 증가해서, 세 근육의 각가속도와의 상관이 소폭 증가한 것으로 해석된다(0.2 < |Δr| < 0.5, Fig. 8(b)).
상관계수의 동작속도에 따른 변화가 미미했던 (|Δr| < 0.2) 근육은 PD와 TL로서, 이들은 어깨관절의 신전모멘트를 발생하므로[47] 가속구간에서의 역할이 없는 것으로 해석된다.
어깨굴곡의 감속도와 동적근전도와의 상관성이 리칭속도에 따라 크게 증가하는(0.5 < |Δr|) 근육은 어깨관절 신전모멘트를 발생하는 PD와 TL[47]이었다 (Fig. 9(a)). 이 근육들은 신전모멘트를 발생하는 이심성수축을 통해 어깨 감속에 기여한 것으로 보인다.
어깨감속과 근전도의 상관성이 리칭속도에 따라 감소하는 근육이 있었고 (Fig. 9(b)), 어깨굴곡근인 AD에서 가장 큰 감소를 보였다. 느린 리칭속도에서는 굴곡방향의 관성모멘트가 작으므로 굴곡근의 활성도를 낮추어서 감속이 가능하고, 관절안정성을 위하여 길항근들의 협력수축이 필요할 수 있다. 반면, 리칭속도가 빠를때는 신전근의 활성화가 필요하고, 굴곡방향의 관성모멘트가 신전근에 대한 길항작용을 수행하므로 어깨굴곡근에 의한 길항수축의 필요성이 저하될 것으로 예상된다. 이는 Fig. 9(b)를 통해 확인할 수 있는데, 특히, 동작속도가 커지면서 AD (Δr = -0.43), BL (Δr = -0.23)의 상관성이 크게 감소한 것은, 속도가 증가함에 따라 감속을 위한 신전근(PD, TL) 수축에 대한 길항작용을 관성모멘트가 대신하였기 때문으로 판단된다.
4.4 동적근전도와 팔꿈치관절 가감속
어깨관절의 굴곡가속에 연이어서 팔꿈치관절의 신전가속이 발현된다(Fig. 4(b)). 어깨관절 굴곡가속과 TL의 동적 성분의 상관이 유의하지 않았던 것(Fig. 8)과 달리, 팔꿈치관절 신전가속구 간에서는 리칭속도가 증가함에 따라 TL의 상관성이 크게 증가하였으며, BL의 상관은 작고 변화가 없었다 (Fig. 10(a)). 이러한 결과는 팔꿈치의 신전모멘트를 유발하는 주동근인 TL의 역할이 리칭속도의 증가에 더불어 증가하며, 길항근인 BL은 가속을 방해하므로 신전가속과의 관계성이 억제된 것으로 해석된다.
어깨관절 굴곡감속과 동시에 동작의 후반(70%) 부분에서 굴곡을 통한 팔꿈치 관절 신전의 감속이 발현되는데(Fig. 4(b)), 이 구간에서는 속도가 증가함에 따라 BL의 상관성이 크게 증가하였으며, TL의 상관성은 감소하는 형태를 보였다(Fig. 11). 이 결과는, 리칭속도가 증가하면, 팔꿈치 신전의 감속을 위한 팔꿈치 굴곡모멘트 증가를 위해 BL의 이심성 수축이 증가하고, 팔꿈치 신전모멘트를 발생시키는 TL이 억제되는 것으로 해석된다.
팔꿈치관절의 가속구간과 감속구간에서의 BL과 TL을 제외한 나머지 근육들의 평균적 상관계수 변화량은 가속구간에서 0.07 (Fig. 10(b)), 감속구간에서 0.00 (Fig. 11(b))로 팔꿈치관절의 가감속에 큰 영향을 미치지 못하는 것으로 해석된다.
4.5 Further Study
본 연구에서는 근전도(EMG)신호를 동적(Phasic) 성분과 정적(Tonic) 성분으로 분리하여, 동적 성분은 각가속도와, 정적 성분은 각도와의 상관관계를 분석하였다. 이러한 접근방식은 근육의 활동 패턴을 보다 세부적으로 이해하는데 중요한 기초 데이터를 제공하였으나, 몇 가지 한계점과 향후 연구에서 고려해야 할 사항들이 존재한다.
첫째, 본 연구에서 EMG신호를 동작 중 최대 근전도(Dynamic Peak)로 정규화 하여 [%Max] 단위로 표현하였으나, 이러한 방법은 각 근육이 생성하는 모멘트의 상대적인 크기를 나타내지는 못한다. 만약 EMG 신호로부터 근골격계 시뮬레이션을 통해 각 근육이 발생하는 힘과 토크를 산출하면 근육의 상대적인 역할에 대해서도 분석할 수 있다. 예를 들어, 근육의 생리학적 단면적이나 근육 길이, 그리고 힘-근전도 관계를 고려한 근골격계 모델링 기법(OpenSim, AnyBody)을 적용하여 근육이 생성하는 힘과 모멘트 등을 추출하여 더욱 심층적인 분석이 가능할 것이다.
둘째, 본 연구에서는 상관관계 분석에 집중하였으나, 동적 및 정적EMG성분들 간의 관계를 보다 깊이 있게 이해하기 위해 동시수축지수(Co-contraction Index)와 같은 지표를 활용한 추가 분석이 필요하다. 동시수축지수는 여러 근육이 동시에 수축하는 정도를 평가함으로써, 관절 안정성이나 운동 제어 전략을 보다 명확하게 이해하는데 기여할 수 있다. 이를 통해 근육활동의 조절 메커니즘에 대한 종합적인 해석이 가능할 것으로 보인다.
마지막으로, 본 연구는 목표를 향한 단순 리칭 동작만을 분석하였다. 추후 연구에서는 리칭 후의 복귀 동작과 부하가 있는 상태에서의 리칭 동작에 대한 분석을 수행할 필요가 있다. 이러한 연구를 실시간 피드백 시스템으로 확장한다면, 스포츠 퍼포먼스 최적화와 재활훈련 등에 활용이 가능할 것이다. 즉, 실시간으로 근육 활동을 모니터링하고 적절한 피드백을 제공함으로써 운동 수행 능력을 향상시키고, 환자 및 노약자의 부상 예방에 기여하여 실제 임상 및 운동 분야에서의 실용적 가치를 높일 수 있을 것으로 기대된다.
이 논문은 2024년도 정부(교육부)의 재원으로 한국연구재단의 지원(No. NRF-2021R1l1A3050968) 및 한국연구재단의 지원을 받아 수행된 지자체-대학 협력기반 지역혁신 사업(2021RIS-001(1345370811))의 결과이며, 2024학년도 건국대학교의 연구년 교원 지원에 의하여 연구되었음.

UPM

Upper Pectoralis Major

LPM

Lower Pectoralis Major

LD

Lattisimus Dorsi

IF

Infraspinatus

LT

Lower Trapezius

MT

Middle Trapezius

UT

Upper Trapezius

AD

Anterior Deltoid

MD

Middle Deltoid

PD

Posterior Deltoid

BL

Biceps Longhead

TL

Triceps Longhead
  • 1.
    Feys, H. M., De Weerdt, W. J., Selz, B. E., Cox Steck, G. A., Spichiger, R., Vereeck, L. E., Putman, K. D., Van Hoydonck, G. A., (1998), Effect of a therapeutic intervention for the hemiplegic upper limb in the acute phase after stroke: A single-blind, randomized, controlled multicenter trial, Stroke, 29(4), 785-792.
    10.1161/01.STR.29.4.785
  • 2.
    Brackenridge, J., V. Bradnam, L., Lennon, S., J. Costi, J., A. Hobbs, D., (2016), A review of rehabilitation devices to promote upper limb function following stroke, Neuroscience and Biomedical Engineering, 4(1), 25-42.
    10.2174/2213385204666160303220102
  • 3.
    Kaminski, E., Hoff, M., Rjosk, V., Steele, C. J., Gundlach, C., Sehm, B., Villringer, A., Ragert, P., (2017), Anodal transcranial direct current stimulation does not facilitate dynamic balance task learning in healthy old adults, Frontiers in human neuroscience, 11,16.
    10.3389/fnhum.2017.00016
  • 4.
    Förster, A., Szabo, K., Hennerici, M. G., (2008), Mechanisms of disease: Pathophysiological concepts of stroke in hemodynamic risk zones—do hypoperfusion and embolism interact?, Nature Clinical Practice Neurology, 4(4), 216-225.
    10.1038/ncpneuro0752
  • 5.
    Kolb, B., Whishaw, I. Q., (1998), Brain plasticity and behavior, Annual review of psychology, 49(1), 43-64.
    10.1146/annurev.psych.49.1.43
  • 6.
    Twitchell, T. E., (1951), The restoration of motor function following hemiplegia in man, Brain, 74(4), 443-480.
    10.1093/brain/74.4.443
  • 7.
    Yoshizaki, K., Hamada, J., Tamai, K., Sahara, R., Fujiwara, T., Fujimoto, T., (2009), Analysis of the scapulohumeral rhythm and electromyography of the shoulder muscles during elevation and lowering: comparison of dominant and nondominant shoulders, Journal of Shoulder and Elbow Surgery, 18(5), 756-763.
    10.1016/j.jse.2009.02.021
  • 8.
    Wickham, J., Pizzari, T., Stansfeld, K., Burnside, A., Watson, L., (2010), Quantifying ‘normal’ shoulder muscle activity during abduction, Journal of Electromyography and Kinesiology, 20(2), 212-222.
    10.1016/j.jelekin.2009.06.004
  • 9.
    Culham, E., Peat, M., (1993), Functional anatomy of the shoulder complex, Journal of Orthopaedic & Sports Physical Therapy, 18(1), 342-350.
    10.2519/jospt.1993.18.1.342
  • 10.
    Scholz, J. P., (1993), Organizational principles for the coordination of lifting, Human Movement Science, 12(5), 537-576.
    10.1016/0167-9457(93)90004-9
  • 11.
    Parnianpour, M., Lafferriere, G., (1990), Minimum jerk and near energy optimal trajectories of sagittal trunk movement, Adv Bioeng, 17, 159-162.
  • 12.
    Wattanaprakornkul, D., Halaki, M., Boettcher, C., Cathers, I., Ginn, K. A., (2011), A comprehensive analysis of muscle recruitment patterns during shoulder flexion: an electromyographic study, Clinical Anatomy, 24(5), 619-626.
    10.1002/ca.21123
  • 13.
    Minning, S., Eliot, C. A., Uhl, T. L., Malone, T. R., (2007), EMG analysis of shoulder muscle fatigue during resisted isometric shoulder elevation, Journal of Electromyography and Kinesiology, 17(2), 153-159.
    10.1016/j.jelekin.2006.01.008
  • 14.
    Laursen, B., Jensen, B. R., Sjøgaard, G., (1998), Effect of speed and precision demands on human shoulder muscle electromyography during a repetitive task, European Journal of Applied Physiology and Occupational Physiology, 78, 544-548.
    10.1007/s004210050458
  • 15.
    Buneo, C. A., Soechting, J. F., Flanders, M., (1994), Muscle activation patterns for reaching: the representation of distance and time, Journal of Neurophysiology, 71(4), 1546-1558.
    10.1152/jn.1994.71.4.1546
  • 16.
    d'Avella, A., Fernandez, L., Portone, A., Lacquaniti, F., (2008), Modulation of phasic and tonic muscle synergies with reaching direction and speed, Journal of Neurophysiology, 100(3), 1433-1454.
    10.1152/jn.01377.2007
  • 17.
    Scano, A., Brambilla, C., Russo, M., d'Avella, A., (2023), Upper limb phasic muscle synergies with negative weightings: applications for rehabilitation, Proceedings of the 2023 IEEE International Conference on Metrology for eXtended Reality, Artificial Intelligence and Neural Engineering (MetroXRAINE), 834-839.
    10.1109/MetroXRAINE58569.2023.10405697
  • 18.
    Mira, R. M., Tosatti, L. M., Sacco, M., Scano, A., (2021), Detailed characterization of physiological EMG activations and directional tuning of upper-limb and trunk muscles in point-to-point reaching movements, Current Research in Physiology, 4, 60-72.
    10.1016/j.crphys.2021.02.005
  • 19.
    Gates, D. H., Walters, L. S., Cowley, J., Wilken, J. M., Resnik, L., (2016), Range of motion requirements for upper-limb activities of daily living, The American Journal of Occupational Therapy, 70(1), 7001350010p1-7001350010p10.
    10.5014/ajot.2016.015487
  • 20.
    Lu, G., Brittain, J.-S., Holland, P., Yianni, J., Green, A. L., Stein, J. F., Aziz, T. Z., Wang, S., (2009), Removing ecg noise from surface emg signals using adaptive filtering, Neuroscience Letters, 462(1), 14-19.
    10.1016/j.neulet.2009.06.063
  • 21.
    De Luca, C. J., (1997), The use of surface electromyography in biomechanics, Journal of Applied Biomechanics, 13(2), 135-163.
    10.1123/jab.13.2.135
  • 22.
    Mathiassen, S. E., Winkel, J., Hägg, G. M., (1995), Normalization of surface EMG amplitude from the upper trapezius muscle in ergonomic studies—a review, Journal of Electromyography and Kinesiology, 5(4), 197-226.
    10.1016/1050-6411(94)00014-X
  • 23.
    Knutson, L. M., Soderberg, G. L., Ballantyne, B. T., Clarke, W. R., (1994), A study of various normalization procedures for within day electromyographic data, Journal of Electromyography and Kinesiology, 4(1), 47-59.
    10.1016/1050-6411(94)90026-4
  • 24.
    Mirka, G. A., (1991), The quantification of EMG normalization error, Ergonomics, 34(3), 343-352.
    10.1080/00140139108967318
  • 25.
    Yang, J. F., Winter, D. A., (1984), Electromyographic amplitude normalization methods: improving their sensitivity as diagnostic tools in gait analysis, Archives of Physical Medicine and Rehabilitation, 65(9), 517-521.
  • 26.
    Vera-Garcia, F. J., Moreside, J. M., McGill, S. M., (2010), MVC techniques to normalize trunk muscle EMG in healthy women, Journal of Electromyography and Kinesiology, 20(1), 10-16.
    10.1016/j.jelekin.2009.03.010
  • 27.
    Hunter, A. M., Gibson, A. S. C., Lambert, M., Noakes, T. D., (2002), Electromyographic (EMG) normalization method for cycle fatigue protocols, Medicine & Science in Sports & Exercise, 34(5), 857-861.
    10.1097/00005768-200205000-00020
  • 28.
    Rouffet, D. M., Hautier, C. A., (2008), EMG normalization to study muscle activation in cycling, Journal of Electromyography and Kinesiology, 18(5), 866-878.
    10.1016/j.jelekin.2007.03.008
  • 29.
    Burden, A., (2010), How should we normalize electromyograms obtained from healthy participants? What we have learned from over 25 years of research, Journal of Electromyography and Kinesiology, 20(6), 1023-1035.
    10.1016/j.jelekin.2010.07.004
  • 30.
    Burden, A. M., Trew, M., Baltzopoulos, V., (2003), Normalisation of gait EMGs: a re-examination, Journal of Electromyography and Kinesiology, 13(6), 519-532.
    10.1016/S1050-6411(03)00082-8
  • 31.
    Burden, A., Bartlett, R., (1999), Normalisation of EMG amplitude: an evaluation and comparison of old and new methods, Medical Engineering & Physics, 21(4), 247-257.
    10.1016/S1350-4533(99)00054-5
  • 32.
    Enoka, R. M., Fuglevand, A. J., (1993), Neuromuscular basis of the maximum voluntary force capacity of muscle, Current Issues in Biomechanics, 215-235.
  • 33.
    Allison, G. T., Marshall, R. N., Singer, K. P., (1993), EMG signal amplitude normalization technique in stretch-shortening cycle movements, Journal of Electromyography and Kinesiology, 3(4), 236-244.
    10.1016/1050-6411(93)90013-M
  • 34.
    Alexander, N., Schwameder, H., (2016), Comparison of estimated and measured muscle activity during inclined walking, Journal of Applied Biomechanics, 32(2), 150-159.
    10.1123/jab.2015-0021
  • 35.
    Mottram, S. L., (1997), Dynamic stability of the scapula, Man Ther, 2(3), 123-131.
    10.1054/math.1997.0292
  • 36.
    Kibler, W. B., Sciascia, A., (2009), Current concepts: scapular dyskinesis, British Journal of Sports Medicine, 44(5), 300-305.
    10.1136/bjsm.2009.058834
  • 37.
    Paine, R., Voight, M. L., (2013), The role of the scapula, International Journal of Sports Physical Therapy, 8(5), 617.
  • 38.
    Ekstrom, R. A., Donatelli, R. A., Soderberg, G. L., (2003), Surface electromyographic analysis of exercises for the trapezius and serratus anterior muscles, Journal of Orthopaedic & Sports Physical Therapy, 33(5), 247-258.
    10.2519/jospt.2003.33.5.247
  • 39.
    McCabe, R. A., Orishimo, K. F., McHugh, M. P., Nicholas, S. J., (2007), Surface electromygraphic analysis of the lower trapezius muscle during exercises performed below ninety degrees of shoulder elevation in headylthy subjects, North American Journal of Sports Physical Therapy: NAJSPT, 2(1), 34.
  • 40.
    Ko, M. J., Oh, J. S., (2023), Comparison of electromyographic activity of the lower and upper trapezius during different strengthening exercises, Journal of Musculoskeletal Science and Technology, 7(1), 40-47.
    10.29273/jmst.2023.7.1.40
  • 41.
    Nakamura, Y., Tsuruike, M., Ellenbecker, T. S., (2016), Electromyographic activity of scapular muscle control in free-motion exercise, Journal of Athletic Training, 51(3), 195-204.
    10.4085/1062-6050-51.4.10
  • 42.
    Lee, S. B., Kim, K. J., O'Driscoll, S. W., Morrey, B. F., An, K. N., (2000), Dynamic glenohumeral stability provided by the rotator cuff muscles in the mid-range and end-range of motion: a study in cadavera, Journal of Bone & Joint Surgery, 82(6), 849.
    10.2106/00004623-200006000-00012
  • 43.
    Wattanaprakornkul, D., Halaki, M., Boettcher, C., Cathers, I., Ginn, K. A., (2011), A comprehensive analysis of muscle recruitment patterns during shoulder flexion: an electromyographic study, Clinical Anatomy, 24(5), 619-626.
    10.1002/ca.21123
  • 44.
    Kim, J. W., Yoon, J. Y., Kang, M. H., Oh, J. S., (2012), Selective activation of the infraspinatus during various shoulder external rotation exercises, Journal of Physical Therapy Science, 24(7), 581-584.
    10.1589/jpts.24.581
  • 45.
    Alenabi, T., Whittaker, R. L., Kim, S. Y., Dickerson, C. R., (2019), Arm posture influences on regional supraspinatus and infraspinatus activation in isometric arm elevation efforts, Journal of Electromyography and Kinesiology, 44, 108-116.
    10.1016/j.jelekin.2018.12.005
  • 46.
    Jang, J. H., Oh, J. S., (2014), Changes in shoulder external rotator muscle activity during shoulder external rotation in various arm positions in the sagittal plane, Journal of Physical Therapy Science, 26(1), 135-137.
    10.1589/jpts.26.135
  • 47.
    Tiwana, M. S., Sinkler, M. A., Bordoni, B., (2023), Anatomy, shoulder and upper limb, triceps muscle, StatPearls Publishing.
  • 48.
    Kholinne, E., Zulkarnain, R. F., Sun, Y. C., Lim, S., Chun, J. M., Jeon, I. H., (2018), The different role of each head of the triceps brachii muscle in elbow extension, Acta Orthopaedica Et Traumatologica Turcica, 52(3), 201-205.
    10.1016/j.aott.2018.02.005
  • 49.
    Madsen, M., Marx, R. G., Millett, P. J., Rodeo, S. A., Sperling, J. W., Warren, R. F., (2006), Surgical anatomy of the triceps brachii tendon: anatomical study and clinical correlation, The American Journal of Sports Medicine, 34(11), 1839-1843.
    10.1177/0363546506288752
  • 50.
    Palastanga, N., Field, D., Soames, R., (2006), Anatomy and human movement: structure and function, Physical Therapy, 86(10), 1450-1451.
    10.2522/ptj.2006.86.10.1450
  • 51.
    Kronberg, M., Németh, G, Broström, L. A., (1990), Muscle activity and coordination in the normal shoulder: An electromyographic study, Clinical Orthopaedics and Related Research (1976-2007), 257, 76-85.
    10.1097/00003086-199008000-00016
  • 52.
    Townsend, H., Jobe, F. W., Pink, M., Perry, J., (1991), Electromyographic analysis of the glenohumeral muscles during a baseball rehabilitation program, The American journal of sports medicine, 19(3), 264-272.
    10.1177/036354659101900309
  • 53.
    McCann, P. D., Wootten, M. E., Kadaba, M. P., Bigliani, L. U., (1993), A kinematic and electromyographic study of shoulder rehabilitation exercises, Clinical Orthopaedics and Related Research (1976-2007), 288, 179-188.
    10.1097/00003086-199303000-00023
  • 54.
    Myers, J. B., Pasquale, M. R., Laudner, K. G., Sell, T. C., Bradley, J. P., Lephart, S. M., (2005), On-the-field resistance-tubing exercises for throwers: an electromyographic analysis, Journal of athletic training, 40(1), 15.
  • 55.
    Wickham, J., Pizzari, T., Stansfeld, K., Burnside, A., Watson, L., (2010), Quantifying ‘normal’shoulder muscle activity during abduction, Journal of Electromyography and Kinesiology, 20(2), 212-222.
    10.1016/j.jelekin.2009.06.004
  • 56.
    Boettcher, C. E., Ginn, K. A., Cathers, I., (2008), Standard maximum isometric voluntary contraction tests for normalizing shoulder muscle EMG, Journal of orthopaedic research, 26(12), 1591-1597.
    10.1002/jor.20675
  • 57.
    Kido, T., Itoi, E., Konno, N., Sano, A., Urayama, M., Sato, K., (1998), Electromyographic activities of the biceps during arm elevation in shoulders with rotator cuff tears, Acta Orthopaedica Scandinavica, 69(6), 575-579.
    10.3109/17453679808999258
  • 58.
    Kido, T., Itoi, E., Konno, N., Sano, A., Urayama, M., Sato, K., (2000), The depressor function of biceps on the head of the humerus in shoulders with tears of the rotator cuff, The Journal of Bone & Joint Surgery British Volume, 82(3), 416-419.
    10.1302/0301-620X.82B3.0820416
  • 59.
    Warner, J. J., McMahon, P. J., (1995), The role of the long head of the biceps brachii in superior stability of the glenohumeral joint, Journal of Bone & Joint Surgery, 77(3), 366-372.
    10.2106/00004623-199503000-00006
  • 60.
    Sinha, A., Higginson, D. W., Vickers, A., (1999), Use of botulinum A toxin in irreducible shoulder dislocation caused by spasm of pectoralis major, Journal of Shoulder and Elbow Surgery, 8(1), 75-76.
    10.1016/S1058-2746(99)90059-9
  • 61.
    McMahon, P. J., Eberly, V. C., Yang, B. Y., Lee, T. Q., (2014), Effects of anteroinferior capsulolabral incision and resection on glenohumeral joint reaction force, Journal of Rehabilitation Research and Development, 39(4), 535-542.
  • 62.
    Bagg, S. D., Forrest, W. J., (1988), A biomechanical analysis of scapular rotation during arm abduction in the scapular plane, American Journal of Physical Medicine & Rehabilitation, 67(6), 238-245.
Min-Jae Kim
KSPE_2025_v42n2_105_bf001.jpg
M.Sc. candidate in the Department of Biomedical Engineering, Konkuk University. His research interests are biomechanics in rehabilitation engineering and bio-signal processing.
Ju-Hee Kim
KSPE_2025_v42n2_105_bf002.jpg
M.Sc. candidate in the Department of Biomedical Engineering, Konkuk University. Her research interests are biomechanics in rehabilitation engineering and bio-signal processing.
Hyeon-Soo Shin
KSPE_2025_v42n2_105_bf003.jpg
M.Sc. candidate in the Department of Biomedical Engineering, Konkuk University. His research interests are biomechanics in rehabilitation engineering and bio-signal processing.
Sean-Min Lee
KSPE_2025_v42n2_105_bf004.jpg
M.Sc. candidate in the Department of Biomedical Engineering, Konkuk University. His research interests are biomechanics in rehabilitation engineering and bio-signal processing.
Na-Yeon Kim
KSPE_2025_v42n2_105_bf005.jpg
B.Sc. in the Department of Biomedical Engineering, Konkuk University. Her research interests are biomechanics in rehabilitation engineering and bio-signal processing.
Gwang-Moon Eom
KSPE_2025_v42n2_105_bf006.jpg
Professor in the Department of Biomedical Engineering, Konkuk University. His research interests include rehabilitation of elderly and biomechanics.

Download Citation

Download a citation file in RIS format that can be imported by all major citation management software, including EndNote, ProCite, RefWorks, and Reference Manager.

Format:

Include:

Phasic and Tonic Coordination among Upper-limb Muscles in Different Speeds of Reaching Movement
J. Korean Soc. Precis. Eng.. 2025;42(2):105-120.   Published online February 1, 2025
Download Citation

Download a citation file in RIS format that can be imported by all major citation management software, including EndNote, ProCite, RefWorks, and Reference Manager.

Format:
Include:
Phasic and Tonic Coordination among Upper-limb Muscles in Different Speeds of Reaching Movement
J. Korean Soc. Precis. Eng.. 2025;42(2):105-120.   Published online February 1, 2025
Close

Figure

  • 0
  • 1
  • 2
  • 3
  • 4
  • 5
  • 6
  • 7
  • 8
  • 9
  • 10
Phasic and Tonic Coordination among Upper-limb Muscles in Different Speeds of Reaching Movement
Image Image Image Image Image Image Image Image Image Image Image
Fig. 1 EMG and ECG sensors and reflective marker attachment locations front: UPM = Upper Pectoralis Major, LPM = Lower Pectoralis major, AD = Anterior Deltoid, MD = Middle Deltoid, BL = Biceps Longhead; Back: LT = Lower Trapezius, MT = Middle Trapezius, UT = Upper Trapezius, LD = Latissimus Dorsi, IF = Infraspinatus, PD = Posterior Deltoid, TL = Triceps Longhead
Fig. 2 Experimental postures of reaching task. Initial (a) and final (b) postures
Fig. 3 Shoulder and elbow joint angles. Solid line and gray area represent the average and SD of all subjects’ trials, respectively
Fig. 4 Angular acceleration on the sagittal plane of shoulder joint(a) and elbow joint(b) in different reaching speeds
Fig. 5 Tonic component of EMG
Fig. 6 Correlation between shoulder flexion angle and tonic EMG(a), elbow extension angle and tonic EMG(b)
Fig. 7 Phasic component of EMG
Fig. 8 Correlation between shoulder acceleration and phasic EMG
Fig. 9 Correlation between shoulder deceleration and phasic EMG
Fig. 10 Correlation between elbow acceleration and phasic EMG
Fig. 11 Correlation between elbow deceleration and phasic EMG
Phasic and Tonic Coordination among Upper-limb Muscles in Different Speeds of Reaching Movement

Subject characteristics

Characteristics Subjects (n = 8)
Age 25.73±1.73
Height [cm] 174.17±4.98
Sitting height [cm] 140.26±6.24
Arm length [cm] 76.71±4.32
Gender male

The speed of the experimental movements instructed to the subject.

Speed Tonic Speed 1
Reaching time (s) Target 4 2
Actual 4.13±0.20 2.16±0.14
Speed Speed 2 Speed 3
Reaching time (s) Target 1 0.5
Actual 1.10±0.08 0.53±0.03
Speed Speed 4
Reaching time (s) Target The fastest
Actual 0.34 ±0.03
Table 1 Subject characteristics
Table 2 The speed of the experimental movements instructed to the subject.