Skip to main navigation Skip to main content
  • E-Submission

JKSPE : Journal of the Korean Society for Precision Engineering

OPEN ACCESS
ABOUT
BROWSE ARTICLES
EDITORIAL POLICIES
FOR CONTRIBUTORS
Special

가습 조건에 따른 PEMFC MEA의 이오노머 함량 연구

Parametric Studies of Ionomer Content in PEMFC MEA with Different Humidity

Journal of the Korean Society for Precision Engineering 2025;42(12):975-980.
Published online: December 1, 2025

1단국대학교 대학원 기계공학과

1Department of Mechanical Engineering, Graduate School, Dankook University

#Corresponding Author / E-mail: sbai@dankook.ac.kr, TEL: +82-31-8005-3612, ORCID: 0000-0003-4758-6275
#Corresponding Author / E-mail: guyoungcho@dankook.ac.kr, TEL: +82-31-8005-3520, ORCID: 0000-0000-7263-8172
• Received: July 23, 2025   • Revised: September 8, 2025   • Accepted: September 15, 2025

Copyright © The Korean Society for Precision Engineering

This is an Open-Access article distributed under the terms of the Creative Commons Attribution Non-Commercial License (http://creativecommons.org/licenses/by-nc/3.0/) which permits unrestricted non-commercial use, distribution, and reproduction in any medium, provided the original work is properly cited.

  • 641 Views
  • 38 Download
prev next
  • The ionomer content in the catalyst layer is a crucial design factor that affects the performance of polymer electrolyte membrane fuel cells (PEMFCs). However, the optimal ionomer content can vary based on the surrounding humidity levels. This study systematically evaluated the influence of the ionomer-to-carbon (I/C) ratio (0.00, 0.55, and 0.91) on PEMFC performance under fully humidified (RH 100%) and low-humidity (RH 25%) conditions. Membrane-electrode assemblies (MEAs) were fabricated using a spray coating technique, and their electrochemical properties were analyzed through polarization curves and electrochemical impedance spectroscopy (EIS). Under RH 100%, the MEA with an I/C ratio of 0.55 achieved the highest peak power density of 519.8 mW/cm2, indicating a successful balance between proton conductivity and gas transport. Conversely, under RH 25%, the best performance of 203.9 mW/cm2 was observed at an I/C ratio of 0.91. This shift is attributed to improved water retention at higher ionomer content, which reduced membrane dehydration and lowered both ohmic and Faradaic resistances. These findings highlight the dual role of the ionomer in facilitating proton transport and managing water balance, emphasizing the necessity of optimizing the I/C ratio according to operating conditions for stable and high-performing PEMFC operation.
고분자 전해질막 연료전지(Polymer Electrolyte Membrane Fuel Cell, PEMFC)는 낮은 작동 온도와 높은 에너지 밀도로 인해 차량용 동력원으로 주목받는 차세대 에너지 변환장치이다. PEMFC의 성능은 핵심 부품인 막전극접합체(Membrane-electrode Assembly, MEA)에 의해 결정되며, 특히 MEA 내 촉매층에 포함된 이오노머(Ionomer)의 함량이 중요한 설계 변수이다[1].
이오노머는 수소 이온 전도 경로를 제공하는 필수적인 역할을 하지만, 함량이 과도하면 오히려 물질 전달 저항을 높여 성능을 저해하는 명백한 트레이드오프(Trade-off) 관계를 가진다[2,3]. 이 때문에 운전 조건, 특히 상대 습도(Relative Humidity, RH)에 따라 최적의 이오노머 함량은 크게 달라진다.
최근에는 저가습 환경을 포함한 다양한 운전 조건에서의 PEMFC 성능 저하 문제를 개선하기 위한 연구들이 활발히 진행되고 있으며, 촉매층 구조 최적화, 이오노머 함량 조절, 전극 내 수분 분포 제어, 친수성/소수성 재료 도입, 유로 설계 개선, 막 소재 개발 등 여러 접근법이 시도되고 있다[4-8]. 그러나 기존 연구들은 주로 특정 운전 조건에서의 최적화에 집중하였을 뿐, 저가습과 고가습을 오가는 실제 구동 환경에서의 체계적인 비교 분석은 부족한 실정이다.
따라서 본 연구는 저가습과 고가습 조건에서 이오노머 함량이 PEMFC 성능에 미치는 영향을 규명하는 것을 목표로 한다. 이를 위해, 이오노머-탄소 비율(Ionomer-to-Carbon Ratio, I/C)을 다양하게 조절한 MEA를 스프레이 코팅법으로 제작하였다. 이후 제작된 MEA에 대해 전류밀도-전압-전력밀도 곡선(J-V-P Curve)과 전기화학 임피던스 분광법(Electrochemical Impedance Spectroscopy, EIS) 분석을 수행하여, 각 가습 조건에서의 최적 이오노머 함량과 그 성능 변화의 전기화학적 원인을 분석하였다.
2.1 촉매 잉크 제조
고분자 전해질 연료전지(PEMFC)용 촉매 잉크를 제조하기 위해 백금 촉매(Pt/C, 40wt%, Thermo Fisher Scientific, USA), 나피온 이오노머(Nafion Dispersion, D521, Chemours, USA), 아이소프로필알코올(Isopropyl Alcohol, Honeywell, USA), 그리고 탈이온수(Deionized Water)를 사용하였다. 본 연구에서는 촉매층 내 이오노머 함량에 따른 성능 변화를 분석하기 위해, 백금 촉매 대비 나피온 이오노머의 첨가량을 변수로 설정하였다. 먼저 전자저울(HS-SL Series, HANSUNG, Korea)을 이용하여 백금 촉매의 질량을 정밀하게 측정한 후 바이알(Vial, H3213-05, iNexus Inc., Korea)에 넣었다. 이어서 마이크로피펫(P200, P1000, Lab Touch, 고려에이스과학, Korea)과 피펫팁(AX.T-200-Y, AX.T-1000-B, Axygen, USA)을 사용하여 정량의 나피온이오노머, 탈이온수, 아이소프로필알코올을 순차적으로 첨가하였다. 혼합된 용액은 초음파 세척기(NXP-1002, KODO, Korea)를 이용하여 20분간 분산시켜 균일한 촉매 잉크를 제조하였다.
2.2 막 전극 접합체(MEA) 제작 및 단위 전지 조립
막 전극 접합체(MEA) 제작을 위해, 나피온 멤브레인(Nafion™ NR-211 Membrane, Chemours, USA)을 진공 핫플레이트 장치(Vacuum Hot Plate Assembly, CNL Energy, Korea)를 이용해 고정시켰다. 이후 제조된 촉매 잉크를 에어브러쉬(GP-2, 0.4 mm Nozzle, RichPen, Japan)에 넣고, 0.06 Mpa의 일정한 압력으로 멤브레인 양면에 균일하게 분사하여 촉매층을 형성하였다. Fig. 1은 이러한 촉매층 형성 과정을 보여준다.
제작된 MEA는 기체 확산층(Gas Diffusion Layer, GDL 39BB, SGL Carbon, Wiesbaden, Germany), 서펜타인(Serpentine) 유로가 적용된 분리판(Bipolar Plate, CNL Energy, Korea), 전류 집 전체(Current Collector, CNL Energy, Korea), 가스켓(TF-gasket, CNL Energy, Korea), 그리고 엔드 플레이트(End Plate, CNL Energy, Korea)와 함께 체결하여 단위 전지를 조립하였다. 모든 구성요소의 균일한 접촉과 체결 압력을 보장하기 위하여 토크 렌치를 사용하여 80 in·lb의 토크로 체결하였다.
2.3 전기화학적 성능 평가
단위 전지의 전기화학적 성능은 연료전지 성능 평가 장비(Fuel Cell Test Station, Smart2 PEM, WonATech, Korea)를 이용하여 분석하였다. 셀 운전 온도는 60oC로 일정하게 유지하였다. 연료극(Anode)에는 100% 가습된 수소(H2, 99.999%, Samjung Energy, Korea)를 100 sccm의 유량으로 공급하였고, 공기극(Cathode)에는 100% 가습된 공기(Air, N2 79 vol.%, O2 21 vol.%, Samjung Energy, Korea)를 300 sccm의 유량으로 공급하였다. 이때 연료극과 공기극에 공급되는 기체의 작동 압력은 150 kPa로 동일하게 제어하였다.
상세한 전기화학적 특성 분석은 포텐시오스탯(SP-150, BioLogic, France)와 부스터(VMP3B-10, BioLogic, France)를 연동하여 수행하였다. 먼저, 상대습도 100%의 고가습 조건에서 셀 활성화 과정을 거친 후, 전류밀도-전압-전력밀도(J-V-P) 곡선을 측정하였다. 이어서, 0.8 V의 부하 조건에서 200 kHz부터 100 mHz까지의 주파수 범위에 걸쳐 10 mV의 정현파 신호 진폭으로 전기화학 임피던스 분광법(EIS) 분석을 진행하였다. 이후, 공급 가스의 상대습도를 25%로 낮춘 저가습 조건에서도 동일한 순서로 J-V-P 곡선과 EIS를 측정하여, 이오노머 함량 및 습도 변화가 셀 성능 및 내부 저항에 미치는 영향을 비교 분석하였다.
모든 전기화학적 측정은 동일 조건에서 3회 이상 반복하여 수행하였으며, 측정 결과는 일관성을 보여 평균값으로 제시하였다.
본 연구에서는 고분자전해질 연료전지(PEMFC)의 성능에 결정적인 영향을 미치는 촉매층 내 이오노머 함량(I/C)의 연구를 수행하였다. 특히, 연료전지가 마주할 수 있는 운전 환경인 완전 가습(RH 100%)과 저가습(RH 25%) 조건에서 이오노머의 역할이 어떻게 변화하는지, 그리고 이것이 각 성능 저항 인자에 어떠한 영향을 미치는지에 대해 고찰하였다.
3.1 완전가습(RH 100%) 조건
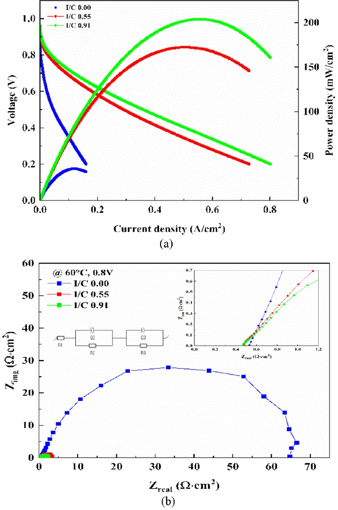
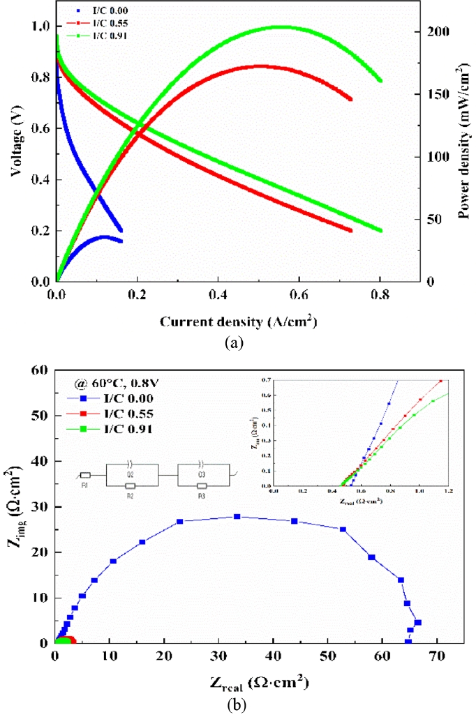
Fig. 2는 완전가습 조건에서 측정된 I/C 비율별 성능 곡선 및 임피던스 결과이다. 이 조건은 외부에서 충분한 수분이 공급되어 멤브레인 및 이오노머의 이온 전도도가 최대로 확보된 환경이므로, 성능은 주로 촉매층의 미세구조와 그에 따른 물질전달 효율성에 의해 결정된다.
I/C 0.00 샘플의 경우 이오노머가 포함되지 않은 촉매 잉크를 Nafion 멤브레인 위에 직접 분사하여 제작된 것이다. 이 경우, 양성자는 오직 멤브레인을 통해서만 공급될 수 있다. 따라서, 반응이 일어나는 삼상계면(Three-phase Boundary, TPB)이 멤브레인과 촉매층이 맞닿는 2차원적 계면으로 극히 한정된다. 이로 인해 대부분의 Pt 촉매 입자가 양성자를 공급받지 못하고, 촉매 활용률이 매우 낮아 성능이 저조하게 나타났다. 반면, 잉크에 이오노머를 첨가한 샘플에서는 이오노머가 촉매층 전체로 퍼져나가 3차원 양성자 전도 네트워크를 형성하였다. 그 결과 반응 영역이 2차원 평면에서 3차원 부피 전체로 확장되어 촉매 활용률이 극대화되었고, 성능이 비약적으로 향상되었다. 특히 I/C 0.55 샘플은 519.8 mW/cm2의 가장 우수한 최대 전력밀도를 기록하여, I/C 0.00 샘플에 비해 약 164% 성능 향상을 나타냈다[9].
하지만 I/C 비율을 0.91로 과도하게 증가시킨 경우, 저전류밀도 영역에서는 I/C 0.55와 유사한 활성을 보였으나 고전류밀도 영역에서 급격한 전압 강하가 관찰되었다. 이는 과량의 이오노머가 촉매층 내 가스의 확산 통로인 기공(Pore)을 채워 유효 기공도를 감소시켰기 때문이다. 고전류밀도 운전 시, 다량의 산소가 소모되고 동시에 다량의 물이 생성된다. 이때 좁아진 기공은 산소의 공급을 방해함과 동시에 생성된 액체 상태의 물이 원활하게 배출되는 것을 막아 플러딩(Flooding) 현상을 유발한다. 이로 인해 활성면적이 반응이 불가능해지면서 심각한 물질전달 손실(Mass Transport Loss)이 발생하여 성능이 저하된 것으로 분석된다[1,3,10].
3.2 저가습(RH 25%) 조건
Fig. 3는 저가습 조건에서의 성능 및 임피던스 결과이다. 저가습 조건은 외부 수분 공급이 부족하여 멤브레인과 이오노머의 건조로 인한 양성자 전도도 저하가 성능 감소의 주된 원인으로 작용하는 가혹한 환경이다.
흥미롭게도, 저가습 조건에서는 완전가습 조건과 정반대의 경향이 관찰되었다. I/C 0.91 MEA가 203.9 mW/cm2로 가장 우수한 성능을 보이며, I/C 0.55보다 월등한 특성을 나타내었다(Fig. 3(a)). 이 성능 역전 현상은 이오노머의 본질적인 수분 보유(Water Retention) 능력에서 기인한다. 이오노머 구조 내의 술폰산기(-SO3H)는 강한 친수성을 띠어 주변의 물 분자를 끌어당기고 보유하는 역할을 한다. 저가습 환경에서는 이오노머 함량이 높을수록 촉매층 내에 더 많은 물 분자 포집 사이트가 존재하게 된다[1,11].
따라서 I/C 0.91 샘플은 반응으로 생성되는 미량의 물을 촉매층 내에 효과적으로 가두어 국부적인 습도(Local Humidity)를 높게 유지할 수 있었다. 이로 인해 이오노머 네트워크의 건조를 최대한 억제하고 양성자 전도 경로를 활성화 상태로 유지함으로써 높은 성능을 달성할 수 있었던 것이다.
3.3 전기화학 임피던스 분광법(EIS) 분석
Fig. 4는 두 가습 조건에서 측정된 성능과 주요 저항 성분들을 정량적으로 비교한 그래프로, 이오노머의 역할을 명확하게 설명해준다.
RH 100% 조건에서는 모든 샘플의 저항 손실(Ohmic Resistance)은 매우 낮고 비슷하였다. 이는 외부에서 공급된 충분한 수분으로 인해 이오노머 함량과 무관하게 모든 MEA가 완전히 수화되었음을 의미한다. 그러나 RH 25% 조건에서 I/C 0.00 대비 I/C 0.91 샘플의 Ohmic Resistance는 약 96% 감소하여, 이오노머의 수분 보유 능력이 전해질 저항을 효과적으로 낮추는 것을 확인할 수 있었다. 이는 수분 보유 능력이 MEA의 전체 저항 손실을 줄이는 데 직접적으로 기여했음을 정량적으로 증명하는 강력한 증거이다.
패러데이 저항(Faradaic Resistance)은 산소환원반응의 전하 전달 저항을 반영한다. 완전가습(RH 100%) 조건에서는 I/C 0.55와 0.91 샘플 모두 낮은 패러데이 저항을 보여 우수한 반응 활성을 나타냈다. 하지만 저가습(RH 25%) 조건에서는 경향이 역전되어, I/C 0.91 샘플이 I/C 0.55 샘플보다 더 낮은 패러데이 저항을 보였다. 이는 I/C 0.91의 높은 이오노머 함량이 지닌 강력한 수분 보유 능력(Water Retention Capability) 덕분에 가능했다. 즉, 부족한 외부 수분에도 불구하고 촉매층 내 국부 습도를 높게 유지하여 이온 전도 환경을 개선하고, 결과적으로 산소환원반응의 활성화 에너지 장벽을 효과적으로 낮춘 것으로 분석된다. 다만, 이처럼 높은 이오노머 함량은 초기 성능에는 유리하지만, 장기적인 관점에서는 촉매층의 기계적 내구성을 저하시키거나 이오노머 용해(Dissolution)와 같은 내구성 문제를 야기할 가능성이 있어 추가적인 검토가 필요하다.
결론적으로, 촉매층 내 이오노머는 고정된 최적값이 존재하는 것이 아니라, 운전 환경의 물 균형에 따라 그 역할이 변화하는 트레이드오프 관계를 가진다[12]. 완전가습 환경에서는 플러딩을 피하기 위한 물 배출 능력이 중요하므로 적절한 기공도를 가진 I/C 0.55가 유리하며, 저가습 환경에서는 건조를 막기 위한 수분 보유 능력이 절대적이므로 I/C 0.91이 유리하다. 따라서 실제 동적 운전 환경을 고려한 MEA 설계 시, 특정 조건에만 최적화된 함량보다는 넓은 운전 영역에서 안정적인 성능을 확보할 수 있는 균형 잡힌 I/C 비율을 선택하는 것이 내구성 및 신뢰성 측면에서 중요한 설계 인자가 될 것으로 판단된다.
Fig. 4는 각 가습 조건에서 I/C 비율에 따른 최대 전력밀도, 저항 손실 및 패러데이 저항을 정량적으로 비교하여 나타낸 것이다. Fig. 4(a)를 통해, 완전가습(RH 100%) 조건에서는 I/C 0.55가 최고 성능을 기록하였고, 저가습(RH 25%) 조건에서는 I/C 0.91이 I/C 0.55보다 약 18% 더 높은 성능을 보이며 최적 I/C 비율이 조건에 따라 뚜렷이 역전되는 현상을 정량적으로 확인할 수 있었다.
이러한 성능 변화의 원인은 Figs. 4(b)4(c)의 저항 분석을 통해 고찰할 수 있다. 완전가습 조건에서 I/C 0.91의 성능 저하는, 저항 손실은 낮게 유지되었으나 과량의 이오노머가 촉매층 내 기공을 막아 발생한 플러딩 현상 및 물질전달 한계에 기인한 것으로 추정된다. 반면, 저가습 조건에서 I/C 0.91의 우수한 성능은, 높은 이오노머 함량이 수분 보유 능력을 극대화하여 저항 손실과 패러데이 저항을 모두 효과적으로 감소시켰기 때문인 것을 알 수 있다.
공통적으로, 이오노머 함량이 높을수록 저가습 환경에서의 성능 저하를 방어하는 데에는 유리했지만, 완전가습 환경에서는 오히려 물질전달을 저해하는 요인으로 작용할 수 있음을 확인하였다. 이는 촉매층 내 이오노머가 단순히 양성자를 전달하는 역할을 넘어, 촉매층의 수분 균형을 조절하는 이중적 역할을 수행하기 때문으로 판단된다.
따라서, PEMFC의 최적 이오노머 함량은 단일 값으로 정의될 수 없으며, 실제 연료전지 시스템이 겪는 동적인 가습 환경 변화에 대응하기 위해 어느 한 조건에 최적화된 함량보다는 넓은 운전 영역에서 안정적인 성능을 확보할 수 있는 균형 잡힌 I/C 비율의 선택이 중요함을 시사한다. 향후 연구에서는 실제 차량 운전 환경과 같이 동적으로 변하는 가습 조건을 모사하기 위해, 본 연구에서 다룬 양극단의 조건 외에 RH 50-75%와 같은 중간 가습 영역에서의 성능 평가를 통해 최적의 I/C 비율을 탐색하는 연구가 필요하다. 궁극적으로 본 연구 결과는 국부적인 가습 편차가 발생하기 쉬운 대면적 셀 및 스택 설계 시, 특정 조건에만 최적화되기보다는 넓은 가습 범위에서 안정적인 성능을 유지할 수 있는 이오노머 함량의 선정이 전체 시스템의 효율과 내구성에 매우 중요함을 시사한다.

ACKNOWLEDGEMENT

이 논문은 정부(과학기술정보통신부)의 재원으로 한국연구재단의 지원을 받아 수행된 연구임(No. RS-2023-00213741). 또한 본 논문은 경기도 기술개발사업의 연구개발지원(No. H2409002)에 의해 수행되었습니다.

Fig. 1
Schematic of the spray coating setup for catalyst layer fabrication
JKSPE-025-00006f1.jpg
Fig. 2
Electrochemical performance of PEMFCs with different ionomer-to-carbon (I/C) ratios under fully humidified conditions (RH 100%). (a) J-V-P curves and (b) EIS measured at 0.8 V
JKSPE-025-00006f2.jpg
Fig. 3
Electrochemical performance of PEMFCs with different ionomer-to-carbon (I/C) ratios under low-humidity conditions (RH 25%). (a) J-V-P curves and (b) EIS measured at 0.8 V
JKSPE-025-00006f3.jpg
Fig. 4
Comparison of key performance metrics and resistance components for PEMFCs with different ionomer-to-carbon (I/C) ratios under fully humidified (RH 100%) and lowhumidity (RH 25%) conditions. (a) Maximum power density, (b) Ohmic resistance, and (c) Faradaic resistance
JKSPE-025-00006f4.jpg
  • 1. Molaeimanesh G. R., Torabi F.. 2023. Fuel cell fundamentals. in: Fuel cell modeling and simulation. Elsevier Inc.
  • 2. Suzuki, A., Sen, U., Hattori, T., Miura, R., Nagumo, R., Tsuboi, H., Hatakeyama, N., Endou, A., Takaba, H., and Williams, M. C., (2011), Ionomer content in the catalyst layer of polymer electrolyte membrane fuel cell (PEMFC): Effects on diffusion and performance, International Journal of Hydrogen Energy, 36(3), 2221-2229.
  • 3. Alink, R., Singh, R., Schneider, P., Christmann, K., Schall, J., Keding, R., and Zamel, N., (2020), Full parametric study of the influence of ionomer content, catalyst loading and catalyst type on oxygen and ion transport in PEM fuel cell catalyst layers, Molecules, 25(7), 1523.
  • 4. Kang, Z., Yu, S., Yang, G., Li, Y., Bender, G., Pivovar, B. S., Green Jr, J. B., and Zhang, F.-Y., (2019), Performance improvement of proton exchange membrane electrolyzer cells by introducing in-plane transport enhancement layers, Electrochimica Acta, 316, 43-51.
  • 5. Hong, K. W., Kwon, Y. R., Song, D. K., Jung, D. Y., Kang, B. K., Kwon, S. K., Ryu, S., and Cho, G. Y., (2025), Fabrication and characterization of Pt-Pr6O11 nano cathode electrode for polymer electrolyte membrane fuel cells via co-sputtering method, Sustainability, 17(1), 198.
  • 6. Jung, D. Y., Song, D. K., Kim, J. S., Lee, S. H., Min, G. W., Son, J. H., and Cho, G. Y., (2024), Numerical investigation of effects of obstacles in flow channels and depth of flow channels for pemfcs, Sustainability, 16(22), 10144.
  • 7. Yoo, H. J., and Cho, G. Y., (2022), Effects of humidification with nacl solution mist on electrochemical characteristics of polymer electrolyte membrane fuel cells, Sustainability, 14(23), 16242.
  • 8. Yoo, H. J., and Cho, G. Y., (2023), Influences of flow channel on electrochemical characteristics of polymer electrolyte fuel cells humidified with NaCl contained H2O, Sustainability, 15(3), 2415.
  • 9. Zhao, C., Yuan, S., Cheng, X., Zheng, Z., Liu, J., Yin, J., Shen, S., Yan, X., and Zhang, J., (2023), The effect of catalyst layer design on catalyst utilization in PEMFC studied via stochastic reconstruction method, Energy and AI, 13, 100245.
  • 10. Li, H., Tang, Y., Wang, Z., Shi, Z., Wu, S., Song, D., Zhang, J., Fatih, K., Zhang, J., and Wang, H., (2008), A review of water flooding issues in the proton exchange membrane fuel cell, Journal of Power Sources, 178(1), 103-117.
  • 11. Jeon, S., Lee, J., Rios, G. M., Kim, H.-J., Lee, S.-Y., Cho, E., Lim, T.-H., and Jang, J. H., (2010), Effect of ionomer content and relative humidity on polymer electrolyte membrane fuel cell (pemfc) performance of membrane-electrode assemblies (meas) prepared by decal transfer method, International Journal of Hydrogen Energy, 35(18), 9678-9686.
  • 12. Yakovlev, Y. V., Lobko, Y. V., Vorokhta, M., Nováková, J., Mazur, M., Matolínová, I., and Matolín, V., (2021), Ionomer content effect on charge and gas transport in the cathode catalyst layer of proton-exchange membrane fuel cells, Journal of Power Sources, 490, 229531.
Byung Gyu Kang
JKSPE-025-00006i1.jpg
M.S. candidate in the Department of Mechanical Engineering, Dankook University. His research interests are fabrication and characterization of polymer electrolyte membrane fuel cells and thin films.
Hyeon Min Lee
JKSPE-025-00006i2.jpg
M.S. candidate in the Department of Mechanical Engineering, Dankook University. His research interests are characterization of solid oxide fuel cells.
Ye Rim Kwon
JKSPE-025-00006i3.jpg
M.S. candidate in the Department of Mechanical Engineering, Dankook University. Her research interests are fabrication and characterization of polymer electrolyte membrane fuel cells and thin films.
Sun Ki Kwon
JKSPE-025-00006i4.jpg
M.S. candidate in the Department of Mechanical Engineering, Dankook University. His research interests are fabrication and characterization of polymer electrolyte membrane fuel cells and thin films.
Ki Won Hong
JKSPE-025-00006i5.jpg
M.S. candidate in the Department of Mechanical Engineering, Dankook University. His research interests are fabrication and characterization of polymer electrolyte membrane fuel cells and thin films.
Seoung Jai Bai
JKSPE-025-00006i6.jpg
Professor in the Department of Mechanical Engineering, Dankook University. He received his Ph.D. and M.S. degrees in Mechanical Engineering from Stanford University, with a focus on Bio MEMS. He received his B.S. in Mechanical Engineering from Seoul National University. His research interests include MEMS, thin film technology, and interconnects for semiconductor and energy applications.
Gu Young Cho
JKSPE-025-00006i7.jpg
Associate Professor in the Department of Mechanical Engineering, Dankook University. He received his B.S., M.S., and Ph.D. degrees in Mechanical and Aerospace Engineering from Seoul National University. His research interests are fuel cells, thin films, and semiconductor processes.

Download Citation

Download a citation file in RIS format that can be imported by all major citation management software, including EndNote, ProCite, RefWorks, and Reference Manager.

Format:

Include:

Parametric Studies of Ionomer Content in PEMFC MEA with Different Humidity
J. Korean Soc. Precis. Eng.. 2025;42(12):975-980.   Published online December 1, 2025
Download Citation

Download a citation file in RIS format that can be imported by all major citation management software, including EndNote, ProCite, RefWorks, and Reference Manager.

Format:
Include:
Parametric Studies of Ionomer Content in PEMFC MEA with Different Humidity
J. Korean Soc. Precis. Eng.. 2025;42(12):975-980.   Published online December 1, 2025
Close

Figure

  • 0
  • 1
  • 2
  • 3
Parametric Studies of Ionomer Content in PEMFC MEA with Different Humidity
Image Image Image Image
Fig. 1 Schematic of the spray coating setup for catalyst layer fabrication
Fig. 2 Electrochemical performance of PEMFCs with different ionomer-to-carbon (I/C) ratios under fully humidified conditions (RH 100%). (a) J-V-P curves and (b) EIS measured at 0.8 V
Fig. 3 Electrochemical performance of PEMFCs with different ionomer-to-carbon (I/C) ratios under low-humidity conditions (RH 25%). (a) J-V-P curves and (b) EIS measured at 0.8 V
Fig. 4 Comparison of key performance metrics and resistance components for PEMFCs with different ionomer-to-carbon (I/C) ratios under fully humidified (RH 100%) and lowhumidity (RH 25%) conditions. (a) Maximum power density, (b) Ohmic resistance, and (c) Faradaic resistance
Parametric Studies of Ionomer Content in PEMFC MEA with Different Humidity